Bioinformatics analysis of BIRC5 in human cancers
Introduction
Nowadays, the incidence and mortality of cancers are rapidly growing around the world, regardless of socioeconomic development level, resulting in a huge public health challenge and serious social and economic burdens (1). It was reported that at least 1.5 million people suffered from cancers each year, and at least 600,000 people die of malignant tumors in the United States every year (2). To this day, many cancer biomarkers have been discovered, such as alpha-feto protein (AFP) (a specific diagnostic marker for liver cancer), carbohydrate antigen 199 (CA199) (a diagnostic marker for gastrointestinal cancer) and carcinoembryonic antigen (CEA) (broad spectrum tumor biomarker). However, these cancer biomarkers are also expressed in normal tissue and cannot fully and accurately predict the survival and prognosis of cancer patients. Therefore, it is urgent to investigate new biomarkers to enhance the efficiency of diagnosis and improve the curative effects of cancer treatments.
As a member of the inhibitor of apoptosis (IAP) family, baculoviral IAP repeat containing 5 (BIRC5) plays a major role in the cell division process and the inhibition of apoptosis in cancers (3). As a component of the chromosomal passenger complex (CPC), BIRC5 is involved in processes of cell division such as condensation of chromosomes, maintaining correct kinetochore-microtubule attachments, and correcting errors in spindle assembly during mitosis (4). BIRC5 can promote angiogenesis by facilitating the survival and proliferation of tumor vascular endothelial cells, thus providing oxygen and nutrients to the nascent tumor cells (5). Previous studies have demonstrated that BIRC5 can protect tumor cells from apoptosis by inhibiting caspases during mitosis. Reichert et al. demonstrated that BIRC5 is involved in the DNA repair pathway through a direct interaction with several proteins such as p53-binding protein 1 (53BP1), mediator of DNA damage checkpoint 1 (MDC1), Ku70, or the catalytic subunit of the DNA dependent protein kinase 1 (DNA-PKcs) (6). Overall, BIRC5 has both proliferation-enhancing as well as apoptosis-inhibiting functions, playing an important role in tumorgenesis and tumor development.
Some research has identified the carcinogenic effects of BIRC5 in several malignant cancers. In one of the first reports implicating BIRC5 in carcinogenesis, Allen et al. (7) concluded that BIRC5 overexpression led to an increase in the conversion of papillomas to squamous cell carcinomas (SCCs). In lung cancer, BIRC5 expression significantly increased from atypical adenomatous hyperplasia lesions to bronchioloalveolar carcinomas (8). High BIRC5 expression leads to the high metastatic rate and high mortality of hepatocellular carcinoma (9), which also lead to a poor clinical outcome in oral SCC (10). From these findings, it is plausible that BIRC5 exhibits detrimental biological functions in distinct types of cancers. Although some experimental research had identified its negative effects in cancer outcome and progress, including tumor aggressiveness, cancer relapse, therapy resistance, and poor clinical outcome (11), there is still no thorough study concerning the molecular mechanism and biological function of BIRC5 as a novel biomarker in human cancers to date. A deep understanding of BIRC5 is of great significance for cancer research.
In this study, we comprehensively investigated the expression differences of BIRC5 and evaluated its prognostic value in cancers via available databases. We analyzed the correlation of various clinical characteristics and survival in several cancers by Cox analysis. In addition, the functional network of BIRC5 was revealed, demonstrating its potential mechanism in cancer development. Finally, as substantial attention has been focused on the critical role of the immune microenvironment in tumor progression, we mined the Tumor Immune Estimation Resource (TIMER) database to analyze the potential correlation between BIRC5 and immune infiltration and further evaluate the effects of the immune microenvironment on survival in human cancers. The findings of our study demonstrated that BIRC5 expression was significantly associated with the prognosis of adrenocortical carcinoma (ACC), kidney renal clear cell carcinoma (KIRC), low-grade glioma (LGG), liver hepatocellular carcinoma (LIHC), and lung adenocarcinoma (LUAD) and provided available targets for these cancers. We present the following article in accordance with the REMARK reporting checklist (available at https://atm.amegroups.com/article/view/10.21037/atm-22-3496/rc).
Methods
First, we used Oncomine database to explore the differential mRNA expression levels of the BIRC5 in human cancers. Second, we used GEPIA, UALCAN and DriverDBv3 database to explore the survival of cancers with differential expression of BIRC5. Third, we used survival package coxph function in R to build univariate and multivariate Cox analysis model to explore the relationship between the expression of BIRC5 and other clinical information. Fourth, we used GEPIA, UALCAN and DriverDBv3 to explore the BIRC5 expression in different tumor grades, stages and P53 mutation. Fifth, we used GeneMANIA database to find genes associated with BIRC5 and used WebGestalt to perform Gene Ontology (GO) and Kyoto Encyclopedia of Genes and Genomes (KEGG) pathway analysis. Finally, used TIMER database to explore the relationship between BIRC5 and immunity.
Oncomine analysis
Gene expression array datasets from Oncomine (https://www.oncomine.org/), an online cancer microarray database, were used to analyze the transcription levels of the BIRC5 gene family in different cancers (12). The mRNA expression levels of the BIRC5 gene in cancer tissues were compared with those in normal tissues. The cutoffs for P value and expression fold change were defined as <0.0001 and >2, respectively, and expressed gene rank in top 10%.
Gene Expression Profiling Interactive Analysis (GEPIA) dataset
GEPIA is a newly developed interactive web server for analyzing the RNA sequencing expression data of 9,736 tumors and 8,587 normal samples from The Cancer Genome Atlas (TCGA) and the Genotype-Tissue Expression (GTEx) projects, using a standard processing pipeline (gepia.cancer-pku.cn) (13). GEPIA provides customizable functions such as tumor or normal differential expression analysis, profiling according to cancer types or pathological stages, patient survival analysis, similar gene detection, correlation analysis, and dimensionality reduction analysis.
UALCAN database
The UALCAN database (http://ualcan.path.uab.edu/index.html), an online cancer microarray database, is a comprehensive, user-friendly, and interactive web resource for analyzing cancer omics data (14). The UALCAN database was used to identify the biomarkers of potential genes which we were interested in. It also provided graphs of information on gene expression and patient survival.
DriverDBv3 database
The DriverDBv3 database, an online cancer microarray database, is a comprehensive, user-friendly, and interactive web resource for analyzing cancer omics data (15). The DriverDBv3 database was used to identify the biomarkers of potential genes which we were interested in. It also provided graphs of information on gene expression and patient survival.
GeneMANIA database
The GeneMANIA database is used to generate hypotheses about gene function, analyze gene lists, and determine gene priority for functional analysis. It is usually used to construct protein-protein interaction (PPI) networks and predict the functions of genes of interest (16).
The interactive genes of BIRC5 were input into the WEB-based Gene Set Analysis Tool (WebGestalt) for further gene annotation and analysis (17). WebGestalt was used to perform GO and KEGG pathway analysis, and GO term analysis included biological processes (BP), cellular component (CC), and molecular function (MF). P values <0.05 were considered as statistically significant.
TIMER database
The TIMER database (https://cistrome.shinyapps.io/timer/), an online database for analyzing immune cell infiltration, uses high-throughput sequencing (RNASeq expression profiles) data to analyze the infiltration of immune cells in tumor tissues. It mainly provides data on the infiltration of 6 kinds of immune cells, namely B cells, CD4+ T cells, CD8+ T cells, neutrophils, macrophages, and dendritic cells (DCs) (18).
Statistical analysis
The statistics collected by TCGA were integrated and implemented through R-3.6.3. We used logistic regression to explore the relationship between BIRC5 expression and prognostic clinical information in cancer patients. In addition, we further used survival package coxph function in R to build multivariate Cox analysis model to explore the relationship between the expression of BIRC5 and other clinical information. P values <0.05 were considered as statistically significant.
Ethical statement
The study was conducted in accordance with the Declaration of Helsinki (as revised in 2013).
Results
BIRC5 expression levels in distinct types of human cancers
We used the Oncomine database to determine the BIRC5 gene expression profiles across tumor samples and paired normal tissues. BIRC5 expression significantly increased in bladder cancer, brain and central nervous system (CNS) cancer, breast cancer, esophageal cancer, head and neck cancer, liver cancer, lung cancer, ovarian cancer, prostate cancer, and sarcoma. It is worth noting that lower BIRC5 expression was seen in brain and CNS cancer, breast cancer, leukemia, and liver cancer compared to normal samples in some analyses (Figure 1). GEPIA was used to further evaluate the differences in BIRC5 expression between various tumors and normal tissues. The results revealed that the expression of BIRC5 was higher in ACC, bladder urothelial carcinoma (BLCA), breast invasive carcinoma (BRCA), cervical and endocervical cancers (CESC), colon adenocarcinoma (COAD), lymphoid neoplasm diffuse large B-cell lymphoma (DLBC), esophageal carcinoma (ESCA), glioblastoma multiforme (GBM), head and neck squamous cell carcinoma (HNSC), KIRC, LGG, LIHC, LUAD, lung squamous cell carcinoma (LUSC), ovarian serous cystadenocarcinoma (OV), pancreatic adenocarcinoma (PAAD), prostate adenocarcinoma (PRAD), rectum adenocarcinoma (READ), skin cutaneous melanoma (SKCM), stomach adenocarcinoma (STAD), thymoma (THYM), uterine corpus endometrial carcinoma (UCEC), and uterine carcinosarcoma (UCS) compared with adjacent normal samples.
Prognostic potential of BIRC5 in different cancers
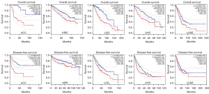
We used GEPIA based on the RNA sequencing data in TCGA to explore whether high BIRC5 expression was related to poor clinical outcomes in cancer patients, which can reveal the prognostic value of BIRC5 in tumors. It was found that high BIRC5 expression was associated with poor overall survival (OS) and disease-free survival (DFS) in ACC (OS log-rank P=6.5e-06, HR =6.5; DFS log-rank P=5.4e-04, HR =3.3), KIRC (OS log-rank P=2.2e-04, HR =1.8; DFS log-rank P=0.006, HR =1.7), LGG (OS log-rank P=2.4e-08, HR =2.9; DFS log-rank P=0.002, HR =1.6), LIHC (OS log-rank P=6.7e-05, HR =2; DFS log-rank P=0.002, HR =1.6), and LUAD (OS log-rank P=2.2e-04, HR =1.8; DFS log-rank P=0.014, HR =1.5), but had less impact on other human cancers. Due to its correlation with poor prognosis in ACC, KIRC, LGG, LIHC, and LUAD patients, BIRC5 might serve as a prognostic biomarker in cancers (Figure 2).
Meanwhile, the UALCAN was also used to determine the prognosis of patients with BIRC5-related tumors. Notably, we found that high BIRC5 expression was correlated with poor outcomes in ACC (P<0.0001), KIRC (P<0.0001), LGG (P<0.0001), LIHC (P=0.00025), and LUAD (P=0.037; Figure 3). Moreover, the DriverDBv3 database was further used to obtain the survival rates of patients with BIRC5-related tumors. The results suggested that high BIRC5 expression was correlated with poor progression-free interval (PFI), OS, and disease-specific survival (DSS) in ACC (PFI log-rank P=1.39e-7, HR =5.12; OS log-rank P=7.18e-11, HR =11.9; DSS log-rank P=5.9e-10, HR =11.8), KIRC (PFI log-rank P=5.55e-16, HR =3.57; OS log-rank P=1.48e-11, HR =2.89; DSS log-rank P=2.22e-15, HR =4.46), LGG (PFI log-rank P=1.15e-08, HR =2.35; OS log-rank P=3.47e-12, HR =3.73; DSS log-rank P=5.74e-12, HR =3.9), and LIHC (PFI log-rank P=7.51e-04, HR =1.66; OS log-rank P=4.53e-05, HR =2.07; DSS log-rank P=1.53e-04, HR =2.37). The poor prognosis OS, DSS in LUAD (OS log-rank P=0.029, HR =1.4; DSS log-rank P=1.23e-03, HR =1.85). Meanwhile, in LIHC, high BIRC5 expression was correlated with poor prognostic disease-free interval (DFI) (DFI log-rank P=0.00104, HR =1.73) (Figure 4). The results from the DriverDBv3 database were consistent with the results from the GEPIA and UALCAN databases. From the above findings, we can conclude that BIRC5 expression may be a potential prognostic factor in ACC, KIRC, LGG, LICH, and LUAD patients.
Univariate and multivariate analysis of patient characteristics and survival
To investigate whether BIRC5 expression was an independent prognostic factor in cancer patients, we performed univariate and multivariate Cox regression analysis to identify variables associated with survival, such as age, gender, tumor grade, tumor stage, tumor node metastasis classification, and the gene expression in ACC, KIRC, LGG, LIHC, and LUAD based on TCGA database. The multivariate analysis indicated that tumor and BIRC5 expression were significant independent prognostic factors for OS in ACC patients (tumor HR =3.1 P=0.03; BIRC5 HR =1.17, P<0.001). Age, stage, grade, and BIRC5 expression were significant independent prognostic factors for OS in KIRC patients (age HR =1.035, P<0.001; grade HR =1.449, P=0.002; stage HR =1.974, P<0.001; BIRC5 HR =1.071, P<0.001). Age, grade, and BIRC5 expression were significant independent prognostic factors for OS in LGG patients (age HR =1.06, P<0.001; grade HR =2.371, P<0.001; BIRC5 HR =1.021, P=0.027). BIRC5 expression was a significant independent prognostic factor for OS in LIHC patients (BIRC5 HR =1.019, P=0.016), while age, stage, and BIRC5 expression were significant independent prognostic factors for OS in LUAD patients (age HR =1.023, P=0.008; stage HR =1.596, P<0.001; BIRC5 HR =1.021, P=0.005) (Figure 5, Table 1).
Table 1
| Variables | Univariate Cox analysis | Multivariate Cox analysis | |||||||
|---|---|---|---|---|---|---|---|---|---|
| HR | 95% CI lower | 95% CI higher | P | HR | 95% CI lower | 95% CI higher | P | ||
| Parameter ACC | |||||||||
| Stage | 2.90 | 1.84 | 4.57 | 4.14E-06 | 0.69 | 0.23 | 2.07 | 5.10E-01 | |
| T | 3.36 | 2.10 | 5.39 | 4.70E-07 | 3.10 | 1.12 | 8.60 | 2.96E-02 | |
| N | 2.06 | 0.77 | 5.47 | 1.48E-01 | 2.41 | 0.75 | 7.74 | 1.41E-01 | |
| BIRC5 | 1.18 | 1.12 | 1.24 | 6.25E-11 | 1.17 | 1.10 | 1.24 | 8.85E-07 | |
| Parameter KIRC | |||||||||
| Age | 1.03 | 1.02 | 1.05 | 3.44E-06 | 1.04 | 1.02 | 1.05 | 4.21E-06 | |
| Gender | 0.95 | 0.69 | 1.31 | 7.73E-01 | 1.01 | 0.73 | 1.40 | 0.936207 | |
| Grade | 2.32 | 1.88 | 2.86 | 5.32E-15 | 1.45 | 1.14 | 1.84 | 0.00227 | |
| Stage | 1.90 | 1.67 | 2.18 | 4.55E-21 | 1.97 | 1.55 | 2.51 | 2.51E-08 | |
| T | 1.95 | 1.65 | 2.31 | 4.31E-15 | 0.78 | 0.57 | 1.05 | 0.102536 | |
| BIRC5 | 1.10 | 1.07 | 1.14 | 4.12E-10 | 1.07 | 1.03 | 1.11 | 0.000282 | |
| Parameter LGG | |||||||||
| Age | 1.06 | 1.05 | 1.08 | 1.56E-15 | 1.06 | 1.04 | 1.08 | 5.22E-13 | |
| Gender | 1.06 | 0.73 | 1.55 | 7.62E-01 | 1.00 | 0.68 | 1.46 | 0.982209 | |
| Grade | 3.12 | 2.06 | 4.72 | 7.44E-08 | 2.37 | 1.53 | 3.67 | 0.000105 | |
| BIRC5 | 1.04 | 1.02 | 1.05 | 1.13E-05 | 1.02 | 1.00 | 1.04 | 0.026774 | |
| Parameter LIHC | |||||||||
| Age | 1.01 | 1.00 | 1.03 | 1.77E-01 | 1.01 | 1.00 | 1.03 | 0.183864 | |
| Gender | 0.82 | 0.56 | 1.21 | 3.17E-01 | 0.90 | 0.60 | 1.34 | 0.601633 | |
| Grade | 1.12 | 0.87 | 1.45 | 3.82E-01 | 1.15 | 0.88 | 1.52 | 0.300125 | |
| Stage | 1.67 | 1.36 | 2.06 | 1.12E-06 | 1.11 | 0.48 | 2.58 | 0.80897 | |
| T | 1.65 | 1.36 | 2.01 | 5.82E-07 | 1.45 | 0.65 | 3.24 | 0.362703 | |
| BIRC5 | 1.03 | 1.01 | 1.04 | 5.60E-05 | 1.02 | 1.00 | 1.03 | 0.016356 | |
| Parameter LUAD | |||||||||
| Age | 1.01 | 1.00 | 1.03 | 1.36E-01 | 1.02 | 1.01 | 1.04 | 0.008298 | |
| Gender | 1.08 | 0.79 | 1.49 | 6.29E-01 | 0.89 | 0.65 | 1.23 | 0.492271 | |
| Stage | 1.67 | 1.44 | 1.93 | 8.30E-12 | 1.60 | 1.35 | 1.88 | 2.88E-08 | |
| T | 1.55 | 1.27 | 1.88 | 1.48E-05 | 1.19 | 0.97 | 1.47 | 0.099176 | |
| BIRC5 | 1.02 | 1.01 | 1.04 | 0.001906 | 1.02 | 1.01 | 1.04 | 0.00484 | |
ACC, adrenocortical carcinoma; KIRC, kidney renal clear cell carcinoma; LGG, low-grade glioma; LIHC, liver hepatocellular carcinoma; LUAD, lung adenocarcinoma; HR, hazard ratio.
Re-analysis of the prognostic value of BIRC5 expression in different cancers
In order to determine the tumors in which BIRC5 expression showed prognostic value, we used the GEPIA and UALCAN databases to further analyze these tumors. Our results showed that the expression level of BIRC5 was higher in ACC, KIRC, LGG, LIHC, and LUAD patients than in normal samples (Figure 6). The BIRC5 expression level was significantly related to tumor grades in KIRC, LGG, and LIHC (Figure 7). Moreover, BIRC5 expression was also associated with tumor stages in KIRC and LIHC patients based on TCGA samples (Figure 8). In summary, BIRC5 expression may be a potential prognostic factor in these cancer patients.
Correlation between BIRC5 expression level and TP53 mutation in cancers
To assess the expression of BIRC5 in defined types of cancers with TP53 mutation, we used the UALCAN database to investigate the correlation between BIRC5 expression and TP53 mutation status. Our results showed that BIRC5 expression was up-regulated in the presence of TP53 mutation in ACC, LGG, LIHC, and LUAD compared to TP53 non-mutant tissues (Figure 9). The results indicated that TP53 mutations could cause high levels of BIRC5 expression in certain cancers, such as ACC, LGG, LIHC, and LUAD, thereby playing an important role in tumorigenesis and tumor progression.
PPI network analysis via GeneMANIA
To further investigate the molecular mechanism of BIRC5 in cancers, we used the GeneMANIA tool to generate a PPI network that revealed the correlations among genes for BIRC5. We found that CASP9, EVI5, CDCA8, KIF20A, AURKB, and DIABLO had a strong relationship with BIRC5. Other proteins including KLHL9, KLHL13, RACGAP1, CUCL3, INCENP, SGO1, KIF23, XPO1, CDC6, CENPE, AURKA, GINS2, CASP7, and XIAP were also closely associated with BIRC5 alterations (Figure 10A).
Functional enrichment analysis of BIRC5
BIRC5-related signaling pathways based on over-representation analysis (ORA) demonstrated statistical significance [false discovery rate (FDR) <0.05, (NOM) P value <0.05] in enrichment of GO and KEGG terms (Figure 10). ORA results showed differential enrichment of interactive genes for BIRC5 in KEGG, and the KEGG pathway analysis by ORA showed that BIRC5 co-expressed genes primarily participate in apoptosis, ubiquitin mediated proteolysis, platinum drug resistance, legionellosis, colorectal cancer, small cell lung cancer, and pathways in cancer (Figure 10B). BP analysis (Figure 10C) showed enrichment in the regulation of cytokinesis, regulation of cell division, cytokinesis, mitotic sister chromatid segregation, and mitotic nuclear division, among others. CC analysis (Figure 10D) showed enrichment in the midbody, spindle midzone, and CPC, among others. In addition, BIRC5 co-expressed genes participate in the MF items (Figure 10E) of histone serine kinase activity, cysteine-type endopeptidase activity, and histone kinase activity, among others. These results suggest the widespread impact of BIRC5 on the global transcriptome.
Immune infiltration levels and cumulative survival correlated with BIRC5 in cancers
A correlation was found between BIRC5 expression and immune infiltration levels in ACC, KIRC, LGG, LIHC, and LUAD via the TIMER database. The results showed a positive correlation between BIRC5 expression and tumor purity in ACC, LGG, and LIHC, but negatively related in KIRC, and had no relationship with LUAD tumor purity. We also found that the infiltration levels of B cells, CD4+ T cells, CD8+ T cells, macrophages, neutrophils, and DCs in LGG and LIHC were all positively related to the expression of BIRC5. In KIRC, these infiltration-related cells also had a positive relationship with BIRC5 expression, except for CD4+ T cells. In ACC, BIRC5 expression was only positively correlated with B cell and DC infiltration levels. In addition, significant negative correlations were observed between BIRC5 and levels of B cells, CD4+ T cells, and DCs infiltrating, but no relationship with CD8+ T cells, macrophages, and neutrophils in LUAD (Figure 11). Thus, it may be that BIRC5 is a key role in immune infiltration in these 5 cancers.
Moreover, the TIMER database was used to evaluate the association between cumulative survival, different immune infiltration levels, and BIRC5 in ACC, KIRC, LGG, LIHC, and LUAD patients. Notably, in LGG patients with high expression of BIRC5, high infiltration of B cells, CD4+ T cells, CD8+ T cells, macrophages, neutrophils, and DCs was significantly correlated with poor outcome. However, the results had no statistical significance in ACC, KIRC, and LIHC, indicating that cumulative survival was not related to immune cell infiltration in these cancers. In LUAD patients with high BIRC5 expression, poor prognosis was only shown to be correlated with high expression of DCs (Figure 12). The results indicated that the cumulative survival rate, especially in LGG, was significantly correlated with immune infiltration.
Discussion
BIRC5, as a member of the IAP family, is composed of N-terminal baculovirus and IAP repeat (BIR) domains (19). Its expression has been reported in many cancers, such as LGG (20), bladder cancer (21), breast cancer (22), and lung cancer (23). Although the role of BIRC5 in the occurrence and development of tumors has been verified in some tumors, further deep analysis of BIRC5 in human cancers has yet to be performed. In our study, we screened out 5 cancers (ACC, KIRC, LGG, LIHC, and LUAD) which exhibited high BIRC5 mRNA expression and led to poor outcomes among TCGA database. We then determined the clinical and prognostic value of BIRC5 in human cancers according to online databases. We hope that our research will be helpful for the clinical prediction, treatment, and prognosis of these 5 cancers.
ACC is an extremely rare cancer and its incidence rate is less than 2 per million every year. Research has demonstrated that BIRC5 participates in the apoptosis of ACC (24,25). This study indicated that low expression of BIRC5 inhibited the occurrence and development of ACC, and BIRC5 could be one of the diagnostic and prognostic biomarkers of ACC. In our study, high BIRC5 expression led to a poor outcome in ACC. P53, also known as TP53, has been proven to be a tumor suppressor gene associated with tumorigenesis (25,26). One of the important functions of P53 is to regulate cell division and proliferation (26), and P53 mutation occurs in more than 50% of tumor patients (27,28). In normal cell cycles, P53 performs its DNA repair function. If the repair fails, it can cause cell apoptosis (28). In our research, we found that BIRC5 expression was increased in ACC with TP53 mutation compared to non-TP53 mutant ACC, which indicated that BIRC5 may participate in tumorigenesis via the TP53 signaling pathway. In addition, univariate and multivariate Cox analysis showed that BIRC5 was an independent prognostic factor in ACC patients. These results illustrated that BIRC5 plays an important role in tumorigenesis and could serve as a prognostic biomarker in ACC patients.
A recent study showed that BIRC5 expression was up-regulated in KIRC, a type of renal cell carcinoma (RCC), and promotes KIRC proliferation and tumorigenicity (29). In our study, we found that high expression of BIRC5 could promote the poor prognosis of KIRC patients. The UALCAN database showed that BIRC5 expression in cancer was higher than in normal samples. In addition, Cox regression analysis revealed the independent prognostic value of BIRC5 for KIRC patients. As shown in the pathological stage plot, increased expression of BIRC5 would lead to the increase of tumor grade and TNM stage. This result suggested that high BIRC5 expression may be a high risk factor for KIRC and was associated with the severity of KIRC. Furthermore, the promoter methylation level of BIRC5 is higher in KIRC than in normal tissues, indicating another molecular mechanism of BIRC5 in tumorigenesis. Overall, BIRC5 is a high risk factor of KIRC and may be one of the key genes affecting the prognosis of KIRC.
As LGG is accompanied by many morbidities, its treatment is still a huge clinical problem. Many genes have been shown to be related to the prognosis of LGG, such as Engrailed 1 (EN1) (30) and secreted phosphoprotein 1 (SPP1) (31). However, the relationship between BIRC5 and LGG has rarely been reported. In our study, we found that BIRC5 was highly expressed in LGG, and the high expression of BIRC5 was closely related to the occurrence and development of LGG. BIRC5 was also an independent prognostic factor for LGG patients. Meanwhile, high BIRC5 expression associated with TP53 mutation could lead to the increase of tumor grade in LGG. This indicates the regulatory mechanism of BIRC5 as a carcinogenic agent of LGG. Therefore, BIRC5 is a potential marker for the improvement of LGG survival and prognostic accuracy.
BIRC5 overexpression is also an oncogenic event in LIHC (32). In previous work, elevated BIRC5 expression was found to be associated with poor outcome in LIHC patients, which is consistent with our findings. In addition, our research also confirmed that BIRC5 was up-regulated in LIHC with TP53 mutation, while promoter methylation of BIRC5 was down-regulated in LIHC, which prompts further investigation into the potential molecular mechanisms or signaling pathways of BIRC5 in the tumorigenesis and progression of LIHC. High BIRC5 expression was linked to higher histological grade and TNM stage in LIHC patients. Taken together, BIRC5 may not only be a diagnostic and prognostic biomarker for LIHC, but may also be a novel target for LIHC treatment.
A recent study has shown that high expression of BIRC5 is closely related to the poor prognosis of LUAD patients (33). In our study, patients with high expression of BIRC5 had poorer OS, FP, PPS, and DMFS than those with low expression of BIRC5 in LUAD. Simultaneously, the expression level of BIRC5 with TP53 mutation and the promoter methylation level of BIRC5 were both increased in LUAD tissues. BIRC5 also served as an independent prognostic factor for LUAD patients. These results suggest that BIRC5 may be a key molecular biomarker for LUAD diagnosis and treatment. Further research should be performed to help improve the understanding of the molecular mechanisms of BIRC5 in LUAD tumorigenesis and progression.
To further probe the signaling events controlling abnormal BIRC5 expression, we investigated the BIRC5 co-expression network. The functional consequences of BIRC5 mainly include proliferation, invasion, metastasis, apoptosis, and drug resistance in different human cancers. These findings showed that BIRC5 is involved in the process of cancer development. As shown in the network, CASP9 has a strong correlation with BIRC5 through intricate mechanisms. CASP9, which is produced by normal cells, plays a key role in cell survival, proliferation, and apoptosis (34,35). CASP9 is a member of the caspase family. The accumulation of CASP9 in cells leads to DNA damage, which activates cell apoptosis (36). However, the IAP family proteins can reduce intracellular CASP9 and prevent programmed cell death (37). In this study, we constructed the interaction network of BIRC5-associated genes, and BIRC5 was found to be involved in various signaling pathways, BPs, CCs, and MFs, including cell apoptosis, pathways in cancer, cell division, cell cycle, CPC, and histone serine kinase activity.
CASP7 is also an important member of the caspase family (38). A recent study reported that CASP7 participated in the death of cancer cells (39). Our study suggests that BIRC5 may regulate cell apoptosis through CASP7. Moreover, BIRC5 was predicted to interact with AURKB, CDCA8, KIF20A, and DIABLO, which were related to mitotic nuclear division, cell cycle, cytokinesis, and cell division (40-42). Our study showed that BIRC5 is involved in the BP of cancer development by interacting with critical molecules.
A variety of mechanisms are used by cancer cells to interact with immune cells metabolically. Zheng et al. analyzed multiple aspects of infiltrating T cells in tumors, including clustering, dynamics, and developmental trajectory, and the results showed that tumors were abundantly expressed with Tregs and exhausted CD8+ T cells (43). A study by Shalapour et al. indicates that tumors are driven by IgA-producing cells that suppress CD8+ T cells (44). As a crucial element in the occurrence, development, and treatment of tumors, the immune system plays an important role in cancer biology. The tumor immune microenvironment (TIME) is made up of the components of the immune system, including cells and molecules. Therefore, to display the status of TIME, it is necessary to illustrate the relationship between tumor immune cell infiltration and gene signatures. Based on our findings, B cells, CD4+ T cells, CD8+ T cells, macrophages, neutrophils, and DCs in LGG and LIHC were all positively related to the expression of BIRC5. In KIRC, these infiltration-related cells had a positive relationship with BIRC5 expression, except CD4+ T cells. In ACC and LUAD, the infiltration level of several immune cells also had positive or negative correlations with the BIRC5 expression level. In addition, we further demonstrated that immune infiltration of the tumor microenvironment was associated with a longer cumulative survival in a 150-month follow-up of LGG patients. Our results demonstrated that immune infiltration participates in tumor progression and is associated with poor LGG outcome, and BIRC5 may have a potential novel immune-regulatory effect in ACC, KIRC, LGG, LIHC, and LUAD. This lays a foundation for further study of the immune regulatory role of BIRC5 and provides insights into using immunotherapy as a new treatment in human cancers, though this still requires further research regarding the underlying mechanisms.
In order to analyze BIRC5 and human cancers, we performed a comprehensive analysis by using multiple online bioinformatics databases. The advantages of this method were the large sample size, low cost, and the ability to perform multi-omics and functional analyses. In spite of this, some limitations remain in this study. Firstly, some cancers had small sample sizes, such as ACC. Second, this study only analyzed data in online databases, and experiments such as RT-PCR, western blotting, and immunohistochemistry are needed to verify the results of this study.
A number of online bioinformatics platforms and web tools were used in this mining study to systematically analyze expression level, correlated genes, prognostic value, and immune regulatory role of BIRC5 in human cancers (ACC, KIRC, LGG, LIHC, and LUAD). These bioinformatics analyses revealed that BIRC5 expression was significantly up-regulated in these 5 cancers. While, there was a negative correlation between its expression and patient prognosis. Elevated BIRC5 expression could be related to tumor grade, tumor stage, and TP53 mutation. Our findings also highlight the importance of BIRC5 expression and potential BIRC5-associated pathways in cancer development. These results provide us with a wealth of information on the importance of BIRC5 in cancer and its potential role in the detection of some malignant cancers. Next, tests should be performed to further determine the exact molecular mechanisms of BIRC5 in tumor cells.
Acknowledgments
Funding: Youth project of Nantong Health Committee of Jiangsu Province (qa2019001), and General project of Nantong Health Committee of Jiangsu Province (mb2020009, mb2019011).
Footnote
Reporting Checklist: The authors have completed the REMARK reporting checklist. Available at https://atm.amegroups.com/article/view/10.21037/atm-22-3496/rc
Conflicts of Interest: All authors have completed the ICMJE uniform disclosure form (available at https://atm.amegroups.com/article/view/10.21037/atm-22-3496/coif). The authors have no conflicts of interest to declare.
Ethical Statement: The authors are accountable for all aspects of the work in ensuring that questions related to the accuracy or integrity of any part of the work are appropriately investigated and resolved. The study was conducted in accordance with the Declaration of Helsinki (as revised in 2013).
Open Access Statement: This is an Open Access article distributed in accordance with the Creative Commons Attribution-NonCommercial-NoDerivs 4.0 International License (CC BY-NC-ND 4.0), which permits the non-commercial replication and distribution of the article with the strict proviso that no changes or edits are made and the original work is properly cited (including links to both the formal publication through the relevant DOI and the license). See: https://creativecommons.org/licenses/by-nc-nd/4.0/.
References
- Pinsky PF. Lung cancer screening with low-dose CT: a world-wide view. Transl Lung Cancer Res 2018;7:234-42. [Crossref] [PubMed]
- Solanki S, Chakinala RC, Haq KF, et al. Inpatient burden of gastric cancer in the United States. Ann Transl Med 2019;7:772. [Crossref] [PubMed]
- Unruhe B, Schröder E, Wünsch D, et al. An Old Flame Never Dies: Survivin in Cancer and Cellular Senescence. Gerontology 2016;62:173-81. [Crossref] [PubMed]
- Carmena M, Wheelock M, Funabiki H, et al. The chromosomal passenger complex (CPC): from easy rider to the godfather of mitosis. Nat Rev Mol Cell Biol 2012;13:789-803. [Crossref] [PubMed]
- Virrey JJ, Guan S, Li W, et al. Increased survivin expression confers chemoresistance to tumor-associated endothelial cells. Am J Pathol 2008;173:575-85. [Crossref] [PubMed]
- Reichert S, Rödel C, Mirsch J, et al. Survivin inhibition and DNA double-strand break repair: a molecular mechanism to overcome radioresistance in glioblastoma. Radiother Oncol 2011;101:51-8. [Crossref] [PubMed]
- Allen SM, Florell SR, Hanks AN, et al. Survivin expression in mouse skin prevents papilloma regression and promotes chemical-induced tumor progression. Cancer Res 2003;63:567-72. [PubMed]
- Akyürek N, Memiş L, Ekinci O, et al. Survivin expression in pre-invasive lesions and non-small cell lung carcinoma. Virchows Arch 2006;449:164-70. [Crossref] [PubMed]
- Jia X, Gao Y, Zhai D, et al. Survivin is not a promising serological maker for the diagnosis of hepatocellular carcinoma. Oncol Lett 2015;9:2347-52. [Crossref] [PubMed]
- Troiano G, Guida A, Aquino G, et al. Integrative Histologic and Bioinformatics Analysis of BIRC5/Survivin Expression in Oral Squamous Cell Carcinoma. Int J Mol Sci 2018;19:2664. [Crossref] [PubMed]
- Wheatley SP, Altieri DC. Survivin at a glance. J Cell Sci 2019;132:jcs223826. [Crossref] [PubMed]
- Rhodes DR, Kalyana-Sundaram S, Mahavisno V, et al. Oncomine 3.0: genes, pathways, and networks in a collection of 18,000 cancer gene expression profiles. Neoplasia 2007;9:166-80. [Crossref] [PubMed]
- Tang Z, Li C, Kang B, et al. GEPIA: a web server for cancer and normal gene expression profiling and interactive analyses. Nucleic Acids Res 2017;45:W98-W102. [Crossref] [PubMed]
- Chandrashekar DS, Bashel B, Balasubramanya SAH, et al. UALCAN: A Portal for Facilitating Tumor Subgroup Gene Expression and Survival Analyses. Neoplasia 2017;19:649-58. [Crossref] [PubMed]
- Liu SH, Shen PC, Chen CY, et al. DriverDBv3: a multi-omics database for cancer driver gene research. Nucleic Acids Res 2020;48:D863-70. [PubMed]
- Warde-Farley D, Donaldson SL, Comes O, et al. The GeneMANIA prediction server: biological network integration for gene prioritization and predicting gene function. Nucleic Acids Res 2010;38:W214-20. [Crossref] [PubMed]
- Wang J, Duncan D, Shi Z, et al. WEB-based GEne SeT AnaLysis Toolkit (WebGestalt): update 2013. Nucleic Acids Res 2013;41:W77-83. [Crossref] [PubMed]
- Li T, Fan J, Wang B, et al. TIMER: A Web Server for Comprehensive Analysis of Tumor-Infiltrating Immune Cells. Cancer Res 2017;77:e108-10. [Crossref] [PubMed]
- Duffy MJ, O'Donovan N, Brennan DJ, et al. Survivin: a promising tumor biomarker. Cancer Lett 2007;249:49-60. [Crossref] [PubMed]
- Sato A, Mizobuchi Y, Nakajima K, et al. Blocking COX-2 induces apoptosis and inhibits cell proliferation via the Akt/survivin- and Akt/ID3 pathway in low-grade-glioma. J Neurooncol 2017;132:231-8. [Crossref] [PubMed]
- Krafft U, Tschirdewahn S, Hess J, et al. Validation of survivin and HMGA2 as biomarkers for cisplatin resistance in bladder cancer. Urol Oncol 2019;37:810.e7-810.e15. [Crossref] [PubMed]
- Wang M, Cai WR, Meng R, et al. miR-485-5p suppresses breast cancer progression and chemosensitivity by targeting survivin. Biochem Biophys Res Commun 2018;501:48-54. [Crossref] [PubMed]
- Yu X, Zhang Y, Cavazos D, et al. miR-195 targets cyclin D3 and survivin to modulate the tumorigenesis of non-small cell lung cancer. Cell Death Dis 2018;9:193. [Crossref] [PubMed]
- Sbiera S, Kroiss M, Thamm T, et al. Survivin in adrenocortical tumors - pathophysiological implications and therapeutic potential. Horm Metab Res 2013;45:137-46. [PubMed]
- Bykov VJN, Eriksson SE, Bianchi J, et al. Targeting mutant p53 for efficient cancer therapy. Nat Rev Cancer 2018;18:89-102. [Crossref] [PubMed]
- Sola M, Magrin C, Pedrioli G, et al. Tau affects P53 function and cell fate during the DNA damage response. Commun Biol 2020;3:245. [Crossref] [PubMed]
- Di Agostino S, Fontemaggi G, Strano S, et al. Targeting mutant p53 in cancer: the latest insights. J Exp Clin Cancer Res 2019;38:290. [Crossref] [PubMed]
- Wang X, Simpson ER, Brown KA. p53: Protection against Tumor Growth beyond Effects on Cell Cycle and Apoptosis. Cancer Res 2015;75:5001-7. [Crossref] [PubMed]
- Zhang H, Li W, Gu W, et al. MALAT1 accelerates the development and progression of renal cell carcinoma by decreasing the expression of miR-203 and promoting the expression of BIRC5. Cell Prolif 2019;52:e12640. [Crossref] [PubMed]
- Zhu J, Zhang YQ. Engrailed 1 overexpression as a potential prognostic marker in Lower Grade Glioma. PeerJ 2019;7:e7414. [Crossref] [PubMed]
- Chen J, Hou C, Zheng Z, et al. Identification of Secreted Phosphoprotein 1 (SPP1) as a Prognostic Factor in Lower-Grade Gliomas. World Neurosurg 2019;130:e775-85. [Crossref] [PubMed]
- Li C, Qin F, Hong H, et al. Identification of Flap endonuclease 1 as a potential core gene in hepatocellular carcinoma by integrated bioinformatics analysis. PeerJ 2019;7:e7619. [Crossref] [PubMed]
- Sun PL, Jin Y, Kim H, et al. Survivin expression is an independent poor prognostic marker in lung adenocarcinoma but not in squamous cell carcinoma. Virchows Arch 2013;463:427-36. [Crossref] [PubMed]
- Bao M, Song Y, Xia J, et al. miR-1269 promotes cell survival and proliferation by targeting tp53 and caspase-9 in lung cancer. Onco Targets Ther 2018;11:1721-32. [Crossref] [PubMed]
- Wu R, Tang S, Wang M, et al. MicroRNA-497 Induces Apoptosis and Suppresses Proliferation via the Bcl-2/Bax-Caspase9-Caspase3 Pathway and Cyclin D2 Protein in HUVECs. PLoS One 2016;11:e0167052. [Crossref] [PubMed]
- Li P, Zhou L, Zhao T, et al. Caspase-9: structure, mechanisms and clinical application. Oncotarget 2017;8:23996-4008. [Crossref] [PubMed]
- Warrier NM, Agarwal P, Kumar P. Emerging Importance of Survivin in Stem Cells and Cancer: the Development of New Cancer Therapeutics. Stem Cell Rev Rep 2020;16:828-52. [Crossref] [PubMed]
- Lamkanfi M, Kanneganti TD. Caspase-7: a protease involved in apoptosis and inflammation. Int J Biochem Cell Biol 2010;42:21-4. [Crossref] [PubMed]
- Lindner AU, Lucantoni F, Varešlija D, et al. Low cleaved caspase-7 levels indicate unfavourable outcome across all breast cancers. J Mol Med (Berl) 2018;96:1025-37. [Crossref] [PubMed]
- Bi Y, Chen S, Jiang J, et al. CDCA8 expression and its clinical relevance in patients with bladder cancer. Medicine (Baltimore) 2018;97:e11899. [Crossref] [PubMed]
- Wu WD, Yu KW, Zhong N, et al. Roles and mechanisms of Kinesin-6 KIF20A in spindle organization during cell division. Eur J Cell Biol 2019;98:74-80. [Crossref] [PubMed]
- Oikawa T, Unno Y, Matsuno K, et al. Identification of a small-molecule inhibitor of the interaction between Survivin and Smac/DIABLO. Biochem Biophys Res Commun 2010;393:253-8. [Crossref] [PubMed]
- Zheng C, Zheng L, Yoo JK, et al. Landscape of Infiltrating T Cells in Liver Cancer Revealed by Single-Cell Sequencing. Cell 2017;169:1342-1356.e16. [Crossref] [PubMed]
- Shalapour S, Lin XJ, Bastian IN, et al. Inflammation-induced IgA+ cells dismantle anti-liver cancer immunity. Nature 2017;551:340-5. [Crossref] [PubMed]
(English Language Editor: C. Betlazar-Maseh)

