Rheumatoid arthritis and risk of gallstone disease: a nation-wide population-based study
Highlight box
Key findings
• Although much is known about inflammatory conditions associated with rheumatoid arthritis (RA), limited research has explored its potential link with gallstone disease. In this large population-based cohort study, patients with RA had a moderately increased risk of developing gallstones compared with matched controls [adjusted hazard ratio (aHR) 1.58; 95% confidence interval (CI): 1.52–1.65]. The incidence of cholecystectomy was also slightly higher in the RA group (aHR 1.15; 95% CI: 1.05–1.27). These findings suggest that gallstone disease might be a relevant consideration in RA patients presenting with gastrointestinal symptoms.
What is known and what is new?
• Individuals with chronic inflammatory diseases such as RA might have a higher likelihood than others of developing gallstones.
• This nationwide cohort study identified an association between RA and gallstone disease.
• RA also has an association with a slightly elevated likelihood of requiring cholecystectomy.
What is the implication, and what should change now?
• Gallstone disease should be considered a potential differential diagnosis when patients with RA present with abdominal pain.
Introduction
Rheumatoid arthritis (RA) is a prevalent autoimmune disease characterized by systemic inflammation throughout the body that affects both joints and various extra-articular organs (1). In recent years, comorbidities in patients with RA have become increasingly prominent as new treatments have altered the disease’s natural progression (2). Cardiovascular disease, which arises from inflammation and lipid metabolism imbalances that accelerate atherosclerosis, is one of the most prevalent comorbidities, but other conditions are also commonly seen (3). Altered lipid metabolism, along with inflammation, can also affect various organs and systems. Notably, it has been shown that inflammation can impair the endothelial function of the gallbladder, potentially reducing lipid recycling (4). Additionally, one of the key risk factors in the development of cholesterol gallstones, which account for 80% of all stones, is lipid metabolism abnormalities (5-7). As a result, individuals with chronic inflammatory diseases such as RA might have a higher likelihood of developing gallstones than people without such diseases (8,9).
However, only a few small studies have reported an increased prevalence of gallstones in patients with RA. One previous study investigated the incidence of gallstones by performing abdominal ultrasounds on 224 patients with RA and found that the frequency of gallstone occurrence, including cholecystectomy due to gallstones, was more than three times higher in female patients with RA (15.4% vs. 5.2%, P<0.001) (10). Another case-control study investigated the difference in the incidence of gallstones between 113 patients with RA and 117 controls without RA. Although the frequency of gallstones and cholecystectomy tended to be somewhat higher in the RA group, it did not reach statistical significance, possibly due to the small sample size (11). In another case-control study conducted in Spain with 84 patients with RA and 275 individuals without RA, the age-adjusted odds ratio was 2.3, indicating a higher incidence of gallstones in patients with RA (12).
No studies to date have conducted long-term follow-up in a large-scale cohort to investigate the association between RA and gallstone formation. For this study, we investigated the association between RA and the subsequent risk of gallstone disease and cholecystectomy in a nationwide population-based cohort in South Korea with a maximum follow-up period of 7.7 years. We adjusted for underlying diseases and behavioral factors that, to our knowledge, had not been considered in previous studies. We present this article in accordance with the STROBE reporting checklist (available at https://atm.amegroups.com/article/view/10.21037/atm-25-12/rc).
Methods
Data source and study setting
This study was designed as a population-based retrospective cohort study. We used data from the National Health Insurance Service (NHIS), the single insurer managed by the Korean government that provides a mandatory social insurance program covering 97% of the Korean population and administers the Medical Aid program for the remaining 3% of population with the lowest incomes. Therefore, the NHIS database contains the demographic characteristics, health care use, diagnostic codes from the International Classification of Diseases, Tenth Revision (ICD-10), and medical treatment information for the whole Korean population.
Additionally, the NHIS provides free biennial national health examination programs for the public, and adults are recommended to undergo a check-up at least once every 2 years (13). The health screening program data comprise anthropometric measurements, self-administered questionnaires on health behavior, and laboratory results. All these resources retained by the NHIS have been used to create cohort data for various epidemiologic studies, including investigations of disease risk in patients with RA (14-17). This study was conducted in accordance with the Declaration of Helsinki and its subsequent amendments. It was approved by the Institutional Review Board (IRB) of Samsung Medical Center (No. SMC 2024-07-196). The IRB waived the requirement for informed consent because the NHIS database is available to researchers and supplies only anonymized data.
Study population
This study analyzed patients who were 40 years or older and newly diagnosed with RA between 2010 and 2017. Seropositive RA (SPRA) patients were defined by the following criteria: (I) had a registered diagnostic code for RA (ICD-10 M05), (II) received a prescription for any disease-modifying anti-rheumatic drugs (DMARDs) for 270 days or more, and (III) were enrolled in the rare and intractable disease (RID) program. The RID program in Korea offers substantial reductions in copayments for various rare and intractable diseases (5% copayment vs. the 30% typical for other common diseases), including RA. Enrollment in this program as an RA patient requires official certification of diagnosis by a physician, typically a rheumatologist, which is issued when a patient fulfills 4 or more of the American College of Rheumatology criteria with positive results for a rheumatoid factor or anti-cyclic citrullinated peptide antibody. Seronegative RA (SNRA) patients were defined by the following criteria: (I) had a registered diagnostic code for RA (ICD-10 M06 except for M06.1 and M06.4), and (II) received a prescription for any DMARD, including conventional synthetic DMARDs (csDMARDs), biologic DMARDs (bDMARDs), and target-specific DMARDs (tsDMARDs) (Table S1) for 270 days (18). The date of RID program registration for SPRA and the first administration of an RA ICD-10 code for SNRA were taken as the index dates. This operational definition is considered highly valid (18) and has been used in many epidemiological studies conducted in Korea (19).
We screened 1,255,036 individuals, both patients with RA and a control group. We enrolled 92,336 individuals diagnosed with RA between 2010 and 2017: 66,493 with SPRA and 25,843 with SNRA. From among those 92,336 RA cases, we selected 54,910 patients who had undergone a national health screening within 2 years before their RA diagnosis to obtain both medical and health behavior covariate information from the health screening results. After that, we excluded those with a history of gallstone disease (n=3,560) or cholecystectomy (n=36) and those who were diagnosed with gallstone disease within 1 year after the index date (1-year lag period) (n=979). To establish age- and sex-matched controls, we initially matched 1,162,700 individuals to the 92,336 individuals with RA based on age and sex at approximately a 1:12 ratio. We then included the 641,341 of those individuals who underwent health screening examinations in the same years as their matched RA counterparts. Next, we excluded (I) 24,343 individuals with missing health screening data, (II) 27,756 individuals with a previous diagnosis of gallstone disease, (III) 513 individuals with a history of cholecystectomy, and (IV) 6,164 individuals diagnosed with gallstone disease within 1 year after the index date. After those exclusions, 585,565 individuals remained in the potential control pool. Among them, 139,569 individuals were ultimately selected as 1:3 age- and sex-matched controls for the RA cohort (Figure 1). Individuals who died during the 1-year lag period were included, and those who died during the follow-up period were censored at the time of death.
Study outcome and follow-up
The primary endpoint of this study was newly diagnosed gallstone disease, defined using ICD-10 codes K80, K81, K830, and K851. The secondary endpoint was receipt of cholecystectomy with a gallstone disease code (20). The study participants were followed from 1 year after their RA diagnosis or corresponding index date to the date of diagnosis with gallstone disease or cholecystectomy, death, or the end of the follow-up period (December 31, 2020), whichever came first.
Covariates
We collected data on the following baseline characteristics: age, sex, body mass index (BMI), smoking status, alcohol use, physical activity, income level, and comorbidities. Personal behaviors, such as smoking status, alcohol consumption, and physical activity, were assessed using a self-reported questionnaire. Smoking status was classified as non-smoker, ex-smoker, and current smoker. Alcohol intake was divided into none, mild to moderate(<30 g of alcohol/day), and heavy intake (>30 g of alcohol/day). Regular exercise was defined as moderate exercise for more than 5 days a week or vigorous exercise for more than 3 days a week (21). Household income was divided into quartiles according to insurance premium levels because in Korea, insurance premiums are based on income. Those receiving Medical Aid (poorest 3%) were included in the lowest income quartile, which was labeled “low income” (22). BMI was calculated by dividing weight (kg) by height (m) squared. The comorbidities (diabetes mellitus, hypertension, dyslipidemia, and chronic kidney disease) were based on ICD-10 codes and medication prescriptions, as previously described (21-26).
Statistical analysis
The baseline characteristics of the study participants were compared based on the presence and serologic status of RA. Continuous variables are presented as the mean [standard deviation (SD)] or median [interquartile range (IQR)], as applicable, and categorical variables are presented as number (percentage). The incidence rates of gallstone disease and cholecystectomy are presented per 1,000 person-years. The cumulative incidence of both outcomes based on RA status was estimated using the Kaplan-Meier method. Log-rank tests were applied to evaluate differences among groups. We conducted Cox regression analyses to calculate adjusted hazard ratios (aHRs) and 95% confidence intervals (CIs) for the risk of gallstones and cholecystectomy. A multivariable-adjusted proportional hazard model was applied: (I) model 1 was non-adjusted; (II) model 2 was adjusted for age and sex; (III) model 3 was further adjusted for smoking, alcohol drinking, physical activity, and low income; (IV) model 4 included model 3 plus diabetes, hypertension, hyperlipidemia, and chronic kidney disease. Schoenfeld residuals were used to assess the proportional hazards assumption in the Cox regression models. In addition, the association between the type of DMARD used and the incidence risk for the outcomes was explored. The risk was estimated according to exposure to bDMARDs or tsDMARDs during the follow-up period. Statistical analyses were performed in May 2023 using SAS version 9.4 (SAS Institute Inc.), and a 2-sided P<0.05 was considered statistically significant.
Results
Baseline characteristics of the study participants
Table 1 presents the baseline characteristics of the study participants who developed gallstone disease or received cholecystectomy according to the presence and serologic status of RA. Among the 186,092 study participants at the index date, 45,564 individuals (24.5%) were male, and the mean (SD) age was 58.0 (9.9) years. Significantly more participants without RA than with RA were categorized as mild to moderate alcohol drinkers (25.3% vs. 20.8%, respectively) and heavy alcohol drinkers (4.2% vs. 3.1%, respectively), whereas significantly more individuals with RA than without RA did not consume alcohol (76.2% vs. 70.5%, respectively). Current smoking was significantly less frequent in those without RA than in those with RA (10.3% vs. 11.0%, respectively). The proportion of individuals with a BMI of 25 or higher (29.3% vs. 26.4%, respectively) and 30 or higher (3.8% vs. 3.4%, respectively) was greater in those without RA than with RA. This finding appears to be consistent with rheumatoid cachexia, which has been demonstrated in a previous study (27).
Table 1
| Variables | Total | RA status | Serological status of RA | |||||
|---|---|---|---|---|---|---|---|---|
| Non-RA | RA | P value | SPRA | SNRA | P value | |||
| Participants, n | 186,092 | 139,569 | 46,523 | 33,129 | 13,394 | |||
| Sex (male) | 45,564 (24.5) | 34,173 (24.5) | 11,391 (24.5) | >0.99 | 7,866 (23.7) | 3,525 (26.3) | <0.001 | |
| Age (years) | 58.0±9.9 | 58.0±9.9 | 58.0±9.9 | >0.99 | 58.2±9.9 | 57.4±9.9 | <0.001 | |
| 40–59 | 107,716 (57.9) | 80,787 (57.9) | 26,929 (57.9) | >0.99 | 18,855 (56.9) | 8,074 (60.3) | <0.001 | |
| ≥60 | 78,376 (42.1) | 58,782 (42.1) | 19,594 (42.1) | 14,274 (43.1) | 5,320 (39.7) | |||
| Income | 0.01 | <0.001 | ||||||
| <25% | 41,813 (22.5) | 31,276 (22.4) | 10,537 (22.6) | 7,562 (22.8) | 2,975 (22.2) | |||
| Smoking | <0.001 | <0.001 | ||||||
| None | 148,695 (79.9) | 112,141 (80.3) | 36,554 (78.6) | 26,084 (78.7) | 10,470 (78.2) | |||
| Former | 17,909 (9.6) | 13,054 (9.4) | 4,855 (10.4) | 3,207 (9.7) | 1,648 (12.3) | |||
| Current | 19,488 (10.5) | 14,374 (10.3) | 5,114 (11.0) | 3,838 (11.6) | 1,276 (9.5) | |||
| Drinking | <0.001 | <0.001 | ||||||
| Non | 133,802 (71.9) | 98,372 (70.5) | 35,430 (76.2) | 25,402 (76.7) | 10,028 (74.9) | |||
| Mild to moderate | 44,995 (24.2) | 35,338 (25.3) | 9,657 (20.8) | 6,720 (20.3) | 2,937 (21.9) | |||
| Heavy | 7,295 (3.9) | 5,859 (4.2) | 1,436 (3.1) | 1,007 (3.0) | 429 (3.2) | |||
| Physical activity | ||||||||
| Regular | 37,576 (20.2) | 29,056 (20.8) | 8,520 (18.3) | <0.001 | 5,907 (17.8) | 2,613 (19.5) | <0.001 | |
| Body mass index (kg/m²) | <0.001 | <0.001 | ||||||
| <18.5 | 5,570 (3.0) | 3,767 (2.7) | 1,803 (3.9) | 1,357 (4.1) | 446 (3.3) | |||
| 18.5–22.9 | 73,689 (39.6) | 54,196 (38.8) | 19,493 (41.9) | 14,217 (42.9) | 5,276 (39.4) | |||
| 23–24.9 | 46,699 (25.1) | 35,314 (25.3) | 11,385 (24.5) | 8,094 (24.4) | 3,291 (24.6) | |||
| 25–29.9 | 53,231 (28.6) | 40,956 (29.3) | 12,275 (26.4) | 8,473 (25.6) | 3,802 (28.4) | |||
| ≥30 | 6,903 (3.7) | 5,336 (3.8) | 1,567 (3.4) | 988 (3.0) | 579 (4.3) | |||
| Diabetes mellitus | 23,100 (12.4) | 17,392 (12.5) | 5,708 (12.3) | 0.28 | 3,974 (12.0) | 1,734 (12.9) | 0.005 | |
| Hypertension | 69,962 (37.6) | 51,638 (37.0) | 18,324 (39.4) | <0.001 | 12,606 (38.1) | 5,718 (42.7) | <0.001 | |
| Dyslipidemia | 59,913 (32.2) | 44,756 (32.1) | 15,157 (32.6) | 0.04 | 10,331 (31.2) | 4,826 (36.0) | <0.001 | |
| Chronic kidney disease | 12,663 (6.8) | 8,986 (6.4) | 3,677 (7.9) | <0.001 | 2,468 (7.4) | 1,209 (9.0) | <0.001 | |
| Clinical outcome | ||||||||
| Gallstone disease | 11,572 (6.2) | 7,697 (5.5) | 3,875 (8.3) | <0.001 | 2,830 (8.5) | 1,045 (7.8) | 0.009 | |
| F/U duration | ||||||||
| Mean ± SD | 5.4±2.3 | 5.5±2.3 | 5.3±2.3 | <0.001 | 5.3±2.4 | 5.3±2.3 | 0.42 | |
| Median (Q1–Q3) | 5.3 (3.5–7.3) | 5.3 (3.6–7.4) | 5.2 (3.4–7.2) | <0.001 | 5.1 (3.4–7.3) | 5.2 (3.5–7.1) | 0.001 | |
| Cholecystectomy | 2,131 (1.1) | 1,553 (1.1) | 578 (1.2) | 0.02 | 419 (1.3) | 159 (1.2) | 0.49 | |
| F/U duration | ||||||||
| Mean ± SD | 5.54±2.3 | 5.57±2.3 | 5.48±2.3 | <0.001 | 5.49±2.3 | 5.45±2.2 | 0.13 | |
| Median (Q1–Q3) | 5.4 (3.6–7.4) | 5.4 (3.7–7.5) | 5.3 (3.6–7.4) | <0.001 | 5.3 (3.6–7.4) | 5.4 (4.6–7.2) | 0.01 | |
Data are presented as n (%) or mean ± SD unless otherwise stated. F/U, follow-up; RA, rheumatoid arthritis; SD, standard deviation; SNRA, seronegative rheumatoid arthritis; SPRA, seropositive rheumatoid arthritis.
Risk of gallstone disease according to the presence of RA
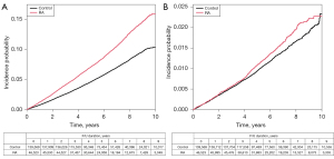
During a median (IQR) follow-up of 5.3 (3.5–7.3) years after the 1-year lag period, 11,572 participants (3,875 in the RA group and 7,697 in the control group) were newly diagnosed with gallstone disease (Table 2). Compared with the control group, patients with RA showed a higher risk for gallstone disease (aHR 1.58, 95% CI: 1.52–1.65; P<0.001) (Table 2, Figure 2A). Based on serological status, both SPRA (aHR 1.63, 95% CI: 1.56–1.70; P<0.001) and SNRA (aHR 1.48, 95% CI: 1.38–1.57; P<0.001) patients had a higher risk of gallstone disease than the matched controls. Patients with SPRA tended to have a higher risk than patients with SNRA (aHR 1.11, 95% CI: 1.03–1.19; P=0.005).
Table 2
| RA status | No | Events, n | Duration, PY | Incidence rate (/100 PY) | Model 1 | Model 2 | Model 3 | Model 4 | |||||||
|---|---|---|---|---|---|---|---|---|---|---|---|---|---|---|---|
| HR (95% CI) | P | HR (95% CI) | P | HR (95% CI) | P | HR (95% CI) | P | ||||||||
| Gallstone disease | |||||||||||||||
| Control | 139,569 | 7,697 | 762,662.98 | 10.09 | 1 (Ref.) | <0.001 | 1 (Ref.) | <0.001 | 1 (Ref.) | <0.001 | 1 (Ref.) | <0.001 | |||
| RA (vs. control) | 46,523 | 3,875 | 247,020.89 | 15.69 | 1.56 (1.50–1.62) | 1.58 (1.52–1.64) | 1.59 (1.53–1.65) | 1.58 (1.52–1.65) | |||||||
| SPRA & SNRA (vs. control) | <0.001 | <0.001 | <0.001 | <0.001 | |||||||||||
| SPRA | 33,129 | 2,830 | 176,086.35 | 16.07 | 1.60 (1.53–1.67) | 1.61 (1.54–1.68) | 1.63 (1.56–1.70) | 1.63 (1.56–1.70) | |||||||
| SNRA | 13,394 | 1,045 | 70,934.54 | 14.73 | 1.47 (1.38–1.57) | 1.49 (1.40–1.59) | 1.50 (1.41–1.60) | 1.48 (1.38–1.57) | |||||||
| SPRA (vs. SNRA) | 1.09 (1.01–1.17) | 0.02 | 1.08 (1.00–1.16) | 0.04 | 1.08 (1.01–1.16) | 0.03 | 1.11 (1.03–1.19) | 0.005 | |||||||
| Cholecystectomy | |||||||||||||||
| Control | 139,569 | 1,553 | 776,916.98 | 2.00 | 1 (Ref.) | 0.009 | 1 (Ref.) | 0.006 | 1 (Ref.) | 0.003 | 1 (Ref.) | 0.004 | |||
| RA (vs. control) | 46,523 | 578 | 254,857.34 | 2.27 | 1.14 (1.03–1.25) | 1.15 (1.04–1.26) | 1.16 (1.05–1.27) | 1.15 (1.05–1.27) | |||||||
| SPRA & SNRA (vs. control) | 0.03 | 0.02 | 0.007 | 0.01 | |||||||||||
| SPRA | 33,129 | 419 | 181,820.67 | 2.30 | 1.15 (1.04–1.29) | 1.16 (1.04–1.29) | 1.18 (1.06–1.31) | 1.18 (1.06–1.31) | |||||||
| SNRA | 13,394 | 159 | 73,036.67 | 2.18 | 1.09 (0.93–1.29) | 1.11 (0.94–1.30) | 1.10 (0.94–1.30) | 1.09 (0.93–1.29) | |||||||
| SPRA (vs. SNRA) | 1.06 (0.88–1.27) | 0.56 | 1.05 (0.87–1.26) | 0.61 | 1.06 (0.89–1.28) | 0.51 | 1.10 (0.91–1.32) | 0.31 | |||||||
Model 1 was non-adjusted; model 2 was adjusted for age, sex; model 3 was adjusted additionally smoking, alcohol drinking, physical activity, low income; model 4 was adjusted additionally diabetes, hypertension, hyperlipidemia, chronic kidney disease. CI, confidence interval; HR, hazard ratio; PY, person-years; RA, rheumatoid arthritis; Ref., reference; SPRA, seropositive RA; SNRA, seronegative RA.
Risk of undergoing cholecystectomy according to the presence of RA
During a median (IQR) follow-up of 5.4 (3.7–7.5) years after the 1-year lag period, 2,131 participants (578 in the RA group and 1,553 in the control group) underwent cholecystectomy (Table 2, Figure 2B). Patients with RA tended to have a slightly higher risk of undergoing cholecystectomy (aHR 1.15, 95% CI: 1.05–1.27; P=0.004) than the matched controls (Table 2). By serological status, patients with SPRA tended to have a marginally higher risk (aHR 1.18, 95% CI: 1.06–1.31; P=0.01) than the matched controls, but patients with SNRA did not differ from the controls in their risk (aHR 1.09, 95% CI: 0.93–1.29; P=0.01). Patients with SPRA also tended to have a higher risk than patients with SNRA (aHR 1.10, 95% CI: 0.91–1.32; P=0.32), but that difference was not statistically significant.
Exploratory analysis of DMARDs
Among patients with RA, those treated with bDMARDs or tsDMARDs, as well as those not treated with those agents, showed a higher risk of gallstone disease than the control group. The treated group exhibited a higher risk (aHR 1.79; 95% CI: 1.61–1.99) than the untreated group (aHR 1.57; 95% CI: 1.50–1.63). Similarly, patients with RA who were not treated with bDMARDs or tsDMARDs showed an increased risk of cholecystectomy compared with the control group (aHR 1.20; 95% CI: 1.09–1.32). In contrast, the treated group demonstrated a significantly lower risk of cholecystectomy than the control group (aHR 0.63; 95% CI: 0.43–0.93) (Table S2).
Stratified analysis
RA did not interact significantly with sex, age, BMI, or diabetes in the risk of gallstone disease or undergoing cholecystectomy (Table S3). In contrast, hyperlipidemia showed a significant interaction with RA in the occurrence of gallstone disease (aHR 1.67, 95% CI: 1.57–1.78; P for interaction =0.028) and cholecystectomy (aHR 1.39, 95% CI: 1.19–1.62; P for interaction =0.003).
Discussion
In this nationwide cohort study, we observed that patients with RA had a 1.58-fold higher risk of developing gallstone disease than those without RA, and we also found that they were 1.16 times more likely to undergo cholecystectomy than the control participants. Our results show an elevated risk of gallstone formation in the RA group, compared with the matched control participants, aligning with the findings of previous research (10-12). However, previous studies investigating the association between gallstone disease and RA are both few in number and predominantly small-scale case-control studies. To the best of our knowledge, this is the first research to present a retrospective cohort analysis that is both population-based, involving more than 100,000 individuals, and has more than five years of follow-up. Moreover, many recent studies have demonstrated that the formation of gallstones is associated with age, female sex, BMI, alcohol consumption, dietary habits, physical activity, and metabolic disorders such as hyperlipidemia and diabetes mellitus (28-31). Our study has the strength of adjusting for those factors that can influence gallstone formation, which has allowed us to illustrate differences in disease incidence and the likelihood of undergoing cholecystectomy between individuals with and without RA.
Although the underlying mechanisms of the potential association between RA and gallstone disease remain elusive, impaired gallbladder emptying with bile stasis could lead to the formation of gallstones (31). Gallbladder motility is controlled by both endocrine and neural pathways. Neural control is mediated by an intramural plexus that receives signals from the parasympathetic nerve and the sympathetic nervous system. Cholecystokinin, the key hormone that induces gallbladder contraction, has been detected within nerve fibers in the gallbladder wall and is thought to function as a parasympathetic neurotransmitter (32,33). Among patients with diabetes and liver cirrhosis, those with autonomic neuropathy showed an increased prevalence of gallbladder disease (34,35). Autonomic nervous dysfunction was also reported in RA. According to a meta-analysis, autonomic nervous system dysfunction was present in more than 60% of patients with RA, and parasympathetic nerve dysfunction, which plays a key role in gallbladder contraction, was also observed (36). Another possible mechanism is an increase in inflammatory cytokines. A previous study showed that blood levels of inflammatory cytokines (IL-1, IL-6, and TNF-α) were increased in menopausal women with gallstones (37). Therefore, the endothelial functions of the gallbladder, which are essential for lipid recycling, might be impaired in an inflammatory environment (4). Consequently, the chronic inflammatory condition observed in RA patients, which is linked to gallbladder function, could account for the increased prevalence of gallstones in RA patients. Lastly, the altered lipid metabolism caused by RA could increase the risk of gallstone formation (12). Further laboratory analysis is likely needed to clarify the mechanism of gallstone formation in patients with RA.
In our exploratory analysis, users of bDMARDs or tsDMARDs had an elevated risk of gallstone formation but a lower chance of undergoing cholecystectomy than RA patients not treated with those medications. Impaired cholesterol metabolism and dyslipidemia have been identified as key mechanisms contributing to gallstone formation (31,38). Previous studies, including randomized controlled trials, have demonstrated that the use of bDMARDs and tsDMARDs can influence intracellular inflammatory signaling pathways and cholesterol catabolism, leading to an increase in total cholesterol, low density lipoprotein cholesterol, non-high density lipoprotein cholesterol, and triglyceride levels, though the degree of elevation varies (39,40). It is thus possible that the effects of these medications increase the incidence of gallstone disease.
On the other hand, it can be hypothesized that the administration of bDMARDs or tsDMARDs corrects the autonomic nervous system dysfunction observed in RA patients, ultimately preventing the progression of gallstones to cholecystectomy due to cholecystitis. In fact, some studies have investigated whether the recovery of autonomic nervous system function can be considered a criterion for evaluating the effectiveness of these medications in patients with RA (41,42). Our study demonstrates that the occurrence of gallstone disease might increase in patients with RA, and that risk can persist even with DMARD use, providing evidence for considering gallstone disease as a differential diagnosis when RA patients present with gastrointestinal symptoms.
Several limitations of the present study should be addressed. First. even though our models were adjusted for some potential confounders, information was not available on other potential confounders such as family history, dietary and lifestyle factors such as a Western style diet, pregnancy, oral contraceptive use, estrogen replacement therapy, and rapid weight loss (31). Second, the ICD code does not account for the specific type of gallstones, so it is unclear whether confirmed cases of gallstone disease involved cholesterol stones or pigment stones. Generally, approximately 80% of gallstones are cholesterol stones, and 20% are pigment stones, with cholesterol gallstones predominantly found in Western populations and pigment gallstones more commonly observed in Asia (43,44). Although the epidemiological characteristics of gallstone disease exhibit notable differences between Asian and Western populations, it is inferred that cholesterol stones might be increasing in Eastern populations compared with the past due to the influence of Westernized dietary habits and the change of socioeconomic state (44). It would be beneficial to conduct future studies on the types of stones, as well as differences in the mechanisms of their formation. Third, retrospective studies typically encounter surveillance bias, wherein individuals diagnosed with RA might receive more frequent health care than the healthy controls, potentially leading to a higher likelihood of receiving an asymptomatic gallstone disease diagnosis. Fourth, our study participants were restricted to those who underwent health screenings and might thus have been healthier and more committed to a healthy lifestyle than the general population.
Conclusions
In conclusion, this nationwide cohort study identified an association between RA and a higher risk of gallstone formation, along with a slightly elevated likelihood of requiring cholecystectomy. As such, the findings suggest that gallstone disease should be considered as a potential differential diagnosis when patients with RA present with abdominal pain or discomfort.
Acknowledgments
None.
Footnote
Reporting Checklist: The authors have completed the STROBE reporting checklist. Available at https://atm.amegroups.com/article/view/10.21037/atm-25-12/rc
Data Sharing Statement: Available at https://atm.amegroups.com/article/view/10.21037/atm-25-12/dss
Peer Review File: Available at https://atm.amegroups.com/article/view/10.21037/atm-25-12/prf
Funding: None.
Conflicts of Interest: All authors have completed the ICMJE uniform disclosure form (available at https://atm.amegroups.com/article/view/10.21037/atm-25-12/coif). The authors have no conflicts of interest to declare.
Ethical Statement: The authors are accountable for all aspects of the work in ensuring that questions related to the accuracy or integrity of any part of the work are appropriately investigated and resolved. This study was conducted in accordance with the Declaration of Helsinki and its subsequent amendments. It was approved by the Institutional Review Board (IRB) of Samsung Medical Center (No. SMC 2024-07-196). The IRB waived the requirement for informed consent because the NHIS database is available to researchers and supplies only anonymized data.
Open Access Statement: This is an Open Access article distributed in accordance with the Creative Commons Attribution-NonCommercial-NoDerivs 4.0 International License (CC BY-NC-ND 4.0), which permits the non-commercial replication and distribution of the article with the strict proviso that no changes or edits are made and the original work is properly cited (including links to both the formal publication through the relevant DOI and the license). See: https://creativecommons.org/licenses/by-nc-nd/4.0/.
References
- McInnes IB, Schett G. The pathogenesis of rheumatoid arthritis. N Engl J Med 2011;365:2205-19. [Crossref] [PubMed]
- Hwang YG, Moreland LW. Induction therapy with combination TNF inhibitor and methotrexate in early rheumatoid arthritis. Curr Rheumatol Rep 2014;16:417. [Crossref] [PubMed]
- Dougados M, Soubrier M, Antunez A, et al. Prevalence of comorbidities in rheumatoid arthritis and evaluation of their monitoring: results of an international, cross-sectional study (COMORA). Ann Rheum Dis 2014;73:62-8. [Crossref] [PubMed]
- Kim KW, Kim HY, Chun JK, et al. Relationship between gallbladder distension and lipid profiles in kawasaki disease. Korean Circ J 2010;40:137-40. [Crossref] [PubMed]
- Stender S, Frikke-Schmidt R, Benn M, et al. Low-density lipoprotein cholesterol and risk of gallstone disease: a Mendelian randomization study and meta-analyses. J Hepatol 2013;58:126-33. [Crossref] [PubMed]
- Reshetnyak VI. Concept of the pathogenesis and treatment of cholelithiasis. World J Hepatol 2012;4:18-34. [Crossref] [PubMed]
- Shabanzadeh DM, Sørensen LT, Jørgensen T. Determinants for gallstone formation - a new data cohort study and a systematic review with meta-analysis. Scand J Gastroenterol 2016;51:1239-48. [Crossref] [PubMed]
- Egeberg A, Andersen YMF, Gislason GH, et al. Gallstone Risk in Adult Patients with Atopic Dermatitis and Psoriasis: Possible Effect of Overweight and Obesity. Acta Derm Venereol 2017;97:627-31. [Crossref] [PubMed]
- Parente F, Pastore L, Bargiggia S, et al. Incidence and risk factors for gallstones in patients with inflammatory bowel disease: a large case-control study. Hepatology 2007;45:1267-74. [Crossref] [PubMed]
- Ito S, Hasegawa H, Nozawa S, et al. Gallstones in patients with rheumatoid arthritis. J Rheumatol 1999;26:1458-66.
- Pamuk ON, Umit H, Unlü E, et al. An increased frequency of gallbladder stones in rheumatoid arthritis patients. Factors related to gallbladder stone formation. Clin Exp Rheumatol 2006;24:317-20.
- García-Gómez MC, de Lama E, Ordoñez-Palau S, et al. High prevalence of gallstone disease in rheumatoid arthritis: A new comorbidity related to dyslipidemia? Reumatol Clin (Engl Ed) 2019;15:84-9. [Crossref] [PubMed]
- Shin DW, Cho J, Park JH, et al. National General Health Screening Program in Korea: history, current status, and future direction. Precis Future Med 2022;6:9-31.
- Jeon KH, Han K, Jung J, et al. Rheumatoid Arthritis and Risk of Depression in South Korea. JAMA Netw Open 2024;7:e241139. [Crossref] [PubMed]
- Kang J, Eun Y, Jang W, et al. Rheumatoid Arthritis and Risk of Parkinson Disease in Korea. JAMA Neurol 2023;80:634-41. [Crossref] [PubMed]
- Chung C, Kim H, Han K, et al. Does Rheumatoid Arthritis Increase the Risk of COPD?: A Nationwide Retrospective Cohort Study. Chest 2024;165:1362-71. [Crossref] [PubMed]
- Choi H, Han K, Jung JH, et al. Impact of Rheumatoid Arthritis and Seropositivity on the Risk of Non-Cystic Fibrosis Bronchiectasis. Chest 2024;165:1330-40. [Crossref] [PubMed]
- Cho SK, Sung YK, Choi CB, et al. Development of an algorithm for identifying rheumatoid arthritis in the Korean National Health Insurance claims database. Rheumatol Int 2013;33:2985-92. [Crossref] [PubMed]
- Kang S, Eun Y, Han K, et al. Heightened migraine risk in patients with rheumatoid arthritis: A national retrospective cohort study. Headache 2025;65:326-37. [Crossref] [PubMed]
- Kwon MJ, Lee JW, Kang HS, et al. Association between Gallstone Disease and Statin Use: A Nested Case-Control Study in Korea. Pharmaceuticals (Basel) 2023;16:536. [Crossref] [PubMed]
- Park J, Yoon JH, Ki HK, et al. Lifestyle changes and risk of tuberculosis in patients with type 2 diabetes mellitus: A nationwide cohort study. Front Endocrinol (Lausanne) 2022;13:1009493. [Crossref] [PubMed]
- Lee HR, Yoo JE, Choi H, et al. Tuberculosis and Risk of Ischemic Stroke: A Nationwide Cohort Study. Stroke 2022;53:3401-9. [Crossref] [PubMed]
- Choi H, Yang B, Nam H, et al. Population-based prevalence of bronchiectasis and associated comorbidities in South Korea. Eur Respir J 2019;54:1900194. [Crossref] [PubMed]
- Lee H, Ryu J, Nam E, et al. Increased mortality in patients with corticosteroid-dependent asthma: a nationwide population-based study. Eur Respir J 2019;54:1900804. [Crossref] [PubMed]
- Yang B, Ryu J, Kim T, et al. Impact of Bronchiectasis on Incident Nontuberculous Mycobacterial Pulmonary Disease: A 10-Year National Cohort Study. Chest 2021;159:1807-11. [Crossref] [PubMed]
- Lee HR, Yoo JE, Choi H, et al. Tuberculosis and the Risk of Ischemic Heart Disease: A Nationwide Cohort Study. Clin Infect Dis 2023;76:1576-84. [Crossref] [PubMed]
- Summers GD, Deighton CM, Rennie MJ, et al. Rheumatoid cachexia: a clinical perspective. Rheumatology (Oxford) 2008;47:1124-31. [Crossref] [PubMed]
- Chen CH, Huang MH, Yang JC, et al. Prevalence and risk factors of gallstone disease in an adult population of Taiwan: an epidemiological survey. J Gastroenterol Hepatol 2006;21:1737-43. [Crossref] [PubMed]
- Shi C, Liu X, Xie Z, et al. Lifestyle factors and the risk of gallstones: results from the national health and nutrition examination survey 2018-2020 and mendelian randomization analysis. Scand J Gastroenterol 2023;58:1021-9. [Crossref] [PubMed]
- Stinton LM, Myers RP, Shaffer EA. Epidemiology of gallstones. Gastroenterol Clin North Am 2010;39:157-69. vii. [Crossref] [PubMed]
- Portincasa P, Moschetta A, Palasciano G. Cholesterol gallstone disease. Lancet 2006;368:230-9. [Crossref] [PubMed]
- Balemba OB, Salter MJ, Mawe GM. Innervation of the extrahepatic biliary tract. Anat Rec A Discov Mol Cell Evol Biol 2004;280:836-47. [Crossref] [PubMed]
- Tierney S, Pitt HA, Lillemoe KD. Physiology and pathophysiology of gallbladder motility. Surg Clin North Am 1993;73:1267-90. [Crossref] [PubMed]
- Gaur C, Mathur A, Agarwal A, et al. Diabetic autonomic neuropathy causing gall bladder dysfunction. J Assoc Physicians India 2000;48:603-5.
- Chawla A, Puthumana L, Thuluvath PJ. Autonomic dysfunction and cholelithiasis in patients with cirrhosis. Dig Dis Sci 2001;46:495-8. [Crossref] [PubMed]
- Adlan AM, Lip GY, Paton JF, et al. Autonomic function and rheumatoid arthritis: a systematic review. Semin Arthritis Rheum 2014;44:283-304. [Crossref] [PubMed]
- Shengelia M, Intskirveli N, Gogebashvili N. Inflammatory markers of gallstones disease in menopausal women. Georgian Med News 2012;52-5.
- Wang J, Shen S, Wang B, et al. Serum lipid levels are the risk factors of gallbladder stones: a population-based study in China. Lipids Health Dis 2020;19:50. [Crossref] [PubMed]
- Koh JH, Lee BW, Kim WU. Changes in the cholesterol profile of patients with rheumatoid arthritis treated with biologics or Janus kinase inhibitors. J Rheum Dis 2023;30:234-42. [Crossref] [PubMed]
- van Vollenhoven RF, Fleischmann R, Cohen S, et al. Tofacitinib or adalimumab versus placebo in rheumatoid arthritis. N Engl J Med 2012;367:508-19. [Crossref] [PubMed]
- Holman AJ, Ng E. Heart rate variability predicts anti-tumor necrosis factor therapy response for inflammatory arthritis. Auton Neurosci 2008;143:58-67. [Crossref] [PubMed]
- Koopman FA, Tang MW, Vermeij J, et al. Autonomic Dysfunction Precedes Development of Rheumatoid Arthritis: A Prospective Cohort Study. EBioMedicine 2016;6:231-7. [Crossref] [PubMed]
- Diehl AK. Epidemiology and natural history of gallstone disease. Gastroenterol Clin North Am 1991;20:1-19.
- Kim JW, Oh HC, Do JH, et al. Has the prevalence of cholesterol gallstones increased in Korea? A preliminary single-center experience. J Dig Dis 2013;14:559-63. [Crossref] [PubMed]


