Spectral analysis of bruits with an electronic stethoscope enhances screening of carotid stenosis and plaques beyond conventional auscultation
Highlight box
Key findings
• An electronic stethoscope, equipped with spectral bruit analysis has good capacity for identifying severe stenosis but limited sensitivity for detecting any plaque. This approach yielded a testing area under receiver operating characteristic curve (AUC) of 0.79, a sensitivity of 78.6%, and a specificity of 72.1% for detecting severe stenosis from distal location recordings.
What is known and what is new?
• Duplex ultrasound (DUS) is the clinical standard for detecting significant stenosis. Acoustic stethoscopes, historically employed for carotid artery examination, are now considered outdated due to subjectivity and inconsistent sensitivity and specificity in detecting stenosis.
• To overcome traditional acoustic auscultation limitations, our study introduces a signal analysis scheme to evaluate the electronic stethoscope as a potential screening tool for carotid plaques and severe stenosis.
What is the implication, and what should change now?
• Electronic stethoscope is more affordable, user-friendly, and less time-consuming compared to DUS—the established diagnostic modality for carotid stenosis—and offers superior performance to that attainable with conventional auscultation. Therefore, it could serve as an initial screening tool to identify asymptomatic patients with carotid stenosis who require further testing and diagnostic confirmation, followed by appropriate medical therapy and risk factor management.
Introduction
Stroke is the second leading cause of death and the third leading cause of morbidity worldwide (1). Carotid stenosis is a major contributor to stroke (2,3), particularly in an aging population, where its prevalence is increasing (4). Fortunately, carotid stenosis is a modifiable risk factor; timely detection, lifestyle changes (e.g., regular exercise, quitting smoking), and medical treatment can significantly reduce the risk of stroke (3,5). Notably, around 15% of all strokes are caused by thromboembolism originating from asymptomatic internal carotid artery stenosis (6). Therefore, screening asymptomatic individuals is crucial, as it presents an opportunity to prevent strokes by monitoring disease progression and initiating appropriate medical therapy in a timely manner.
Arterial stenosis leads to increased blood flow velocities and can cause flow instabilities distal to the stenosis. These instabilities generate sound waves, known as bruits, which can be transmitted through the vessel wall and surrounding tissues, reaching the skin surface where they can be captured and recorded using a stethoscope. The stethoscope is one of the simplest diagnostic tools available (7), requiring minimal training compared to duplex ultrasound (DUS), the standard first-line imaging technique for carotid stenosis. Auscultating the carotid artery for bruits was once a routine part of cardiovascular assessment (8), and several studies have evaluated the clinical utility of this approach for detecting severe stenosis. For instance, in the Northern Manhattan Study, researchers investigated carotid bruits in 686 asymptomatic participants, reporting that the acoustic stethoscope had a sensitivity of 56% and specificity of 98% for detecting ≥60% stenosis, and a sensitivity of 6.3% and specificity of 99% for predicting plaques (8).
However, acoustic stethoscopes have several limitations compared to modern electronic stethoscopes (e-stethoscopes). They function as low-pass filters, attenuating higher-frequency sounds (7), and require immediate, operator-dependent interpretation. This reliance on the clinician’s skill, coupled with significant interobserver variability, has led to a wide range of reported sensitivities (24–88%) and specificities (40–98%) for detecting significant stenosis (9,10). In contrast, electronic stethoscopes provide a more uniform frequency response, improved acoustic quality with sound amplification, and a visual display (11) that aids in locating the optimal position for high-quality recordings. Importantly, they also allow for sound recordings to be analyzed later, addressing the subjectivity inherent in traditional stethoscope use. Advanced signal analysis of these recordings could offer a more objective assessment, potentially improving the sensitivity of carotid stenosis detection.
Some studies have explored signal analysis of e-stethoscope recordings to enhance stenosis detection. For example, Knox et al. (12) analyzed 43 bruit recordings and found a linear relationship between microphone-estimated residual diameter and arteriography-determined stenosis. Similarly, Tavel et al. (13) demonstrated that combining peak frequency and bruit duration achieved 90% sensitivity in detecting >60% stenosis. However, these studies focused on patients with bruits and lacked control groups of patients without bruits, which limited their ability to assess the effectiveness of the electronic stethoscope as a screening or diagnostic tool.
Given the lack of robust evidence supporting the effectiveness of acoustic auscultation for carotid stenosis detection, further research is needed. Developing suitable signal analysis methods is essential to fully leverage the accessibility and enhanced quality of modern electronic stethoscopes.
This study proposes using an electronic stethoscope with spectral analysis as a potential screening tool for carotid stenosis and plaques. This screening method would help identify asymptomatic patients who require further testing and diagnostic confirmation. We hypothesize that spectral analysis can provide additional information relevant to stenosis detection that is not easily discernible by listening alone. Since detecting severe stenosis is of paramount clinical importance (14,15), the primary aim of this study is to evaluate the capability of an electronic stethoscope in detecting severe stenosis. A secondary aim is to assess its ability to detect the presence of plaques. We present this article in accordance with the STARD reporting checklist (available at https://atm.amegroups.com/article/view/10.21037/atm-24-191/rc).
Methods
Study population and its characteristics
This cross-sectional cohort study included 94 patients who were prospectively recruited from the Clinical Neurophysiology department at Maastricht University Medical Center+. These patients were referred for DUS examinations between March 2023 and June 2024. Patients were referred to secondary care either due to a recent transient ischemic attack (TIA) that raised suspicion of internal carotid stenosis or for preoperative evaluation before carotid endarterectomy. Preoperative patients were identified based on a previous DUS examination that established the condition. Inclusion criteria were age 18 or above. The recruited patients constituted a convenience sample, with enrollment occurring when the first author was available in the clinical department. The study was registered at https://metc.mumc.maastrichtuniversity.nl/ under the number METC 2022-3407. The study was conducted in accordance with the Declaration of Helsinki and its subsequent amendments. The study was approved by the medical ethics committee of Maastricht University Medical Center+ (No. METC 2022-3407). All participants provided written informed consent prior to undergoing any measurements. Patient characteristics, including age, sex, height, weight, BMI, and body surface area, were retrieved from electronic patient records. The history of cardiovascular diseases, diabetes, hypertension, and hypercholesterolemia was also documented.
Clinical standard: DUS examination
DUS, consisting of both B-mode and Doppler ultrasound, was used as the clinical reference to estimate the degree of stenosis, following the North American Symptomatic Carotid Endarterectomy Trial (NASCET) criteria. Duplex is recommended as the primary imaging modality for assessing carotid artery stenosis (16). The examinations were conducted by trained technicians using the Epiq ultrasound system (Philips, Amsterdam, the Netherlands) with a 3–12 MHz linear broadband transducer. The scan covered the bilateral common carotid artery, its bifurcation, and the external and internal carotid arteries. For each of these segments, the presence and extent of plaques were assessed based on their protrusion into the lumen. Additionally, peak systolic and end diastolic velocities were recorded. The degree of stenosis was determined using a multiparameter approach as detailed in (17). For analysis, arteries were stratified into five categories: (I) no plaque; (II) <50% stenosis (minor plaque); (III) 50–69% stenosis (moderate stenosis); (IV) ≥70% stenosis (severe stenosis); and (V) occlusion. Each artery was assigned a composite category based on the maximum degree of stenosis observed across all arterial segments. It is worth noting that the outcomes obtained with DUS were blinded to e-stethoscope results, as e-stethoscope recordings were obtained and analyzed after the DUS examination.
Data collection
The study included 94 patients, both preoperative and those with TIA. Measurements were conducted on 84 of these patients; 10 were excluded due to consent withdrawal, medical, or logistical reasons. Recordings were taken, immediately after DUS exam, while patients were lying in a supine position, using a commercially available electronic stethoscope, Eko (Eko Health, Inc., Emeryville, CA, USA). The Eko device includes a small, handheld auscultation piece and a smartphone application that displays sounds and ECG signals, providing real-time visual feedback. Based on signal quality, patients were occasionally instructed to slightly rotate their heads to the opposite side. E-stethoscope recordings were conducted by a different operator than the technicians performing the DUS. While signals were collected on the same day of DUS exam, they were stored on a server for later analysis.
Measurements were performed on both carotid arteries at two locations (n=168 arteries): immediately above the clavicle (proximal) and below the angle of the jaw (distal). Light pressure was applied to ensure proper contact between the microphone and the skin, and patients were instructed to hold their breath for 10 seconds. The measurement began at the end of expiration and continued for 20 additional seconds while the patient resumed normal breathing. Breath-hold pauses were confirmed by the absence of audible breathing sounds and by a visible difference between the breathing and breath-hold segments in the signal’s time-frequency distribution.
Signal analysis
Figure 1 provides an outline of the steps involved in processing e-stethoscope recordings in MATLAB (2023a, MathWorks, Natick, MA, USA). Below is a detailed explanation of each step.
Before feature extraction, all signals were first high-pass filtered with a cutoff frequency of 20 Hz. This was followed by artifact removal, where signals were segmented into 1-second frames and the power content of each frame was compared to the median power of the entire recording. Frames with power more than three times the median were considered to contain artifacts and were removed from the signal (Figure 1).
Feature extraction
We extracted a range of spectral features to detect potential bruits associated with severe stenosis and plaques. Ten specific spectral features were evaluated for their effectiveness in this detection, as detailed in (18). These features include:
- Intensity of flow instabilities [IFI(0–40 Hz)]: calculates the integral of the power spectrum within the 0-40 Hz frequency range.
- IFI(80–500 Hz): similar to the first feature but focuses on the 80–500 Hz frequency range.
- Spectrum width: estimates the width of the spectrum based on a predefined threshold.
- Spectral decay rate: utilizes empirical mode decomposition to estimate the rate at which the spectrum decays.
- Peak systolic frequency: extracts a single peak per cycle from the upper envelope of a time-frequency spectrogram, aligned with systole.
- Average of spectrogram envelope: similar to peak systolic frequency but calculates the average of the envelope instead of a single peak per cycle.
- Average frequency: determines an average estimate of the time-varying instantaneous frequency.
- Spectral decrease: measures the steepness of the decline in spectral amplitude as frequency increases.
- Spectral entropy: assesses the entropy of the time-frequency spectrogram, indicating the peakiness and disorder of the spectrum.
- Percentage of power in 3rd and 4th intrinsic mode functions (IMFs): computes the percentage of power contained within the 3rd and 4th IMFs, obtained through empirical mode decomposition.
The effectiveness of each feature in detecting severe stenosis and plaques was evaluated using empirical receiver operating characteristic (ROC) curves. Notably, the operator performing e-stethoscope acquisitions was not blinded to the DUS outcomes (the clinical standard). However, the features were generated using automated algorithms, ensuring independence from subjective observer judgment.
Statistical analysis
Predictive model training and testing
To predict the outcomes of interest, which are the presence of plaques and the presence of severe stenosis, we used weighted multivariable binary logistic regression with all ten previously described features as predictors. Notably, all predictors were included in the model in their continuous format. Two binary classifications were established: (I) non-severe stenosis vs. severe stenosis; and (II) no plaque vs. at least minor plaque. For internal validation, the logistic regression models were trained and tested using k-fold cross-validation (Figure 1), where the data was divided into k approximately equal subsets, ensuring group distribution was maintained within each set. During each iteration, k–1 sets were used for training, and one set was reserved for testing. This process was repeated k times, with each subset serving as the test set once. We set k to 10 and calculated performance metrics for each test set, with the overall model performance being the average across all k test sets. This cross-validation method provides insight into the model’s generalizability to external populations.
Performance assessment
The model’s performance was assessed using the ROC curve, which plots true positive rate (sensitivity) against false positive rate (1 − specificity) across different cutoff points. The area under the ROC curve (AUC) was reported as a measure of the model’s ability to distinguish between categories. An AUC of 0.5 indicates performance equivalent to random guessing, while an AUC of 1 indicates perfect classification.
Sensitivity reflects the model’s ability to correctly identify positive cases, whereas specificity measures its ability to correctly identify negative cases. Given the trade-off between sensitivity and specificity in screening tests, we analyzed the ROC curve to determine an optimal cutoff point. We used Youden’s index, a well-recognized criterion for balancing sensitivity and specificity, to identify this cutoff (19). However, in screening contexts, the priority is often on maximizing sensitivity to ensure early detection of true positives. To accommodate this, we employed a weighted version of Youden’s index (20), which allows sensitivity to be weighted more heavily than specificity:
where is the weighted Youden’s index, and is the weight used. By assigning a weight to sensitivity that exceeds that of specificity (i.e., ), we prioritized early detection. We explored a range of weights, assigning sensitivity weight values up to 10 times higher than specificity, to observe their impact on the model’s performance. The weight and corresponding cutoff that maximized sensitivity without substantially compromising specificity were selected. Finally, we reported contingency tables summarizing the true positive rate, true negative rate, false positive rate, and false negative rate.
Results
Population selection and characteristics
Figure 2 illustrates the selection process for the study population, while Table 1 summarizes the demographic and clinical characteristics of the participants. Cases of arterial occlusion were excluded from the analysis due to their low incidence, limiting their statistical relevance. Furthermore, the analysis focused exclusively on the breath-hold segments, with a total of 114 arteries included for evaluation.
Table 1
| Parameter | Value |
|---|---|
| n/N (arteries/patients) | 114/61 |
| Age (years) | 67±13 |
| Number of female subjects (%) | 22 [36.1] |
| BMI (kg/m2) | 26.8±3.8 |
| Height (cm) | 172±9 |
| Weight (kg) | 78.8±12.4 |
| Body surface area (m2) | 1.91±0.18 |
| Systolic blood pressure (mmHg) | 138±21 |
| Diastolic blood pressure (mmHg) | 74±10 |
| Pulse pressure (mmHg) | 64±16 |
| History of cardiovascular diseases | 30 [50] |
| Hypertension | 30 [50] |
| Hypercholesterolemia | 24 [40] |
| Diabetes | 12 [20] |
Values are represented as mean ± standard deviation or number [percentages] as appropriate. BMI, body mass index.
Comparison of ultrasound Doppler and e-stethoscope recordings
Figure 3 presents examples of instantaneous ultrasound Doppler spectra alongside the time-frequency distribution of e-stethoscope recordings. In patients with stenosis, the presence of a stenotic bruit is evident, contrasting with the absence of such a bruit in patients without plaques.
Determining the optimal cutoff point
Figure 4 displays the sensitivity and specificity achieved across various cutoff points, determined by assigning different weights to sensitivity relative to specificity using the weighted Youden index formula (Eq. [1]). These results were derived from the ROC curves generated for detecting severe stenosis, utilizing all 10 spectral features in the training set. Adjusting the weight in favor of sensitivity led to higher sensitivity values. For the proximal location recordings (Figure 4B), equal weights were assigned to sensitivity and specificity. In contrast, for the distal location recordings (Figure 4A), the sensitivity weight was set at twice that of specificity. This approach was chosen to avoid a significant drop in specificity with further increases in the sensitivity weight.
Performance based on distal location recordings
Detection of severe stenosis
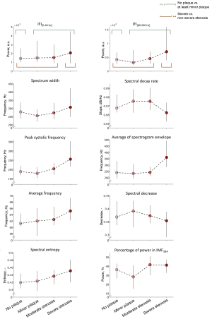
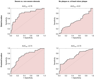
Figure 5 illustrates the values of all spectral features for different degrees of stenosis based on distal location measurements, while Table 2 reports the respective AUCs for each feature when used individually. Peak systolic frequency, mean of the spectral envelope, and average frequency were the top-performing features for distinguishing severe stenosis. The remaining features, except for IFI(0–40 Hz), demonstrated moderate discriminatory power with AUCs ranging from 0.62 to 0.67. Combining all features in a binary logistic regression model yielded a training AUC (AUC_train) of 0.87 and a testing AUC (AUC_test) of 0.79 (Figure 6 and Table S1). Using the cutoff point at the maximum Youden index, the sensitivity and specificity were 84.9% and 73.6% for the training set, and 78.6% and 72.1% for the testing set, respectively (Figure 7).
Table 2
| Features | The area under the ROC curve | ||||
|---|---|---|---|---|---|
| Severe vs. non-severe stenosis | No plaque vs. at least minor plaque | ||||
| Distal | Proximal | Distal | Proximal | ||
| IFI(0–40 Hz) | 0.56 | 0.64 | 0.52 | 0.53 | |
| IFI(80–500 Hz) | 0.67 | 0.73 | 0.53 | 0.56 | |
| Spectrum width | 0.63 | 0.68 | 0.50 | 0.68 | |
| Spectral decay rate | 0.67 | 0.61 | 0.50 | 0.59 | |
| Peak systolic frequency | 0.80 | 0.57 | 0.57 | 0.59 | |
| Average of spectrogram envelope | 0.77 | 0.62 | 0.58 | 0.66 | |
| Average frequency | 0.70 | 0.67 | 0.60 | 0.70 | |
| Spectral decrease | 0.67 | 0.58 | 0.56 | 0.52 | |
| Spectral entropy | 0.67 | 0.67 | 0.61 | 0.67 | |
| Percentage of power in IMF3&4 | 0.62 | 0.58 | 0.50 | 0.56 | |
IFI, intensity of flow instabilities; IMF, intrinsic mode function; ROC, receiver operating characteristic.
Detection of the presence of any plaque
Most features, except for average frequency and spectral entropy, showed poor performance in differentiating between arteries with no plaques and those with any degree of stenosis (AUCs <0.6). The logistic regression model using all features combined resulted in an AUC_train of 0.70 and an AUC_test of 0.51 (Figure 6 and Table S1). Contingency tables in Figure 7, based on the maximum Youden index cutoff, showed sensitivity and specificity of 50.9% and 80.8% for the training set, and 43.2% and 57.6% for the testing set, respectively.
Performance based on proximal location recordings
Detection of severe stenosis
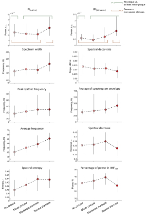
Figure 8 shows feature values for different stenosis degrees from proximal location recordings, while Table 2 reports the AUCs for each feature individually. IFI(80–500 Hz) outperformed other features for detecting severe stenosis, with an AUC of 0.73. Other features demonstrated poor to moderate discriminatory capacity. The combined logistic regression model for all features yielded an AUC_train of 0.84 and an AUC_test of 0.73 for detecting severe stenosis (Figure 6 and Table S1). Contingency tables in Figure 7, based on the maximum Youden index cutoff, indicated a sensitivity and specificity of 79.8% and 76.0% for the training set, and 60.7% and 75.6% for the testing set, respectively.
Detection of the presence of any plaque
For detecting any plaques, average frequency showed the highest discriminatory capacity with an AUC of 0.70, while the remaining features ranged from 0.52 to 0.68 in AUC (Table 2). The logistic regression model for plaque detection using all features yielded an AUC_train of 0.79 and an AUC_test of 0.70 (Figure 6 and Table S1). The sensitivity and specificity were 54.9% and 91.9% for the training set, and 51.9% and 78.8% for the testing set, respectively.
Discussion
This study evaluated the ability of an e-stethoscope, equipped with spectral bruit analysis, to detect carotid stenosis and plaques by conducting bilateral measurements at proximal and distal locations along the carotid artery. Our results demonstrate that this approach has good capacity for identifying severe stenosis but limited sensitivity for detecting any plaque. Specifically, by applying 10 spectral features to a binary multivariable logistic regression model with 10-fold cross-validation, we achieved a testing AUC of 0.79, a sensitivity of 78.6%, and a specificity of 72.1% for detecting severe stenosis from distal location recordings. When detecting any plaque using proximal location recordings, the testing AUC was 0.7, with a sensitivity of 51.9% and specificity of 78.8%. Details regarding the confidence intervals of the performance metrics are available in the supplementary material (Table S1).
The World Health Organization (WHO) estimated that in 2021, more than half of the global population lacked full access to essential health services (21). WHO also highlights that many low- and lower-middle-income countries lack the financial resources to acquire imaging equipment, and there is frequently a scarcity of healthcare professionals trained to operate such devices (22). In these settings, where advanced imaging technologies are often unavailable, e-stethoscopes provide a cost-effective and accessible tool for detecting bruits associated with carotid stenosis. These devices can help reduce healthcare costs by enabling earlier detection and treatment. Intended as an initial screening tool, the e-stethoscope facilitates early detection and referral for further evaluation, rather than serving as a diagnostic device. Although our study’s results prioritized sensitivity over specificity to some extent, the proposed algorithm allows for parameter adjustments to further enhance sensitivity, a crucial metric in screening. While diagnostic tools provide more detailed information, screening in large populations with limited resources requires a quick, efficient, and cost-effective method. The e-stethoscope allows rapid screening, with a 4-point measurement protocol taking just five minutes. Its portability, battery operation, and ease of use make it ideal for remote areas where expert personnel may not be available. Compact and user-friendly, it requires minimal training, making it a practical solution for large-scale screenings in resource-limited environments. Additionally, the e-stethoscope supports data transfer and analysis, enabling remote healthcare providers to assess results timely without the need for in-person evaluations.
The e-stethoscope is widely used for detecting heart valve stenosis (23), but its application in carotid stenosis detection has been limited by a lack of evidence supporting its efficacy. Recent efforts, however, are beginning to reassess its potential. Some groups are developing auscultation systems for carotid sound acquisition (24), while others are evaluating the technology for carotid stenosis detection. Weiss et al. (25), in a study involving 124 patients with suspected carotid disease, detected bruits in 19 cases and calculated the percent bruit onset time (PBOT). They reported that the absence of a bruit had a negative predictive value of 99% for detecting >50% stenosis, while the PBOT yielded 100% sensitivity and 80% specificity when a bruit was present. However, their method for determining the presence or absence of a bruit is unclear, and their focus was on timing rather than the critical frequency content of the bruit, which our study highlights as essential for accurate detection of stenotic bruits. To our knowledge, this is the first study to use spectral analysis of bruits to detect severe stenosis and plaques in a comparative analysis that includes controls without plaques. Our findings suggest that the use of an e-stethoscope for carotid stenosis screening warrants reconsideration.
The sound recorded over the carotid artery is a composite of multiple sources, including stenotic flow instabilities, transmitted heart sounds and murmurs, and disturbed flow at the bifurcation. The contribution of each sound source to the recorded signal varies depending on the measurement location. Proximal measurements emphasize transmitted heart sounds, murmurs, and large artery bruits, while the contribution from disturbed flow at the bifurcation is reduced compared to distal locations. These differences may explain the varying performance of the features based on the two measurement locations (Table 2).
The e-stethoscope showed poor performance in detecting plaques using distal location measurements (AUC_test =0.51), but detection improved with proximal recordings (AUC_test =0.70). This performance difference might be due to the disruptive effect of disturbed flow at the bifurcation (26,27), which diminishes with increasing distance from the bifurcation. The moderate AUC for plaque detection at the proximal location, with good specificity (78.8%) but limited sensitivity (51.9%), suggests that this method is better suited for ruling out plaques rather than reliably detecting them. However, the sensitivity is still better than the 6.3% achieved in previous work with a traditional acoustic stethoscope (8).
Flow instabilities generate sounds that propagate in all directions and are transmitted through the blood and vessel walls, reflecting when encountering obstacles like atherosclerotic plaques. As such, detecting a bruit does not guarantee that the stenosis is located at the recording site. Indeed, Tavel et al. (13) observed that their stethoscope-based method, which involved recording at the locations where the bruit intensity was highest, does not allow for precise localization of lumen narrowing, which could be in the common, internal, or external carotid artery. This phenomenon may explain our findings of severe stenosis detection at the proximal location, which is significant given that plaques typically form at the carotid bifurcation and extend into the internal carotid artery (28). Accessing the internal carotid artery with a DUS transducer can sometimes be challenging due to its deep and high location in the neck (29), making DUS impractical in certain cases. While DUS may miss stenoses in such areas, an electronic stethoscope can detect these stenoses because of radiated bruits toward the proximal common carotid artery, providing a potential alternative when direct access to the internal carotid artery is limited. However, concrete evidence to establish its significant advantage over DUS in these difficult cases is lacking.
We chose not to exclude patients with murmurs or bruits originating from the heart or large vessels (e.g., the subclavian artery), which may account for some of the observed false positives. Additionally, we did not exclude arteries with stenosis or occlusion in the contralateral artery. Although these arteries may not be diseased, the high velocities potentially compensating for reduced flow on the stenotic side could contribute to some false positives. In field screening, where a patient’s medical history is often unknown, these types of murmurs are expected to confound results and lead to false positives. However, in such scenarios, false positives could still indicate the need for further testing in other vascular territories, including the contralateral carotid artery. Despite the confounding effects of radiated bruits or murmurs and bruits generated by high velocities in normal vessels, we find the performance acceptable for screening purposes.
Our study does not propose the e-stethoscope as a replacement for standard DUS in selecting patients for carotid endarterectomy. Rather, the e-stethoscope should be viewed as an initial screening tool to identify asymptomatic patients who require further testing and diagnostic confirmation. The e-stethoscope lacks imaging that is necessary for plaque characterization. DUS, with its imaging capabilities, enabling plaque characterization, remains the first-line diagnostic tool for hemodynamically significant stenosis.
This study has three potential limitations. First, initially, we aimed to recruit 100 patients (200 arteries). However, logistical challenges, including patient availability and their ability to perform the breath-hold protocol, limited the final sample size to 114 arteries, of which only 28 had severe stenosis. To mitigate this limitation, we employed cross-validation to assess the generalizability of the predictive models, reduce the risk of overfitting, and provide a reliable estimation of the model’s performance despite the smaller sample size. The included sample size was skewed due to the prevalence of plaques and stenoses in our population. We addressed this skewness by using weighted logistic regression to account for group imbalance. Second, the logistic regression model was validated using 10-fold cross-validation, meaning the reported performance metrics are estimates of how the model might perform in an external population. Further clinical validation studies are required to confirm our findings. Third, while our goal is to develop a screening tool for asymptomatic patients in field settings, this study was conducted on a clinical population within a hospital setting.
Conclusions
Our findings indicate that the e-stethoscope approach has a good capacity for identifying severe stenosis but limited sensitivity for detecting any plaque. The performance obtained with the combination of the e-stethoscope with advanced spectral analysis is superior to that attainable with traditional bruit auscultation. The e-stethoscope could be a promising, user-friendly tool for initial screening, particularly valuable for stroke prevention in resource-limited settings worldwide.
Acknowledgments
The authors would like to thank all the patients for their participation in this study. The authors also express their sincere appreciation to the dedicated staff members of the Clinical Neurophysiology, Vascular Neurology, and Vascular Surgery departments at Maastricht University Medical Center+ for their invaluable assistance in patient recruitment and data collection.
Footnote
Reporting Checklist: The authors have completed the STARD reporting checklist. Available at https://atm.amegroups.com/article/view/10.21037/atm-24-191/rc
Data Sharing Statement: Available at https://atm.amegroups.com/article/view/10.21037/atm-24-191/dss
Peer Review File: Available at https://atm.amegroups.com/article/view/10.21037/atm-24-191/prf
Funding: This work was supported by
Conflicts of Interest: All authors have completed the ICMJE uniform disclosure form (available at https://atm.amegroups.com/article/view/10.21037/atm-24-191/coif). The authors have no conflicts of interest to declare.
Ethical Statement: The authors are accountable for all aspects of the work in ensuring that questions related to the accuracy or integrity of any part of the work are appropriately investigated and resolved. The study was conducted in accordance with the Declaration of Helsinki and its subsequent amendments. The study was approved by the medical ethics committee of Maastricht University Medical Center+ (No. METC 2022-3407). All participants provided written informed consent prior to undergoing any measurements.
Open Access Statement: This is an Open Access article distributed in accordance with the Creative Commons Attribution-NonCommercial-NoDerivs 4.0 International License (CC BY-NC-ND 4.0), which permits the non-commercial replication and distribution of the article with the strict proviso that no changes or edits are made and the original work is properly cited (including links to both the formal publication through the relevant DOI and the license). See: https://creativecommons.org/licenses/by-nc-nd/4.0/.
References
- GBD 2019 Stroke Collaborators. Global, regional, and national burden of stroke and its risk factors, 1990-2019: a systematic analysis for the Global Burden of Disease Study 2019. Lancet Neurol 2021;20:795-820. [Crossref] [PubMed]
- Bonati LH, Kakkos S, Berkefeld J, et al. European Stroke Organisation guideline on endarterectomy and stenting for carotid artery stenosis. Eur Stroke J 2021;6:I-XLVII. [Crossref] [PubMed]
- Lavenson GS Jr, Andersen CA. The quick carotid scan for prevention of strokes due to carotid artery disease. Ann Transl Med 2021;9:1202. [Crossref] [PubMed]
- Lanzino G, Tallarita T, Rabinstein AA. Internal carotid artery stenosis: natural history and management. Semin Neurol 2010;30:518-27. [Crossref] [PubMed]
- Paraskevas KI, Dardik A, Schermerhorn ML, et al. Why selective screening for asymptomatic carotid stenosis is currently appropriate: a special report. Expert Rev Cardiovasc Ther 2024;22:159-65. [Crossref] [PubMed]
- Paraskevas KI, Spence JD, Mikhailidis DP, et al. Why do guidelines recommend screening for abdominal aortic aneurysms, but not for asymptomatic carotid stenosis? A plea for a randomized controlled trial. Int J Cardiol 2023;371:406-12. [Crossref] [PubMed]
- Grenier MC, Gagnon K, Genest J Jr, et al. Clinical comparison of acoustic and electronic stethoscopes and design of a new electronic stethoscope. Am J Cardiol 1998;81:653-6. [Crossref] [PubMed]
- Ratchford EV, Jin Z, Di Tullio MR, et al. Carotid bruit for detection of hemodynamically significant carotid stenosis: the Northern Manhattan Study. Neurol Res 2009;31:748-52. [Crossref] [PubMed]
- Magyar MT, Nam EM, Csiba L, et al. Carotid artery auscultation--anachronism or useful screening procedure? Neurol Res 2002;24:705-8. [Crossref] [PubMed]
- Paraskevas KI, Hamilton G, Mikhailidis DP. Clinical significance of carotid bruits: an innocent finding or a useful warning sign? Neurol Res 2008;30:523-30. [Crossref] [PubMed]
- Knapp A, Cetrullo V, Sillars BA, et al. Carotid artery ultrasonographic assessment in patients from the Fremantle Diabetes Study Phase II with carotid bruits detected by electronic auscultation. Diabetes Technol Ther 2014;16:604-10. [Crossref] [PubMed]
- Knox R, Breslau P, Strandness DE Jr. Quantitative carotid phonoangiography. Stroke 1981;12:798-803. [Crossref] [PubMed]
- Tavel ME, Bates JR. The cervical bruit: sound spectral analysis related to severity of carotid arterial disease. Clin Cardiol 2006;29:462-5. [Crossref] [PubMed]
- Biller J, Thies WH. When to operate in carotid artery disease. Am Fam Physician 2000;61:400-6.
- North American Symptomatic Carotid Endarterectomy Trial Collaborators. Beneficial effect of carotid endarterectomy in symptomatic patients with high-grade carotid stenosis. N Engl J Med 1991;325:445-53. [Crossref] [PubMed]
- Naylor R, Rantner B, Ancetti S, et al. Editor's Choice - European Society for Vascular Surgery (ESVS) 2023 Clinical Practice Guidelines on the Management of Atherosclerotic Carotid and Vertebral Artery Disease. Eur J Vasc Endovasc Surg 2023;65:7-111. [Crossref] [PubMed]
- von Reutern GM, Goertler MW, Bornstein NM, et al. Grading carotid stenosis using ultrasonic methods. Stroke 2012;43:916-21. [Crossref] [PubMed]
- Malik AE, Delhaas T, Mess WH, et al. Comparison of Features in Laser Doppler Vibrometry Spectra That Best Relate to the Degree of Stenosis. 2024 IEEE International Symposium on Medical Measurements and Applications (MeMeA), Eindhoven, Netherlands, 2024:1-6. doi:
10.1109/MeMeA60663.2024.10596759 . - Habibzadeh F, Habibzadeh P, Yadollahie M. On determining the most appropriate test cut-off value: the case of tests with continuous results. Biochem Med (Zagreb) 2016;26:297-307. [Crossref] [PubMed]
- Li DL, Shen F, Yin Y, et al. Weighted Youden index and its two-independent-sample comparison based on weighted sensitivity and specificity. Chin Med J (Engl) 2013;126:1150-4.
- World Health Organization. Billions left behind on the path to universal health coverage 2023 [March 11, 2025]. Available online: https://www.who.int/news/item/18-09-2023-billions-left-behind-on-the-path-to-universal-health-coverage
- World Health Organization, Strengthening medical imaging [March 11, 2025]. Available online: https://www.who.int/activities/strengthening-medical-imaging
- Malik AEF, Barin S, Yüksel ME. Accurate Classification of Heart Sound Signals for Cardiovascular Disease Diagnosis by Wavelet Analysis and Convolutional Neural Network: Preliminary Results. 2020 28th Signal Processing and Communications Applications Conference (SIU), Gaziantep, Turkey, 2020:1-4, doi:
10.1109/SIU49456.2020.9302491 . - Sühn T, Spiller M, Salvi R, et al. Auscultation System for Acquisition of Vascular Sounds - Towards Sound-Based Monitoring of the Carotid Artery. Med Devices (Auckl) 2020;13:349-64. [Crossref] [PubMed]
- Haffey T, Weiss D, Hughes J, et al. Highly accurate auscultative bedside screening tool for significant carotid stenosis. Journal of the American College of Cardiology 2023;81:2247.
- Motomiya M, Karino T. Flow patterns in the human carotid artery bifurcation. Stroke 1984;15:50-6. [Crossref] [PubMed]
- Spencer MP. Ultrasonic Diagnosis of Cerebrovascular Diseases. Dordrecht: Martinus Nijhoff; 1987.
- Sandercock PAG, Kavvadia E. The Carotid Bruit. Practical Neurology 2002;2:221-4.
- Wikstrand J. Methodological considerations of ultrasound measurement of carotid artery intima-media thickness and lumen diameter. Clin Physiol Funct Imaging 2007;27:341-5. [Crossref] [PubMed]


