The prognostic value of chemotherapy or/and radiotherapy in adenoid cystic carcinoma and adenoid basal carcinoma of the uterine cervix
Introduction
Globally, cervical cancer (CC) continues to be a severe threat to human health, being the third most common gynecological cancer after uterine corpus or ovarian cancer in the United States (1). In 2018, CC is now the fourth most common cancer among women, and it was estimated that there were approximately 569,847 new cancer cases and 311,365 deaths worldwide (2). In resource-high areas, where cytology-based screening has been well implemented, incidence and mortality have sharply declined (3). However, implementation of mass screening programs is severely constrained in sub-Saharan Africa and Southeastern Asia. The highest regional incidence and mortality rates are seen in Africa (4,5).
According to the WHO classification of female genital tumors in 2014, patients are diagnosed with CC if the primary tumor is in the cervix, and CC can be divided into 10 histopathological categories, including squamous cell carcinoma, adenocarcinoma, clear cell adenocarcinoma, serous carcinoma, adenosquamous carcinoma, glassy cell carcinoma, adenoid cystic carcinoma (ACC), adenoid basal carcinoma (ABC), small cell carcinoma, and undifferentiated carcinoma (6). Squamous cell carcinoma accounts for approximately 70–75% of uterine CC cases, and the remaining cases are due to adenocarcinoma and other histopathological types (7,8). ACC and ABC are rare tumors of the cervix accounting for less than 1% and are usually found in postmenopausal women older than 60 years of age (9,10). At present, it is considered that ABC and ACC originate from the reserve cells of the cervix and are members of the lineage of cervical basal cell carcinoma (8). Cervical ABC and ACC can easily be confused because they not only have similar diagnostic terminology, but also have similar histological characteristics, and the 2 tumor types can coexist (8,11). It is important to accurately diagnose cervical ABC and ACC because their prognosis is different, as ABC has a better prognosis than ACC (11-13).
ACC is a rare histological category with slowly growing malignancies commonly originating in secretory glands and accounts for a substantial portion of minor salivary, parotid, and submandibular gland malignancies (14,15). Paalman and Counsell first reported this type of tumor with highly characteristic cytoarchitecture as “cylindroma” of the cervix in 1949 (16). The definition of ACC was introduced by McGee et al. in 1965 (17). However, the currently accepted designation of ABC was reported by Baggish and Woodruff in 1966 (18). ABC is distinct from ACC biologically and histologically, and has a better prognosis (19,20). ABC is characterized by slow indolent growth, a high rate of recurrence, and nerve invasion (18). Previous studies of cervical ABC and ACC have mainly been in the form of single case reports and small series (17,21). Xing et al. used the Surveillance, Epidemiology, and End Results (SEER) program to identify the clinicopathological features and survival outcomes of ACC and ABC of the lower female genital tract (22). This study mainly focuses on the discussion of different prognostic factors in each disease, it is considered that the prognosis of ACC and ABC is different only by comparing the survival rate of ACC and ABC through single factor analysis. However, the single factor analysis may have the influence of confounding factors, resulting in the distortion of the results.
Therefore, the first scientific hypothesis of this study is based on SEER database. Multivariate analysis is used to evaluate the differences in prognosis between the two pathological types, and further clarify the differences in biological behavior. However, prognostic factors such as radiotherapy and chemotherapy were not included in the study. At present, BGCS guidelines do not give specific diagnosis and treatment opinions for rare pathological types, which is generally considered that it is not sensitive to radiotherapy and surgical resection is recommended (23). However, some literatures suggest that radiotherapy has survival benefit for patients with surgical residue or positive margin (24), and the value of chemotherapy has not been discussed in ACC and ABC (25,26). Therefore, the second scientific hypothesis of this study is to evaluate the prognostic value of radiotherapy and chemotherapy for ACC and ABC. Thirdly, considering the similarity of cell origin, pathological type and clinical diagnosis and treatment, a prediction model is constructed to predict the prognosis of this kind of population in order to carry out risk stratification. We present the following article in accordance with the TRIPOD reporting checklist (available at https://atm.amegroups.com/article/view/10.21037/atm-22-1584/rc).
Methods
Data source
This study was a retrospective analysis, and all cases were recruited from the SEER database maintained by the National Cancer Institute. The SEER database collects information on cancer incidence and mortality from various locations throughout the US since 1973 (https://seer.cancer.gov/). Patients with cervical ABC and cervical ACC diagnosed between 1975 and 2016 were included in this analysis. Patients’ demographic and clinical data were collected using the SEER*Stat software (version 8.3.8; National Cancer Institute, Bethesda, Maryland, USA). The data are public and do not involve the privacy of patients, so the review and consent of the ethics committee were not required. The study was conducted in accordance with the Declaration of Helsinki (as revised in 2013).
Inclusion criteria and Variables
According to the SEER database coding manual, the specific codes 8098/3 and 8200/3 of the International Classification of Diseases for Oncology 3rd edition (ICD-O-3) were used to confirm the histologically diagnosed cases for ABC and ACC, respectively. The SEER historic staging system was used in this study, which continued to assign cases into local, regional, or distant disease throughout the study period, allowing us to compare cases over the decades. SEER staging was based on the theory of cancer growth. Clinical characteristics abstracted in the study were age (<60, 60–70, 70–80, and >80 years), race (black, white, and others), marital status (married, others, and unmarried/single), primary site (cervix uteri and others), regional nodes (≥24, 0–24, and negative), histology group (ABC, ACC), primary malignant tumor (yes, no), surgery (yes, no), radiation (yes, no), chemotherapy (yes, no), and combination of radiotherapy or chemotherapy, such as none, radiotherapy(RT), chemotherapy(Chemo) and chemoradiotherapy (CRT). Cases were excluded from the study if they had incomplete information on any of these characteristics. Patients who survived less than 1 month were also excluded.
Statistical analysis
The outcome of interest of our study used for comparison was overall survival (OS), measured in months. OS was used as the event because this is the survival metric used by the AJCC and avoids potential bias from attribution of the cause of death. In our study, the clinical and pathological characteristics of the training and validation sets were compared between the live and death groups using Pearson’s chi squared test for categorical variables. We also constructed univariate and multivariate Cox proportional hazards models to identify the prognostic value of patient characteristics and treatment use. All variables with P value <0.05 were included in the final multivariate model and were considered statistically significant. The Kaplan-Meier (KM) technique was used to evaluate OS. Next, we defined the predicted probability of treatment as a propensity score to balance the clinicopathological factors between the patients in the SEER cohort. All independent prognostic factors were recruited into the construction of the nomograms. Based on the variables of importance score, the final variables were included in the prediction model. The nomogram predicted the 5-, 10-, and 15-year survival probability with the observed mortality and survival rates. The model performance for predicting the survival outcomes was evaluated by time-dependent receiver operating characteristic (ROC) curves and the C-index, and the brier score was used to calculate the relevant parameters of 5, 10, and 15 years.
In this study, we performed statistical analyses mainly using R (version 4.0.5, https://www.r-project.org/) and IBM SPSS (version 25).
Results
Patient clinicopathological and therapeutic characteristics
According to the study exclusion and inclusion criteria, a total of 166 patients diagnosed with cervical ABC or ACC during 1975–2016 were identified within the SEER database. In the present study, 81 patients were stratified into the live group, and 85 patients were stratified into the death group. The database included 84 cervical ACC patients and 82 ABC patients. Detailed clinicopathological features were compared between the patients who underwent different combinations of radiotherapy and chemotherapy (Table 1). The ages of the patients ranged from 62–78 years (median, 70 years). The ages of the patients with cervical ACC ranged from 30–90 years (median, 72 years) and the ages of the patients with cervical ABC ranged from 28–89 years (median, 69 years). The age distribution of these 2 tumors was similar, as the peak incidence occurred at 70 and 80 years old, and there was no significant difference. We divided all patients into age groups, namely <60, 60–70, 70–80, and >80 years old, with 31, 43, 61and 31 patients in each group, respectively. As presented in Table 1, 106 (64%) of 166 patients who had cervical ACC or ABC were white. In contrast, 42 (25%) patients were black. Overall, 45 (27%) of 166 patients were married at the time of cervical ACC or ABC diagnosis. A total of 137 (83%) had the primary site in the cervix uteri, while 29 (17%) had the primary site in the endocervix, exocervix, or overlapping lesion of the cervix uteri. A total of 145 (87%) patients had ABC or ACC as the first primary malignancy. A total of 59 (36%) patients had lymph node involvement, 41 (25%) patients had positive lymph nodes (range, 0–24), and 18 (11%) had positive lymph nodes ≥24. A total of 110 (66%) patients underwent surgery (P<0.001), while 35 (21%) patients were treated with radiotherapy (P=0.012). In contrast to the high surgery rate, only 19 (11%) patients were treated with chemotherapy. We divided the patients into the following 4 groups according to the form of combination of chemotherapy or radiotherapy: (I) neither RT nor Chemo (n=120); (II) only RT (n=27); (III) only Chemo =11); and (IV) CRT (n=8) (P=0.018).
Table 1
| Characteristics | Total | Live | Death | P value |
|---|---|---|---|---|
| Total patients | 166 | 81 | 85 | 0.002 |
| Survival months, median [IQR] | 73.50 [32.00–129.50] | 102.00 [39.00–154.00] | 62.00 [30.00–104.00] | 0.045 |
| Histology group, n [%] | <0.001 | |||
| ABC | 84 [51] | 59 [73] | 25 [29] | |
| ACC | 82 [49] | 22 [27] | 60 [71] | |
| Age (years), median [IQR] | 70 [62–78] | 66 [58–73] | 73 [68–80] | <0.001 |
| Age category (years), n [%] | 0.002 | |||
| <60 | 31 [19] | 23 [28] | 8 [9] | |
| >80 | 31 [19] | 9 [11] | 22 [26] | |
| 60–70 | 43 [26] | 24 [30] | 19 [22] | |
| 70–80 | 61 [37] | 25 [31] | 36 [42] | |
| Race, n [%] | 0.017 | |||
| Black | 42 [25] | 14 [17] | 28 [33] | |
| Others | 18 [11] | 13 [16] | 5 [6] | |
| White | 106 [64] | 54 [67] | 52 [61] | |
| Marital status, n [%] | <0.001 | |||
| Married | 45 [27] | 31 [38] | 14 [16] | |
| Others | 92 [55] | 31 [38] | 61 [72] | |
| Unmarried/single | 29 [17] | 19 [23] | 10 [12] | |
| Primary site, n [%] | 0.886 | |||
| Cervix uteri | 137 [83] | 66 [81] | 71 [84] | |
| Others | 29 [17] | 15 [19] | 14 [16] | |
| Is primary, n [%] | 0.906 | |||
| No | 21 [13] | 11 [14] | 10 [12] | |
| Yes | 145 [87] | 70 [86] | 75 [88] | |
| Regional nodes, n [%] | 0.087 | |||
| ≥24 | 18 [11] | 7 [9] | 11 [13] | |
| 0–24 | 41 [25] | 26 [32] | 15 [18] | |
| Negative | 107 [64] | 48 [59] | 59 [69] | |
| Surgery, n [%] | <0.001 | |||
| No | 56 [34] | 11 [14] | 45 [53] | |
| Yes | 110 [66] | 70 [86] | 40 [47] | |
| Radiation, n [%] | 0.012 | |||
| No | 131 [79] | 71 [88] | 60 [71] | |
| Yes | 35 [21] | 10 [12] | 25 [29] | |
| Chemotherapy, n [%] | 1 | |||
| No | 147 [89] | 72 [89] | 75 [88] | |
| Yes | 19 [11] | 9 [11] | 10 [12] | |
| CRT, n [%] | 0.018 | |||
| None | 120 [72] | 66 [81] | 54 [64] | |
| RT | 27 [16] | 6 [7] | 21 [25] | |
| Chemo | 11 [7] | 5 [6] | 6 [7] | |
| CRT | 8 [5] | 4 [5] | 4 [5] | |
ABC, adenoid basal carcinoma; ACC, adenoid cystic carcinoma; IQR, interquartile range; RT, radiotherapy; Chemo, chemotherapy; CRT, chemoradiotherapy.
Survival analysis
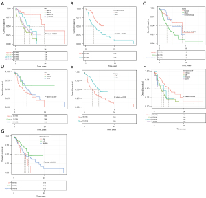
OS was regarded as the main study endpoint. Log-rank testing was used to evaluate survival differences. The factors significantly associated with KM curve analysis were age, histological type, marital status, race, surgery, Chemo or/and RT, and regional nodes (all P<0.05, Figure 1A-1G). Grouped by age, the <60 years old subgroup had a significant survival benefit compared with other patients, while the patients who were >80 years old had the worst prognosis (P<0.001, Figure 1A). The KM plots showed that ABC patients had better OS than ACC patients (P=0.001, Figure 1B). The 10-year survival rate of ACC patients was 36.94%, while the rate of ABC patients was 60.81%. In addition, unmarried/single and black patients tended to have worse OS (P<0.05, Figure 1C,1D). The KM plots showed that patients who underwent surgery had better OS (P=0.005, Figure 1E). The median survival time of patients who received surgery was 11.67 years, while the median survival time of other patients without surgery was 6.67 years. According to the form of combination of radiotherapy and chemotherapy, the patients in the group with neither RT nor Chemo had the best OS, while the patients who were in the group of only RT had the worst OS. Notably, compared with the CRT patients, Chemo alone had a better prognosis (P=0.002, Figure 1F). The median survival time of patients in the group with neither radiotherapy nor chemotherapy was 11.67 years, while the median survival time of patients with radiotherapy alone was 5.83 years. Meanwhile, patients with regional nodes 0–24 had a better OS than others (Figure 1G).
Prognostic factors for OS
Several of the clinicopathological features mentioned earlier were considered possible predictors. The Cox hazard ratio model was used to further investigate prognostic factors for ACC and ABC patients. Each variable satisfied the Ph test (Figure S1). For univariate analysis, age >80 years (HR =7.923, 95% CI: 2.719–23.093, P<0.001), age 60–70 years (HR =4.305, 95% CI: 1.45–12.785, P=0.009), age 70–80 years (HR =5.902, 95% CI: 2.082–16.73, P<0.001), unmarried/single (HR =1.081, 95% CI: 0.479–2.44, P=0.852), marital status: others (divorce, widowhood, separation or cohabiting partner) people (HR =2.457, 95% CI: 1.371–4.402, P=0.003), only RT (HR =2.056, 95% CI: 1.232–3.429, P=0.006), only Chemo (HR =1.773, 95% CI: 0.759–4.146, P=0.186), and CRT (HR =1.898, 95% CI: 0.684–5.272, P=0.219) were found to be associated with higher risk. Besides, patients who underwent surgery showed a lower risk of mortality than those who did not (HR =0.535, 95% CI: 0.344–0.832, P=0.006). ABC patients showed better OS than ACC patients (HR =2.17, 95% CI: 1.349–3.492, P=0.001) (Figure 2). Subsequently, multivariate Cox regression analysis was applied to further determine the impact of prior cancer history on patients’ survival. After adjustment for age >80 years (HR =5.945, 95% CI: 1.912–18.485, P=0.002), age 70–80 years (HR =4.803, 95% CI: 1.626–14.188, P=0.005) was marginally associated with inferior OS. In terms of the impact of radiotherapy or chemotherapy on prognosis that we are concerned about, only RT (HR =1.522, 95% CI: 0.875–2.647, P=0.137), only Chemo (HR =1.684, 95% CI: 0.677–4.19, P=0.262), and CRT (HR =2.453, 95% CI: 0.789–7.621, P=0.121) had no significant effect on OS. However, combination treatment had an unfavorable tendency to prognosis (Figure 2).
Subgroup analysis
To further determine the effects of Chemo/RT/CRT vs. none on various subgroups, we also performed a subgroup analysis. As shown in Figure 3A, Chemo/RT/CRT in age 60–70 years (HR =3.19, 95% CI: 1.157–8.791, P=0.025), age 70–80 years (HR =2.451, 95% CI: 1.249–4.81, P=0.009), marital status other (HR =2.168, 95% CI: 1.262–3.725, P=0.005), primary tumor (HR =2.299, 95% CI: 1.429–3.697, P=0.001), surgery (HR =2.496, 95% CI: 1.275–4.887, P=0.008), ABC histology group (HR =3.694, 95% CI: 1.587–8.599, P=0.002), and regional nodes 0–24 (HR =3.276, 95% CI: 1.138–9.435, P=0.028) were found to be associated with a higher risk of mortality. These variables were further studied by multivariate analysis (Figure 3B). Overall, patients in surgery, primary tumor: others and ABC subgroup received Chemo/RT/CRT with a poor prognosis. There were no meaningful interactions between the above 3 subgroups given the non-significant p values for interaction (Figure 3A,3B).
Nomograms
The main endpoint was OS. We further used the machine learning method of random survival forest to screen variables. Based on the importance score of the variable, the final 4 variables (age, marital status, pathological type, and whether or not combination of radiotherapy and/or chemotherapy was performed) were included in the prediction model (Figure S2). Based on the multivariate Cox models, the prognostic nomogram was constructed, which could predict the 5-, 10-, and 15-year OS probability of patients with ABC and ACC (Figure 4A). In the nomogram panels, the first row is the point assigned for each variable. The sum of the points for each variable equals the total points. A vertical line drawn from this point can obtain the 5-, 10-, and 15-year probability of survival. In terms of model diagnosis, the sensitivity and specificity of predicting the prognosis of ABC and ACC were identified by time-dependent ROC curves. Figure 4B illustrates the 5-, 10-, and 15-year values of the area under the curve (AUC) regarding the nomogram for OS. The C-index of the predictive models indicated a good ability to predict outcome. The calibration plots showed good agreement of the prediction and observation in survival (Figure 4C).
Analysis for radiotherapy or chemotherapy patients
In general, there were too few patients in the Chemo/RT/CRT groups to conduct further analyses. To further evaluate and test the survival assessment model, we performed KM survival analysis according to whether the patient underwent Chemo/RT in enrolled patients. We found that there was no statistically significant difference between patients who received Chemo and those who did not (Figure 5A, P=0.187). Survival analysis was also performed in 131 patients (no radiation) and 35 patients who received radiation. The OS for patients without radiation was better than for those who received radiation (Figure 5B, P=0.005). Figure 6 shows the univariate and multivariate analyses of potential predictors for OS. Each variable satisfied the Ph test (Figure S3). Age >80 years, age 60–70 years, age 70–80 years, marital status at diagnosis (marital: others), surgery, radiation, and histological group were significantly associated as risk factors for OS in the univariate analysis. Therefore, these significant risk factors were included in the multivariate analysis. Multivariate analysis identified that only race, age >80 years, and age 70–80 years were independently able to predict survival (Figure 6). Based on the multivariate Cox models, 4 variables (age, marital status, radiation, and histological group) were finally included in the prediction model (Figure S4), and the prognostic nomogram was constructed, which could predict the 5-, 10-, and 15-year OS probability of patients with ABC and ACC (Figure 7A). In terms of model diagnosis, the sensitivity and specificity of predicting the prognosis of ABC and ACC were identified by time-dependent ROC curves. The AUC values of the nomogram in predicting OS are displayed in Figure 7B. In addition, the calibration curves demonstrated that the nomograms had a high degree of reliability owing to the minor deviations from the reference line (Figure 7C).
Discussion
CC is one of the most common gynecological malignancies (2). Human papillomavirus (HPV) infection, the most common sexually transmitted infection, is a well-established cause of CC (3). Despite effective diagnosis by cytological screening and HPV vaccine prevention, the incidence and mortality rates of CC in developing countries have increased annually since 2000 (27,28). In China, screening for CC has been available since 2009, and the HPV vaccine was only approved in 2016. In addition, the coverage rate of screening in China is only 21.4% (27,29). Now, China is aiming to establish optimal screening programs and introduce the vaccine into the national immunization program. ACC and ABC are rare tumors of the cervix, and can easily be confused (14). Knowledge of clinical outcomes in ACC and ABC consists almost entirely of case series from a limited number of case reports and small case series, and all the data are from retrospective single institution series. Based on these previous reports, ACC and ABC of the uterine cervix is rare and constitutes less than 1% of all CC (14,18,19). Based on the SEER database, only 82 cervical ACC and 84 ABC cases were included in this study.
Regardless of anatomical pathological features, the most common treatment modalities for cervical ACC and ABC are surgical resection, radiotherapy, or chemotherapy, either alone or in a combined setting, which follows the well-established protocols of CC treatment (30). Currently, curative intent surgical resection remains the cornerstone in the treatment of patients with cervical ACC and ABC (31). In a previous article, Xing et al. (22) reported the clinicopathological features and prognostic factors of ACC and ABC in the lower female genital tract, but the factors of radiotherapy and/or chemotherapy were not included. Our results generally agree with previous study (22), as in our nomograms OS was affected by age, marital status, pathological type, and whether or not a combination of radiotherapy and/or chemotherapy was performed.
Ferry et al. reported a distinct age distribution among patients with ACC and ABC, and most cases occurred in Western countries (19). Early reports indicated that the median age of postmenopausal black women with cervical ACC and ABC was mainly between the 60s and 70s (range, 50–86 years) (12,17,18,21). Consistent with previous findings, the data of our study demonstrated that the median age of cervical ACC and ABC patients was 70 years (range, 62–78 years). Recently, Chen et al. (21) and Teramoto et al. (32) reported that ACC can occur in Asian women, with an incidence of less than 0.2%. Comparatively, only 1 ACC patient was found in Chen et al.’s article, and no ACC case was identified among 2,600 cases of cervical neoplasms in Teramoto et al.’s article (21,32). These findings indicate that ACC of the uterine cervix is rare in Asian populations.
Our results indicate that the proportion of white patients (64%) with cervical ACC and ABC was higher than black patients (25%). However, initially, ABC was reported to mainly occur in postmenopausal black women, our result is inconsistent with that reported in other previous studies (19). First, the incidence rates of CC vary considerably between races, with the highest rates in Africa and Asia and the lowest rates in the United States and Northern Europe. A high HPV infection rate is associated with an increased risk of cervical ACC and ABC. In addition, the occurrence of cervical ACC and ABC is 1.4 times higher in the black population as compared to the Caucasian population (33,34). Widowed, divorced, or separated patients had a higher proportion of cervical ACC and ABC than single adults who were never married (35). While the causes and consequences of socioeconomic status, racial/ethnic differences, and educational attainment can affect the disease, this knowledge remains to be elucidated.
Generally, the age and marital status of patients in this study were consistent with previous reports (22), and these factors are largely associated with tumor histology. Pathological type is an independent adverse prognostic factor. In our study, cervical ABC had a better OS than cervical ACC, which is confirmed by previous research (4,7,9). Cervical ABC should be distinguished from ACC as the latter carries recurrence and metastatic potential (32,36). Currently, the classifications of ABC and ACC are based primarily on differences in morphology. Morphologically, ABC is composed of multiple small discrete epithelial nests containing uniform basaloid cells that penetrate into the cervical stroma without eliciting a stromal response (17). Notably, patients with ABC have an excellent prognosis and life expectancy, whereas prognosis and survival are less favorable in ACC (36,37). Although the 2 tumors originate from pluripotent reserve cells, they have different biological behaviors. ABC seldom has local recurrence or metastasis and has a good prognosis, while ACC is a high-grade tumor with a poor prognosis, and has higher frequencies of local invasion, recurrence, and metastasis. Therefore, it is important to make an accurate differential diagnosis of these 2 tumors on cervicovaginal smear.
Currently, complete surgical resection remains the cornerstone treatment for patients with ACC and ABC, but adjuvant treatment following radical resection is still controversial (38,39). In our research, we found that 110 (66%) patients with cervical ABC or ACC underwent surgery, and surgical treatment could significantly improve the OS of patients. Meanwhile, 34% of patients did not receive surgery due to inoperable disease, especially the elderly, who are also often afflicted by other cancers, diabetes, heart attack, and inflammatory disorders. The outcome of patients is associated with the resection method and margin condition (22,40). However, the SEER database does not present this information, which limited the analysis in our study.
Furthermore, as treatment options, RT and Chemo can improve the prognosis of many cancers. RT is a medical therapy which involves exposure to a radioactive substance. It is not only used as an alternative option to surgery, but also as an adjuvant therapy with or without with Chemo after surgery to improve patient outcomes (20,41). However, in this study, for ABC patients who underwent surgery, RT and/or Chemo was not a good choice. In our results, 27 patients received only RT, 11 patients received only Chemo, and 8 patients received CRT. In our analysis, the prognosis of patients without RT or Chemo was better than the Chemo group, CRT group, and RT group. RT or Chemo had no significant effect on OS. However, combination treatment had an unfavorable tendency to the prognosis. Thus, we supposed that the poor prognosis may be due to too few incident patients to allow meaningful analysis for each treatment method.
Our study has some practical advantages. Firstly, the SEER database includes a huge population, and we focused on the significance of radiotherapy and chemotherapy. Secondly, our analysis included many characteristics, such as demographic characteristics and treatment strategies. Therefore, our nomograms have good generalizability and do not need to be limited by race and marital status. In this way, our nomograms had good predictive performance and accuracy. Additionally, our nomograms were tested by ROC analysis and the C-index to predict the survival of patients. Our study also has limitations. Firstly, in this comprehensive analysis of the clinical features and prognostic factors of cervical ABC and ACC patients, some important information associated with patient prognosis were missing in the SEER database, such as resection mode, chemotherapy regimen or cycle, and dose of radiotherapy. Secondly, this study has all the limitations inherent to retrospective studies. Thirdly, there were too few incident patients to allow meaningful analysis of each treatment method, and all the cases in this study lacked central pathological and radiographic review. Finally, due to the limitations of the SEER database, data on surgical margin status and chemoradiotherapy strategies were incomplete. To ensure missing data did not affect results, subgroup analyses were performed based on the dataset separating the missing values. As technological advances continue to improve prognosis, more important variables for this nomogram would also need to be collected. Notably, nomograms are a kind of reference information and do not provide an absolutely accurate prognosis. More rigorous nomograms need to need to be developed.
In conclusion, our study provides statistically significant evidence for the clinicopathological features and predictors of patients with cervical ABC or ACC based on the SEER database. The nomogram provides a reliable and practical tool for assessing the OS of patients. In the future, prospective randomized clinical trials are needed to confirm the observations described in the present study, and improve the management of patients with cervical ABC or ACC.
Acknowledgments
Funding: This work was supported by the Shandong Medical and Health Science and Technology Development Plan (No. 2017WS278) and Natural Science Foundation of Shandong Province (No. ZR2021QH356).
Footnote
Reporting Checklist: The authors have completed the TRIPOD reporting checklist. Available at https://atm.amegroups.com/article/view/10.21037/atm-22-1584/rc
Conflicts of Interest: All authors have completed the ICMJE uniform disclosure form (available at https://atm.amegroups.com/article/view/10.21037/atm-22-1584/coif). The authors have no conflicts of interest to declare.
Ethical Statement: The authors are accountable for all aspects of the work in ensuring that questions related to the accuracy or integrity of any part of the work are appropriately investigated and resolved. The study was conducted in accordance with the Declaration of Helsinki (as revised in 2013).
Open Access Statement: This is an Open Access article distributed in accordance with the Creative Commons Attribution-NonCommercial-NoDerivs 4.0 International License (CC BY-NC-ND 4.0), which permits the non-commercial replication and distribution of the article with the strict proviso that no changes or edits are made and the original work is properly cited (including links to both the formal publication through the relevant DOI and the license). See: https://creativecommons.org/licenses/by-nc-nd/4.0/.
References
- Torre LA, Bray F, Siegel RL, et al. Global cancer statistics, 2012. CA Cancer J Clin 2015;65:87-108. [Crossref] [PubMed]
- Siegel RL, Miller KD, Fuchs HE, et al. Cancer Statistics, 2021. CA Cancer J Clin 2021;71:7-33. [Crossref] [PubMed]
- Brisson M, Kim JJ, Canfell K, et al. Impact of HPV vaccination and cervical screening on cervical cancer elimination: a comparative modelling analysis in 78 low-income and lower-middle-income countries. Lancet 2020;395:575-90. [Crossref] [PubMed]
- Clarke MA, Fetterman B, Cheung LC, et al. Epidemiologic Evidence That Excess Body Weight Increases Risk of Cervical Cancer by Decreased Detection of Precancer. J Clin Oncol 2018;36:1184-91. [Crossref] [PubMed]
- Ginsburg O, Bray F, Coleman MP, et al. The global burden of women's cancers: a grand challenge in global health. Lancet 2017;389:847-60. [Crossref] [PubMed]
- Lu Z, Chen J. Introduction of WHO classification of tumours of female reproductive organs, fourth edition. Zhonghua Bing Li Xue Za Zhi 2014;43:649-50.
- Ma D, Cheng Y, Zhang Y, et al. Expression of CDC42 in cervical squamous cell carcinoma and its correlation with clinicopathologic characteristics. Chin J Cancer Res 2013;25:656-61. [PubMed]
- Wu SY, Huang EY, Lin H. Optimal treatments for cervical adenocarcinoma. Am J Cancer Res 2019;9:1224-34. [PubMed]
- Kerdraon O, Cornélius A, Farine MO, et al. Adenoid basal hyperplasia of the uterine cervix: a lesion of reserve cell type, distinct from adenoid basal carcinoma. Hum Pathol 2012;43:2255-65. [Crossref] [PubMed]
- Kim HG, Song YJ, Na YJ, et al. A case of adenoid Basal carcinoma of the uterine cervix. J Menopausal Med 2013;19:154-7. [Crossref] [PubMed]
- Wang LQ, Wang Y, Jin W, et al. Comparison of the clinicopathological features between adenoid basal cell carcinoma and adenoid cystic carcinoma of the cervix. Zhonghua Bing Li Xue Za Zhi 2020;49:800-5. [PubMed]
- Liang Y, Lü B, Zhou C. Cervical Adenoid Basal Carcinoma: Clinicopathologic Features of 9 Cases With Reference to CK17 and Ki-67 Expression. J Low Genit Tract Dis 2019;23:77-81. [Crossref] [PubMed]
- Russell MJ, Fadare O. Adenoid basal lesions of the uterine cervix: evolving terminology and clinicopathological concepts. Diagn Pathol 2006;1:18. [Crossref] [PubMed]
- Bradley PJ. Adenoid cystic carcinoma evaluation and management: progress with optimism! Curr Opin Otolaryngol Head Neck Surg 2017;25:147-53. [Crossref] [PubMed]
- Jaso J, Malhotra R. Adenoid cystic carcinoma. Arch Pathol Lab Med 2011;135:511-5. [Crossref] [PubMed]
- Paalman RJ, Counseller VS. Clyindroma of the cervix with procidentia. Am J Obstet Gynecol 1949;58:184-7. [Crossref] [PubMed]
- McGee JA, Flowers CE, Tatum BS. Adenoid cystic carcinoma of the cervix: report of a case. Obstet Gynecol 1965;26:356-8. [PubMed]
- Baggish MS, Woodruff JD. Adenoid-basal carcinoma of the cervix. Obstet Gynecol 1966;28:213-8. [PubMed]
- Ferry JA, Scully RE. "Adenoid cystic" carcinoma and adenoid basal carcinoma of the uterine cervix. A study of 28 cases. Am J Surg Pathol 1988;12:134-44. [Crossref] [PubMed]
- Young RH, Scully RE. Invasive adenocarcinoma and related tumors of the uterine cervix. Semin Diagn Pathol 1990;7:205-27. [PubMed]
- Chen TD, Chuang HC, Lee LY. Adenoid basal carcinoma of the uterine cervix: clinicopathologic features of 12 cases with reference to CD117 expression. Int J Gynecol Pathol 2012;31:25-32. [Crossref] [PubMed]
- Xing D, Lu J. Distinctive clinicopathological features and disease-specific survival of adenoid cystic carcinoma and adenoid basal carcinoma in the lower female genital tract. Oncol Rep 2019;41:1769-78. [PubMed]
- Reed N, Balega J, Barwick T, et al. British Gynaecological Cancer Society (BGCS) cervical cancer guidelines: Recommendations for practice. Eur J Obstet Gynecol Reprod Biol 2021;256:433-65. [Crossref] [PubMed]
- Silverman DA, Carlson TP, Khuntia D, et al. Role for postoperative radiation therapy in adenoid cystic carcinoma of the head and neck. Laryngoscope 2004;114:1194-9. [Crossref] [PubMed]
- Coca-Pelaz A, Rodrigo JP, Bradley PJ, et al. Adenoid cystic carcinoma of the head and neck--An update. Oral Oncol 2015;51:652-61. [Crossref] [PubMed]
- Iseli TA, Karnell LH, Graham SM, et al. Role of radiotherapy in adenoid cystic carcinoma of the head and neck. J Laryngol Otol 2009;123:1137-44. [Crossref] [PubMed]
- Hu Z, Ma D. The precision prevention and therapy of HPV-related cervical cancer: new concepts and clinical implications. Cancer Med 2018;7:5217-36. [Crossref] [PubMed]
- Wang R, Pan W, Jin L, et al. Human papillomavirus vaccine against cervical cancer: Opportunity and challenge. Cancer Lett 2020;471:88-102. [Crossref] [PubMed]
- Yuan Y, Cai X, Shen F, et al. HPV post-infection microenvironment and cervical cancer. Cancer Lett 2021;497:243-54. [Crossref] [PubMed]
- Prempree T, Villasanta U, Tang CK. Management of adenoid cystic carcinoma of the uterine cervix (cylindroma): report of six cases and reappraisal of all cases reported in the medical literature. Cancer 1980;46:1631-5. [Crossref] [PubMed]
- Daponte A, Grayson W, Moisuc D, et al. Adenoid cystic carcinoma stage Ib1 treated with radical surgery displaying human papilloma virus 33 (HPV 33): immunoelectron microscopy and review. Gynecol Oncol 2003;90:673-6. [Crossref] [PubMed]
- Teramoto N, Nishimura R, Saeki T, et al. Adenoid basal carcinoma of the uterine cervix: report of two cases with reference to adenosquamous carcinoma. Pathol Int 2005;55:445-52. [Crossref] [PubMed]
- King LA, Talledo OE, Gallup DG, et al. Adenoid cystic carcinoma of the cervix in women under age 40. Gynecol Oncol 1989;32:26-30. [Crossref] [PubMed]
- Nomura H, Nagashima M, Aoki Y, et al. Resection of the inferior pubic ramus to completely remove locally advance adenoid cystic carcinoma of Bartholin's gland. Gynecol Oncol 2017;147:723-4. [Crossref] [PubMed]
- Goyal A, Wang Z, Przybycin CG, et al. Application of p16 Immunohistochemistry and RNA In Situ Hybridization in the Classification of Adenoid Basal Tumors of the Cervix. Int J Gynecol Pathol 2016;35:82-91. [Crossref] [PubMed]
- Takeshima Y, Amatya VJ, Nakayori F, et al. Co-existent carcinosarcoma and adenoid basal carcinoma of the uterine cervix and correlation with human papillomavirus infection. Int J Gynecol Pathol 2002;21:186-90. [Crossref] [PubMed]
- Shrestha AD, Neupane D, Vedsted P, et al. Cervical Cancer Prevalence, Incidence and Mortality in Low and Middle Income Countries: A Systematic Review Asian Pac J Cancer Prev 2018;19:319-24. [PubMed]
- Bjørndal K, Krogdahl A, Therkildsen MH, et al. Salivary adenoid cystic carcinoma in Denmark 1990-2005: Outcome and independent prognostic factors including the benefit of radiotherapy. Results of the Danish Head and Neck Cancer Group (DAHANCA). Oral Oncol 2015;51:1138-42. [Crossref] [PubMed]
- Phillips GL Jr, Frye LP. Adenoid cystic carcinoma of the cervix: a case report with implications for chemotherapeutic treatment. Gynecol Oncol 1985;22:260-2. [Crossref] [PubMed]
- Mousa A, Rahimi K, Warkus T. Neoadjuvant chemoradiotherapy followed by radical vulvectomy for adenoid cystic carcinoma of Bartholin's gland: a case report and review of the literature. Eur J Gynaecol Oncol 2016;37:113-6. [PubMed]
- Yannacou N, Gerolymatos A, Parissi-Mathiou P, et al. Carcinosarcoma of the uterine cervix composed of an adenoid cystic carcinoma and an homologous stromal sarcoma. A case report. Eur J Gynaecol Oncol 2000;21:292-4. [PubMed]
(English Language Editor: C. Betlazar-Maseh)

