Long-term effects of total vs. partial pancreatectomy among patients with pancreatic cancer: a population-based study
Introduction
In the USA, pancreatic cancer (PC) ranks 10th in men and 9th in women among all new malignancies, and ranks 4th in malignancy-related mortality (1). As the sole potentially curative therapy, surgical resection is recommended for resectable tumors (2). Partial pancreatectomy (PP), including pancreaticoduodenectomy and distal pancreatectomy, is currently the primary surgical procedure depending on the tumor location. Pancreaticoduodenectomy is the surgery option for tumors of the head and neck, while distal pancreatectomy is applied to tumors of the body and tail (3). In clinical practice, total pancreatectomy (TP) has also been performed to avoid pancreatic fistula after PP depending on the pancreatic texture and risk profile and achieving negative margins to improve survival (4,5). Several indications for this procedure are as follows: large or locally advanced tumors requiring radical resection, multifocal or infiltrating tumors, and PP is technically impractical (6,7). However, the role of TP for PC is still controversial. Several previous studies showed similar overall survival (OS) of PC patients after PP and TP (5,8,9), and other reports presented encouraging results for TP (10,11). Variations in surgical proficiency and perioperative care techniques among surgeons at each center may contribute to this controversial effect. Furthermore, most of the published data on the effect of TP on PC are from single-center retrospective studies with small samples and generally focused on pancreatic head cancer including all T stages (12-14). Therefore, it is necessary to use large-scale, multicenter data to analyze the role of TP for PC of different stages and locations.
The American Joint Committee on Cancer (AJCC) published the 8th edition of TNM staging of PC, which has been use from January 2018 (15). In this edition for T-staging, a tumor size of 4 cm is applied as the cutoff for T2 and T3, which has been reported to be highly prognostic (16). To date, studies of TP for PC have failed to stratify patients according to the new T-stage combined with tumor location. Therefore, the influence of TP on survival of patients with PC at disparate locations and T-stages remains unclear.
Because PC is relatively rare, the Surveillance, Epidemiology, and End Results (SEER) database is a unique resource that overcomes the challenges of single- or multicenter analyses. We conducted a comparison of OS and cancer-specific survival (CSS) after TP vs. PP in patients with PC at disparate locations and T-stages using a large sample from SEER. We present the following article in accordance with the STROBE reporting checklist (available at https://atm.amegroups.com/article/view/10.21037/atm-22-2217/rc).
Methods
Ethics approval
We retrieved all patient information used in our study from the SEER database, so the institutional review board approval could be waived. The study was conducted in accordance with the Declaration of Helsinki (as revised in 2013).
Patients and study design
The SEER database compiles data on cancer incidence, prevalence and survival of approximately 34.6% of the American population (17). We identified PC patients from 2000 to 2016 using the dedicated software (SEER*Stat 8.3.9). Patients who met our inclusion criteria were entered into the study: (I) >18 years of age; (II) pathologically confirmed diagnosis of PC, including ductal adenocarcinoma, acinal cell carcinoma, pancreatoblastoma, and solid pseudopapillary neoplasm of pancreases; (III) no evidence of distant metastasis; (IV) potentially curable primary tumor (T1–3); (V) history of partial or TP. Exclusion criteria were: (I) incomplete information in key medical record; (II) tumor located in pancreatic ducts, islets of Langerhans, or unknown location.
We also collected the following patient-related data: age, race, sex, year of diagnosis, tumor location, pathologic grade, number and mode of regional lymph node resection, tumor size, surgical type, other tumor history, insurance status, marital status, survival status and SEER cause-specific death classification. Patients were divided into TP and PP groups based on the method of pancreatic resection.
The vital status and follow-up information for all patients are updated regularly in each SEER registry. Survival time was calculated based on the time of surgery and the time of death or last follow-up visit. OS and CSS were the primary endpoints of interest in this study. We defined OS as the time between surgery and death from any cause or the last follow-up, and CSS as the time between surgery and death from PC or the last follow-up.
Patients were stratified by tumor location or tumor size. First, we stratified patients into a head and neck subgroup, body and tail subgroup, and overlapping subgroup based on tumor location. Next, patients were subclassified into T1 (≤2 cm), T2 (≤4 cm) and T3 (>4 cm) subgroups according to tumor size. Finally, we stratified the patients based on tumor location combined with T-stage, resulting in 9 subgroups: head and neck-T1, head and neck-T2, head and neck-T3, body and tail-T1, body and tail-T2, body and tail-T3, overlapping-T1, overlapping-T2 and overlapping-T3.
Statistical analysis
Comparison of continuous variables was performed with Mann-Whitney U-test or Student’s t-test. Comparison of categorical variables was conducted with Fisher’s exact test or Chi-square test, and comparison of ordinal variables was performed with the Kruskal-Wallis test. P≥0.05 were considered comparable when the variables were compared between the two groups. Kaplan-Meier method was used to plot survival curves and the log-rank test was used to compare them. Continuous data were converted into categorical data by optimal cut points selected according to the judgments of clinical experts or clinical reference values. The survival hazard was calculated by a full Cox proportional hazard regression model, which included clinical factors and surgical treatment methods and adopted a forward stepwise procedure. Variables with P values less than 0.05 in the full Cox regression analysis were independent predictors of survival. All statistical analyses in this study were performed with R software (https://www.r-project.org/;version 4.0.4). P<0.05 was considered to be statistically significant for all statistical tests and two-sided tests were used to calculate P values.
Results
All patients
The baseline features of all patients in this study are shown in Table 1. In total, we extracted the data for 14,456 PC patients with potentially curable primary tumors (T1–3) from the SEER database, which were allocated to a PP (n=12,006) and TP (n=2,450) group. For the PP and TP groups, the median follow-up was 70 and 67 months respectively. Compared with pancreatic body and tail cancer, surgeons seemed to be more willing to try TP for pancreatic head and neck cancer. No significant difference was shown in race, sex, age, number and mode of regional lymph node resection, tumor size and tumor pathology grade between groups.
Table 1
| Variables | PP (n=12,006) | TP (n=2,450) | P value |
|---|---|---|---|
| Race, n (%) | 0.905 | ||
| White | 9,917 (82.6) | 2,027 (82.7) | |
| Black | 1,164 (9.7) | 231 (9.4) | |
| Other | 925 (7.7) | 192 (7.8) | |
| Sex, n (%) | 0.107 | ||
| Female | 6,007 (50) | 1,182 (48.2) | |
| Male | 5,999 (50) | 1,268 (51.8) | |
| Year of diagnosis, n (%) | 0.278 | ||
| 2002–2007 | 3,197 (26.6) | 683 (27.9) | |
| 2008–2011 | 4,205 (35) | 866 (35.3) | |
| 2012–2015 | 4,604 (38.3) | 901 (36.8) | |
| Location of PC, n (%) | <0.001 | ||
| Head and neck | 8,848 (73.7) | 1,944 (79.3) | |
| Body and tail | 2,285 (19) | 251 (10.2) | |
| Overlapping | 520 (4.3) | 118 (4.8) | |
| Not specified | 353 (2.9) | 137 (5.6) | |
| Pathologic grade, n (%) | 0.197 | ||
| I | 1,401 (11.7) | 285 (11.6) | |
| II | 6,136 (51.1) | 1,212 (49.5) | |
| III | 4,263 (35.5) | 919 (37.5) | |
| IV | 206 (1.7) | 34 (1.4) | |
| LN resection, n (%) | 0.068 | ||
| 0 | 256 (2.1) | 45 (1.8) | |
| 1–3 | 762 (6.3) | 134 (5.5) | |
| >4 | 10,832 (90.2) | 2,227 (90.9) | |
| Biopsy | 56 (0.5) | 20 (0.8) | |
| Unknown | 100 (0.8) | 24 (1.0) | |
| Tumor size (cm), n (%) | 0.665 | ||
| ≤2 | 2,064 (17.2) | 403 (16.4) | |
| ≤4 | 6,855 (57.1) | 1,408 (57.5) | |
| >4 | 3,087 (25.7) | 639 (26.1) | |
| Other tumor history, n (%) | 0.015 | ||
| No | 9,098 (75.8) | 1,913 (78.1) | |
| Yes | 2,908 (24.2) | 537 (21.9) | |
| Age (years), n (%) | 0.461 | ||
| ≤60 | 3,352 (27.9) | 702 (28.7) | |
| >60 | 8,654 (72.1) | 1,748 (71.3) | |
| Age (years), median [IQR] | 67 [59, 74] | 67 [59, 74] | 0.617 |
| Insurance, n (%) | <0.001 | ||
| Uninsured | 196 (1.6) | 51 (2.1) | |
| Insured | 8,561 (71.3) | 1,718 (70.1) | |
| Medicaid | 874 (7.3) | 134 (5.5) | |
| Unknown | 2,375 (19.8) | 547 (22.3) | |
| Marital status, n (%) | 0.614 | ||
| Unmarried | 1,326 (11.0) | 285 (11.6) | |
| Married | 7,528 (62.7) | 1,538 (62.8) | |
| Other# | 3,152 (26.3) | 627 (25.6) |
#, divorced, separated, widowed and unknown. PP, partial pancreatectomy; TP, total pancreatectomy; PC, pancreatic cancer; LN, lymph node; IQR, interquartile range.
The results of survival analyses revealed that both the OS and CSS of the TP group were significantly worse than those of the PP group (median survival: 19 vs. 20 months, P=0.0058; median CSS: 24 vs. 26 months, P=0.00098, respectively) (Figure 1A,1B). In order to further investigate the association between TP and poorer survival, Cox proportional hazards regression was performed to control for potential confounders. Analyses showed that TP was still the independent risk factor for OS and CSS after adjusting all other variables [OS: hazard ratio (HR), 1.061; 95% confidence interval (CI), 1.010 to 1.114; P=0.020; CSS: HR, 1.063; 95% CI, 1.004 to 1.126; P=0.036] (Table 2).
Table 2
| Variables | OS | CSS | |||
|---|---|---|---|---|---|
| HR (95% CI) | P value | HR (95% CI) | P value | ||
| Race | |||||
| White | Reference | Reference | |||
| Black | 1.076 (1.009–1.147) | 0.025 | 1.033 (0.959–1.112) | 0.393 | |
| Other | 0.939 (0.873–1.009) | 0.085 | 0.932 (0.858–1.012) | 0.095 | |
| Sex | |||||
| Female | Reference | Reference | |||
| Male | 1.111 (1.069–1.154) | <0.001 | 1.080 (1.033–1.129) | 0.001 | |
| Year of diagnosis | |||||
| 2002–2007 | Reference | Reference | |||
| 2008–2011 | 0.911 (0.852–0.974) | 0.006 | 0.887 (0.819–0.960) | 0.003 | |
| 2012–2015 | 0.830 (0.775–0.890) | <0.001 | 0.805 (0.742–0.874) | <0.001 | |
| Location of PC | |||||
| Head and neck | Reference | Reference | |||
| Body and tail | 0.838 (0.795–0.883) | <0.001 | 0.808 (0.758–0.862) | <0.001 | |
| Overlapping | 0.925 (0.843–1.015) | 0.099 | 1.000 (0.897–1.115) | 0.994 | |
| Not specified | 0.954 (0.859–1.060) | 0.382 | 0.992 (0.877–1.122) | 0.899 | |
| Pathologic grade | |||||
| I | Reference | Reference | |||
| II | 1.551 (1.451–1.658) | <0.001 | 1.646 (1.519–1.784) | <0.001 | |
| III | 2.063 (1.926–2.209) | <0.001 | 2.171 (1.999–2.357) | <0.001 | |
| IV | 1.673 (1.427–1.962) | <0.001 | 1.884 (1.565–2.268) | <0.001 | |
| Pancreatectomy | |||||
| Partial | Reference | Reference | |||
| Total | 1.061 (1.010–1.114) | 0.020 | 1.063 (1.004–1.126) | 0.036 | |
| LN resection | |||||
| 0 | Reference | Reference | |||
| 1–3 | 1.008 (0.866–1.172) | 0.923 | 1.029 (0.858–1.234) | 0.757 | |
| >4 | 0.924 (0.808–1.057) | 0.251 | 0.997 (0.849–1.170) | 0.968 | |
| Biopsy | 0.885 (0.662–1.183) | 0.410 | 1.006 (0.719–1.407) | 0.972 | |
| Unknown | 0.962 (0.760–1.217) | 0.747 | 1.044 (0.798–1.366) | 0.752 | |
| Tumor size (cm) | |||||
| ≤2 | Reference | Reference | |||
| ≤4 | 1.406 (1.331–1.484) | <0.001 | 1.433 (1.344–1.529) | <0.001 | |
| >4 | 1.687 (1.587–1.793) | <0.001 | 1.685 (1.568–1.811) | <0.001 | |
| Other tumor history | |||||
| No | Reference | Reference | |||
| Yes | 0.877 (0.838–0.917) | <0.001 | 0.108 (0.096–0.122) | <0.001 | |
| Age (years) | |||||
| ≤60 | Reference | Reference | |||
| >60 | 1.319 (1.263–1.377) | <0.001 | 1.239 (1.180–1.300) | <0.001 | |
| Insurance | |||||
| Uninsured | Reference | Reference | |||
| Insured | 1.049 (0.897–1.226) | 0.551 | 0.978 (0.828–1.156) | 0.796 | |
| Medicaid | 1.309 (1.106–1.550) | 0.002 | 1.176 (0.980–1.411) | 0.082 | |
| Unknown | 1.116 (0.943–1.320) | 0.203 | 1.050 (0.875–1.260) | 0.598 | |
| Marital status | |||||
| Unmarried | Reference | Reference | |||
| Married | 0.930 (0.874–0.990) | 0.023 | 0.950 (0.884–1.021) | 0.165 | |
| Other# | 1.066 (0.995–1.140) | 0.068 | 1.065 (0.985–1.152) | 0.116 | |
#, divorced, separated, widowed and unknown. OS, overall survival; CSS, cancer-specific survival; PC, pancreatic cancer; LN, lymph node; HR, hazard ratio; CI, confidence interval.
Patients stratified by tumor location or tumor size
Patients were stratified by tumor location or tumor size to additionally study the influence of TP on the survival of PC patients with tumors located in different locations or with tumors of different sizes. The clinicopathologic features of patients subclassified based on tumor location are listed in Table S1. We stratified patients into a head and neck subgroup, body and tail subgroup, and overlapping subgroup based on tumor location. Variables were distributed relatively uniformly in both the TP and PP groups of all three subgroups. In patients with tumors located in the head and neck of the pancreas, compared with PP, TP was significantly associated with poorer OS and CSS (median OS: 20 vs. 18 months, P=0.0096; median CSS: 25 vs. 23 months, P=0.0044, respectively; Figure 2A,2B). However, in the body and tail subgroup and the overlapping subgroup, the OS and CSS of the TP group resembled those of the PP group (all P>0.05; Figure 2C-2F).
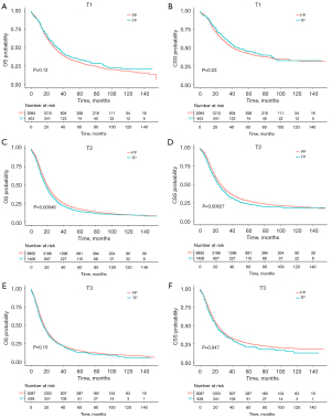
Next, patients were subclassified into T1 (≤2 cm), T2 (≤4 cm) and T3 (>4 cm) subgroups according to tumor size. Table S2 summarizes the features of the patients in the three subgroups. In all subgroups, PC patients with tumors located in the head and neck were more likely to undergo TP. The results of survival analyses are presented in Figure 3. Compared with PP, TP led to a lower OS and CSS of patients with T2-stage tumors (median OS: 20 vs. 18 months, P=0.00046; median CSS: 26 vs. 23 months, P=0.00027, respectively, Figure 3C,3D). However, except for the CSS of patients with T3-stage tumors (median CSS: 22 vs. 20 months, P=0.047), no significant difference of OS and CSS of patients with T1- and OS of patients with T3-stage tumors were observed between groups (all P>0.05) (Figure 3A,3B,3E,3F).
Patients stratified by combination of tumor location and size
To further investigate the survival effects of TP on pancreatic head and neck cancer, body and tail cancer, and overlapping cancer at different T stages, we stratified the patients based on tumor location combined with T-stage, resulting in 9 subgroups: head and neck-T1, head and neck-T2, head and neck-T3, body and tail-T1, body and tail-T2, body and tail-T3, overlapping-T1, overlapping-T2 and overlapping-T3. The baseline features of the patients in these 9 subgroups were comparable between the TP and PP groups (Tables S3-S5).
There was no significant difference in the OS and CSS between the two groups of patients with T1- and T3-stage tumors (both P>0.05) (Figure 4A,4B). Among the PC patients with T2-stage tumors located in the head and neck of pancreas, the OS and CSS of patients in the TP group were also significantly worse than those of patients in the PP group (median OS: 18 vs. 19 months, P=0.0016; median CSS: 22 vs. 24 months, P=0.00055, respectively) (Figure 4C,4D).The Cox proportional hazards model further demonstrated that TP was independently related to poorer OS and CSS of patients in the head and neck-T2 subgroup (OS: HR, 1.100; 95% CI, 1.027 to 1.179; P=0.007; CSS: HR, 1.112; 95% CI, 1.027 to 1.203; P=0.009) but not of patients in the other two subgroups (all P>0.05) (Table S6). Other independent predictors of OS and CSS, such as pathologic grade, other tumor history and age, are presented in Table S6. There was also no significant difference in the OS and CSS between the two groups of patients with T3-stage tumors (both P>0.05) (Figure 4E,4F).
In pancreatic body and tail cancer as well as overlapping cancer, the OS and CSS of patients with all T stages were not significantly different between the TP and PP groups (all P>0.05) (Figures S1,S2). The results of the Cox proportional hazards regression analyses of all these subgroups are summarized in Tables S7,S8. TP was not associated with the OS and CSS of patients in any of these subgroups.
Discussion
TP was initially introduced as a more thorough resection for PC, and was expected to produce better therapeutic effects (18). In the early years, because of the high perioperative morbidity and mortality after TP as well as lifelong diabetes mellitus and exocrine dysfunction, which affected the long-term outcomes and quality of life (QOL) of patients, surgeons preferred PP to TP (19-21). However, with the development of high-volume pancreatic centers, improved surgical techniques, and advances in perioperative care, the perioperative morbidity and mortality for TP have improved substantially (22-24). Furthermore, in recent years, the QOL of patients after TP has remarkably improved due to the wide clinical application of long-acting and medium-acting insulin and modern pancreatin drugs (25-27). Therefore, the appropriateness of TP has been reconsidered and it is being used in an increasing number of patients. Nevertheless, there is an ongoing debate as to whether TP leads to better long-term survival for PC compared with PP.
Using a large sample of data from the SEER database, we demonstrated a significant survival disadvantage for patients with PC after TP compared with PP. Because tumor location and size are significantly associated with PC prognosis (28-31), we further investigated the effect of TP on survival in PC patients with different tumor locations and tumor sizes. A negative effect on long-term prognosis was found for T2-stage pancreatic head and neck cancer after TP compared with PP. Several reasons might be accountable for our results. Firstly, patients in this study were enrolled from 2000 to 2016 and there was no appropriate endocrine therapy for TP patients in the early 2000’s which might compromise the survival of patients who received TP. Secondly, the persistently high morbidity of complications associated with TP including total exocrine pancreatic insufficiency and postoperative brittle diabetes could also contribute to the poor survival (30). The diabetes post-TP led to prolonged hospital stay and increase 5–10% mortality rate (32). Finally, clinically relevant information like carbohydrate antigen 19-9 (CA 19-9), body mass index (BMI), comorbidities and chemotherapy, which are associated with survival, are lacking in the SEER database.
A study of 1,386 PC patients compared the effects of TP (n=100) and pancreaticoduodenectomy (n=1,286) on survival, and concluded that the long-term prognosis of both groups of patients was similar (5). A more recent study revealed that TP with a negative margin was associated with a more favorable survival outcome compared with marginal positive resection with PP; thus, TP was recommended when PP with negative margin was impractical (33). However, our present study showed that both the OS and CSS of the TP group were significantly worse than those of the PP group, and TP was an independent risk factor for OS and CSS. Most of the previous studies were retrospective single-center studies with relatively small sample sizes, whereas our study enrolled a large sample of patients from multiple centers and CSS was one of the primary study endpoints. Therefore, it is reasonable to believe that the results of this study are more reliable. Furthermore, previous studies generally focused on pancreatic head cancer including all T stages, whereas this study looked at potentially curable (AJCC T1–3) PC at all locations. This difference may also lead to differences in research results.
It is appropriate to speculate that the effect of TP is disparate for PC at different anatomical locations. Artinyan et al. reported that pancreatic body and tail cancer patients had a shorter median survival, a higher likelihood of distant metastasis, and a lower likelihood of surgical treatment than pancreatic head cancer patients (28). Two other studies verified the differences in both the genes and prognosis between pancreatic body and tail cancer and pancreatic head cancer (34,35). Our subgroup analyses results showed that in patients with tumors located in the head and neck of pancreas, TP was significantly associated with poorer OS and CSS, whereas in the body and tail subgroup and overlapping subgroup, the OS and CSS of the TP group resembled those of the PP group. In a previous study, Passeri et al. failed to find differences in survival between patients treated with TP and patients with tumors at different locations treated with PP. Although it stratified the patients undergoing PP according to tumor location, the patients who underwent TP were not stratified in the same way, which affects the credibility of the research results (9).
Tumor size is one of the three key aspects of the TNM staging system for solid tumors and a major predictor of tumor prognosis (36). Results of a study performed by Marchegiani et al. revealed different surgical outcomes between pancreatic ductal adenocarcinoma patients with tumor size ≤2 and >2 cm (37). Another study also found that the survival rate declined with increasing tumor size in patients with localized pancreatic ductal adenocarcinoma (38). Johnston et al. reported that tumor size independently related to survival of PC patients undergoing TP (30). Therefore, stratification of PC according to tumor size is necessary to compare the influence of TP and PP on the survival of PC patients. The newest edition of the TNM staging of PC added tumor size of 4 cm as the cutoff of T2 and T3, which has been reported to be highly prognostic (16,39). Unfortunately, to our knowledge, no studies have been conducted to stratify patients according to this version of T-staging to compare the surgical outcomes of TP and PP. We found that TP led to decreased OS and CSS of patients with T2-stage tumors. In further analyses, we found that for PC patients with T2-stage tumors located in the head and neck of pancreas, the OS and CSS of patients in the TP group were significantly worse than for the PP group. In contrast, the same results were not found in other subgroup analyses.
Several limitations in our study need to be noted. Firstly, we stratified patients into three groups by the tumor size. According to the available information in the SEER database, the tumor size was obtained by measuring either pathologic specimen or pre-operative CT scans. However, the tumor size of measuring the pathologic specimens, the gold standard for determining tumor size, is usually slightly larger than that of measuring the pre-operative CT scans. Hence, it would be better to stratify patients according to tumor size measuring the pathologic specimen in the future study. Secondly, on account of the limited form of information available in the SEER database, information regarding clinical prognosis, such as BMI, CA 19-9 or other diseases, were not available. Therefore, the effect of this information on patient survival could not be studied. Thirdly, pancreatic neck cancer has different clinicopathologic characteristics compared to head or body-tail PC. A previous study reported that patients with pancreatic neck cancer had worse prognosis than patients with head or body-tail PC due to more frequently invading in peripheral major vessels (40). Therefore, it should be better to divide head and neck PC in two different subgroups. Finally, the current study analyses patients underwent TP and PP for all types of PC. Given different types of PC have different prognosis, it should be better to supplement additional analysis to investigate and compare the same data for each type of PC in the future.
Conclusions
Survival was significantly poorer for patients with potentially curable PC who underwent TP than PP. In terms of different tumor locations and sizes, TP is significantly related to worse survival than PP for T2-stage pancreatic head and neck cancer patients. Further investigations are required to identify independent risk factors associated with the TP treatment.
Acknowledgments
The authors thank all of the participants in our study. The authors appreciate the academic support from the AME Pancreatic Surgery Collaborative Group.
Funding: This work was funded by a grant from the Rural Science and Technology Commissioner Program of Guangdong Province, China (No. KTP2020342).
Footnote
Reporting Checklist: The authors have completed the STROBE reporting checklist. Available at https://atm.amegroups.com/article/view/10.21037/atm-22-2217/rc
Conflicts of Interest: All authors have completed the ICMJE uniform disclosure form (available at https://atm.amegroups.com/article/view/10.21037/atm-22-2217/coif).The authors have no conflicts of interest to declare.
Ethical Statement: The authors are accountable for all aspects of the work in ensuring that questions related to the accuracy or integrity of any part of the work are appropriately investigated and resolved. The authors retrieved all patient information used in this study from the SEER database, so the institutional review board approval could be waived. The study was conducted in accordance with the Declaration of Helsinki (as revised in 2013).
Open Access Statement: This is an Open Access article distributed in accordance with the Creative Commons Attribution-NonCommercial-NoDerivs 4.0 International License (CC BY-NC-ND 4.0), which permits the non-commercial replication and distribution of the article with the strict proviso that no changes or edits are made and the original work is properly cited (including links to both the formal publication through the relevant DOI and the license). See: https://creativecommons.org/licenses/by-nc-nd/4.0/.
References
- Siegel RL, Miller KD, Fuchs HE, et al. Cancer Statistics, 2021. CA Cancer J Clin 2021;71:7-33. [Crossref] [PubMed]
- Khorana AA, McKernin SE, Berlin J, et al. Potentially Curable Pancreatic Adenocarcinoma: ASCO Clinical Practice Guideline Update. J Clin Oncol 2019;37:2082-8. [Crossref] [PubMed]
- Gupta R, Amanam I, Chung V. Current and future therapies for advanced pancreatic cancer. J Surg Oncol 2017;116:25-34. [Crossref] [PubMed]
- Luu AM, Olchanetski B, Herzog T, et al. Is primary total pancreatectomy in patients with high-risk pancreatic remnant justified and preferable to pancreaticoduodenectomy? -a matched-pairs analysis of 200 patients. Gland Surg 2021;10:618-28. [Crossref] [PubMed]
- Reddy S, Wolfgang CL, Cameron JL, et al. Total pancreatectomy for pancreatic adenocarcinoma: evaluation of morbidity and long-term survival. Ann Surg 2009;250:282-7. [Crossref] [PubMed]
- Sarr MG, Behrns KE, van Heerden JA. Total pancreatectomy. An objective analysis of its use in pancreatic cancer. Hepatogastroenterology 1993;40:418-21. [PubMed]
- Wang X, Hong X, Pang H, et al. Selecting optimal surgical procedures for intraductal papillary mucinous neoplasm (IPMN): An analysis based on the Surveillance, Epidemiology, and End Result registry database. Eur J Surg Oncol 2016;42:1526-32. [Crossref] [PubMed]
- Casadei R, Ricci C, Taffurelli G, et al. Is total pancreatectomy as feasible, safe, efficacious, and cost-effective as pancreaticoduodenectomy? A single center, prospective, observational study. J Gastrointest Surg 2016;20:1595-607. [Crossref] [PubMed]
- Passeri MJ, Baker EH, Siddiqui IA, et al. Total compared with partial pancreatectomy for pancreatic adenocarcinoma: assessment of resection margin, readmission rate, and survival from the U.S. National Cancer Database. Curr Oncol 2019;26:e346-56. [Crossref] [PubMed]
- Crippa S, Tamburrino D, Partelli S, et al. Total pancreatectomy: indications, different timing, and perioperative and long-term outcomes. Surgery 2011;149:79-86. [Crossref] [PubMed]
- Hartwig W, Gluth A, Hinz U, et al. Total pancreatectomy for primary pancreatic neoplasms: renaissance of an unpopular operation. Ann Surg 2015;261:537-46. [Crossref] [PubMed]
- Luo L, Yao Y, Liao H, et al. Cumulative damage effect of jaundice may be an effective predictor of complications in patients undergoing radical resection of Bismuth type II or above hilar cholangiocarcinoma. Ann Transl Med 2021;9:861. [Crossref] [PubMed]
- Reni M, Zanon S, Balzano G, et al. Selecting patients for resection after primary chemotherapy for non-metastatic pancreatic adenocarcinoma. Ann Oncol 2017;28:2786-92. [Crossref] [PubMed]
- Xiong Y, Zhao Y, Han X, et al. Clinical characteristics and outcome of tumor-associated acute pancreatitis: a single-center cohort study. Ann Transl Med 2021;9:639. [Crossref] [PubMed]
- Amin MB, Edge SB, Greene FL, et al. editors. AJCC Cancer Staging Manual. 8th ed. Cham: Springer, 2017.
- Allen PJ, Kuk D, Castillo CF, et al. Multi-institutional Validation Study of the American Joint Commission on Cancer (8th Edition) Changes for T and N Staging in Patients With Pancreatic Adenocarcinoma. Ann Surg 2017;265:185-91.
- Doll KM, Rademaker A, Sosa JA. Practical Guide to Surgical Data Sets: Surveillance, Epidemiology, and End Results (SEER) Database. JAMA Surg 2018;153:588-9. [Crossref] [PubMed]
- Rockey EW. Total pancreatectomy for carcinoma: case report. Ann Surg 1943;118:603-11. [Crossref] [PubMed]
- Stoop TF, Ateeb Z, Ghorbani P, et al. Impact of Endocrine and Exocrine Insufficiency on Quality of Life After Total Pancreatectomy. Ann Surg Oncol 2020;27:587-96. [Crossref] [PubMed]
- Dresler CM, Fortner JG, McDermott K, et al. Metabolic consequences of (regional) total pancreatectomy. Ann Surg 1991;214:131-40. [Crossref] [PubMed]
- Casadei R, Monari F, Buscemi S, et al. Total pancreatectomy: indications, operative technique, and results: a single centre experience and review of literature. Updates Surg 2010;62:41-6. [Crossref] [PubMed]
- Lemmens VE, Bosscha K, van der Schelling G, et al. Improving outcome for patients with pancreatic cancer through centralization. Br J Surg 2011;98:1455-62. [Crossref] [PubMed]
- Finks JF, Osborne NH, Birkmeyer JD. Trends in hospital volume and operative mortality for high-risk surgery. N Engl J Med 2011;364:2128-37. [Crossref] [PubMed]
- Ghaferi AA, Birkmeyer JD, Dimick JB. Variation in hospital mortality associated with inpatient surgery. N Engl J Med 2009;361:1368-75. [Crossref] [PubMed]
- Casadei R, Ricci C, Monari F, et al. Clinical outcome of patients who underwent total pancreatectomy. Pancreas 2010;39:546-7. [Crossref] [PubMed]
- Roberts KJ, Blanco G, Webber J, et al. How severe is diabetes after total pancreatectomy? A case-matched analysis. HPB (Oxford) 2014;16:814-21. [Crossref] [PubMed]
- Watanabe Y, Ohtsuka T, Matsunaga T, et al. Long-term outcomes after total pancreatectomy: special reference to survivors' living conditions and quality of life. World J Surg 2015;39:1231-9. [Crossref] [PubMed]
- Artinyan A, Soriano PA, Prendergast C, et al. The anatomic location of pancreatic cancer is a prognostic factor for survival. HPB (Oxford) 2008;10:371-6. [Crossref] [PubMed]
- Li G, Liao CY, Chen JZ, et al. Construction and Validation of Novel Nomograms for Predicting Prognosis of Pancreatic Ductal Adenocarcinoma After Surgery According to Different Primary Cancer Locations. Front Oncol 2021;11:646082. [Crossref] [PubMed]
- Johnston WC, Hoen HM, Cassera MA, et al. Total pancreatectomy for pancreatic ductal adenocarcinoma: review of the National Cancer Data Base. HPB (Oxford) 2016;18:21-8. [Crossref] [PubMed]
- Song C, Wang M, Luo Y, et al. Predicting the recurrence risk of pancreatic neuroendocrine neoplasms after radical resection using deep learning radiomics with preoperative computed tomography images. Ann Transl Med 2021;9:833. [Crossref] [PubMed]
- Maker AV, Sheikh R, Bhagia V, et al. Perioperative management of endocrine insufficiency after total pancreatectomy for neoplasia. Langenbecks Arch Surg 2017;402:873-83. [Crossref] [PubMed]
- Chandrasegaram MD, Goldstein D, Simes J, et al. Meta-analysis of radical resection rates and margin assessment in pancreatic cancer. Br J Surg 2015;102:1459-72. [Crossref] [PubMed]
- Birnbaum DJ, Bertucci F, Finetti P, et al. Head and Body/Tail Pancreatic Carcinomas Are Not the Same Tumors. Cancers (Basel) 2019;11:497. [Crossref] [PubMed]
- Yin L, Xiao L, Gao Y, et al. Comparative bioinformatical analysis of pancreatic head cancer and pancreatic body/tail cancer. Med Oncol 2020;37:46. [Crossref] [PubMed]
- Edge SB, Compton CC. The American Joint Committee on Cancer: the 7th edition of the AJCC cancer staging manual and the future of TNM. Ann Surg Oncol 2010;17:1471-4.
- Marchegiani G, Andrianello S, Malleo G, et al. Does Size Matter in Pancreatic Cancer?: Reappraisal of Tumour Dimension as a Predictor of Outcome Beyond the TNM. Ann Surg 2017;266:142-8. [Crossref] [PubMed]
- Ansari D, Bauden M, Bergström S, et al. Relationship between tumour size and outcome in pancreatic ductal adenocarcinoma. Br J Surg 2017;104:600-7. [Crossref] [PubMed]
- van Roessel S, Kasumova GG, Verheij J, et al. International Validation of the Eighth Edition of the American Joint Committee on Cancer (AJCC) TNM Staging System in Patients With Resected Pancreatic Cancer. JAMA Surg 2018;153:e183617.
- Zheng Z, Tan C, Chen Y, et al. Impact of different surgical procedures on survival outcomes of patients with adenocarcinoma of pancreatic neck. PLoS One 2019;14:e0217427. [Crossref] [PubMed]
(English Language Editor: K. Brown)

