Study on the intervention effect and mechanism of bacillus Calmette-Guerin polysaccharide and nucleic acid injection on atopic dermatitis by targeting the transient receptor potential vanilloid subtype 1 pathway
Introduction
Atopic dermatitis (AD) is the most common inflammatory skin disease among children, with an incidence of about 15–30%; 7–10% of adults also experience AD (1,2). It is characterized by recurrent AD lesions with intense pruritus, visible erythema in the acute stage, exudation with erosive surfaces and denudation in the acute stage, and dry skin, squama, and lichenification in the chronic stage (3,4). Acute erythematous skin lesions are common in AD in children, whereas AD in adults can manifest as pronounced chronic proliferative change (5). Pruritus and appearance of skin lesions severely affect patients’ quality of life (QoL) and mental health, and limit their daily activities. The pathogenesis of AD is not fully understood, but the disease appears to result from increased epidermal differentiation and proliferation, triggering skin barrier dysfunction, combined with a complex interaction between the environment and infectious agents and immune disorders. During the onset, the expression levels of inflammatory factors such as interleukin (IL)-4, IL-10, IL-13, IL-31, and IFN-γ will change significantly, and some associated genetic risk (6). Our study started from the direction of immunity, Bacillus Calmette-Guerin polysaccharide and nucleic acid injection (BCG-PSN) was selected to regulate immune function, and the expression levels of inflammatory factors were observed to return to normal in the mouse model.
At present, commonly used clinical drugs for AD include glucocorticoids, oral antihistamines and immunosuppressants. Long-term or excessive use of glucocorticoids may cause adverse reactions such as cortical hyperfunction, aggravation of infection, and even rebound phenomenon when the drug is discontinued; first-generation antihistamines can affect cognitive function; immunosuppressants are commonly used cyclosporine, Azathioprine, etc., need to be closely monitored during the treatment period. BCG-PSN is an injectable drug for the treatment of immune deficiency diseases such as allergic dermatitis, neurodermatitis and systemic lupus erythematosus in clinic in recent years. It can activate the immune function of monocytes-macrophages (6). In addition, BCG-PSN can also stabilize human mast cells, block the function of immunoglobulin, reduce the secretion of inflammatory mediators, and play a certain anti-allergic and anti-inflammatory effect (7). BCG-PSN shows good safety in clinical use, and its immunomodulatory function can also play a role in the treatment and remission of AD.
Transient receptor potential (TRP) ion pathways are important transduction mediators of somatosensory signaling, of which transient receptor potential vanilloid subtype 1 (TRPV1) is a family member. It can express in sensory nerve fibers and keratinocytes and other related cells. Activated by physical or chemical stimulation, TRPV1 promotes the cells to release various neurogenic substances and inflammatory factors, and participates in the occurrence of pruritus and skin neurogenic inflammation and the maintenance of the skin’s barrier function (8). It is also essential for reducing oxidative stress, pain, and inflammation. A previous study has suggested that capsaicin plays an important role in preventing AD and psoriasis, therefore, TRPV1 is also important for skin health as a capsaicin receptor (9). These properties make TRPV1 a mature target of new therapies for AD. A study has used the novel TRPV1 antagonist PAC-14028 to block TRPV1 activation, which can inhibit AD-like symptoms by promoting the recovery of skin barrier (10). Our study started from this point to explore the correlation of TRPV1 with immune inflammation in AD skin lesions was verified by BCG-PSN, providing new ideas for clinical treatment. We present the following article in accordance with the ARRIVE reporting checklist (available at https://atm.amegroups.com/article/view/10.21037/atm-22-2101/rc).
Methods
Experimental animals
A total of 50 specific-pathogen-free (SPF) female Kunming (KM) mice were purchased from Shanghai Leagene Biotechnology Co., Ltd. (Shanghai, China). The mice were 6–8 weeks old, weighing about 20 g. They were fed in the animal room of our hospital, which was dry and ventilated, room temperature was 22–25 ℃, humidity 50–70%, and they had unrestricted access to food and water. A week of adaptive feeding was provided before experimentation. Animal experiments were performed under a project license (No. QMU-AECC-2021-98) granted by Animal Ethical Care Committee of Qiqihar Medical University, in compliance with institutional guidelines for the care and use of animals. A protocol was prepared before the study without registration.
Main reagents and instruments
The reagents and instruments used for the experiments included the following: BCG-PSN (Hunan Jiuzhitang Siqi Biological Pharmaceutical Co., Ltd., National Medicine Quasi-Word S20020019, Hunan, China); hydrocortisone injection (Tianjin Kingyork Pharmaceuticals Co., Ltd., National Medicine Quasi-Word H12020887); 2,4-Dinitrochlorobenzene (DNCB) (Sigma-Aldrich, St. Louis, MO, USA; Art. No.: 237329); transient receptor potential vanilloid subtype 1 (TRPV1) antagonist PAC-14028 (Beijing Baiaolaibo Technology Co., Ltd., Beijing, China; Art. No.: M04544); mouse immunoglobulin E (IgE), IL-31, IL-4, and IL-13 enzyme-linked immunosorbent assay (ELISA) kit (Shanghai Enzyme Linked Biotechnology Co., Ltd., Shanghai, China; Art. No.: ml037602, ml063145, ml063156, and ml063123); protein extraction kit (Wuhan Boster Biological Technology Co., Ltd., Hubei, China; Art. No.: AR0103); Monoclonal antibodies to tumor necrosis factor-α (TNF-α), nuclear factor (NF)-κB p65, TRPV1, and glyceraldehyde 3-phosphate dehydrogenase (GAPDH; Abcam, Cambridge, USA; Art. No.: ab183218, ab207297, ab6166, and ab181602); goat anti-mouse secondary antibody (Wuhan Amyjet Scientific Inc., Hubei, China; Art. No.: C5164); HBS-1096B microplate reader (Nanjing DeTie Laboratory Equipment Co., Ltd., Jiangsu, China); DYCZ-24KF vertical electrophoresis instrument (Shanghai Xihao Industrial Co., Ltd., Shanghai, China); and GelDoc IT TS2 Gel Imager (Analytik Jena US LLC, CA, USA).
Modeling, grouping, and drug administration
Modeling method: DNCB was adopted for modeling of AD mice. Hair on the same area of the back of mice was removed 1 day before sensitization; 5% DNFB 50 µL was coated on the depilated site on days 1 and 2 for sensitization. Hair on the same area of the back of mice was removed again on day 6, and 1% DNFB 50 µL was coated on the depilated site on day 7. The whole process was repeated once a week, for 4 consecutive weeks. Desquamation and erythema on the back of mice indicated that the AD model had been successfully established.
Grouping in Experiment 1: 30 mice were divided into 6 groups through a table of random numbers: blank control, model, BCG-PSN low-dose, BCG-PSN medium-dose, BCG-PSN high-dose, and positive drug control groups, with 5 mice in each group.
Grouping in Experiment 2: 20 mice were divided into 4 groups through a table of random numbers: blank control, model, BCG-PSN medium-dose (75 g/kg), and BCG-PSN + PAC groups, with 5 mice in each group. Mice in all groups were given intramuscular injection of the corresponding drugs 48 hours after the last sensitization, then once every other day, for a total of 21 days.
Administration: mice in the blank control group were injected with saline, mice in the positive drug control group were injected with hydrocortisone (HC) 25 mg/kg, and mice in BCG-PSN low-dose, BCG-PSN medium-dose, BCG-PSN high-dose, and BCG-PSN + PAC groups were given BCG-PSN injection at 25, 75, and 225 µg/kg, respectively. In Experiment 2, mice in the BCG-PSN + PAC group were injected with PAC-14028. In Experiments 1 and 2, corresponding drugs were given as intramuscular injection into the hind limbs of mice 48 hours after the last sensitization, once every other day, for 21 days in total. The mice in experiment 1 and 2 were given intramuscular injection into the hind limbs 48 hours after the last sensitization, once every other day, for 21 days in total.
Symptom score in mice
The degree of lichenification, erythema, and papules in rats were analyzed and scored for symptom severity. No lichenification was scored as 0; a small amount of fine scales was scored as 1; obvious fine and thin scales was scored as 2, and a large number of scales was scored as 3. No erythema was scored as 0, faintly visible erythema with small amount and light color was scored as 1, obvious light red erythema was scored as 2, and larger and dark red erythema was scored as 3. No papule was scored as 0, scattered distribution of papules was scored as 1, more dense and mutually fused papules was scored as 2, and very dense and obviously fused papules was scored as 3.
Scoring of scratching behavior in mice
After the last administration, mice were introduced back into the original environment, and the times that they scratched their nose, ear, and dorsal skin with the hind claw within 10 minutes were recorded, and all assessments were blinded.
Detection of levels of IgE, IL-31, IL-4, and IL-13 in serum
Blood was obtained from the tail vein of mice, and centrifuged at 3,000 g for 5 minutes to isolate the serum. The contents of IgE, IL-31, IL-4, and IL-13 in serum were determined according to the instructions of the ELISA kit.
Detection of protein levels of TNF-α, NF-κB p65, and TRPV1 in skin lesion tissue
Skin tissue on the back of mice were collected and minced, with corresponding protein extraction reagents added. The tissues were bathed in ice for 2 hours, followed by centrifugation at 3,000 g to collect the supernatant. Loading buffer was added into the supernatant, which was heated at 100 ℃ for 5 minutes, and electrophoresis (30 g/well) was carried out after standing and rewarming. After transferring, the proteins with the polyvinylidene fluoride (PVDF) imprinted membranes were immersed in 5% evaporated milk and stood at room temperature for 1 hour, incubated with TNF-α, NF-κB p65, and TRPV1 and GAPDH antibodies, and allowed to stand at 4 ℃ for 12 hours. Secondary antibodies were added in the dark at room temperature for 30 minutes after washing with phosphate-buffered saline (PBS). The mixture was subject to western blot (WB), and the results were analyzed with ImageJ 1.8.0 (National Institutes of Health), with GAPDH as the internal control.
Statistical analysis
The data in this study were processed with the software SPSS 23.0 (IBM Corp., Armonk, NY, USA), and expressed as mean ± standard deviation. Multi-group comparisons were conducted through analysis of variance (ANOVA), and pairwise comparisons were performed through SNK-q test. A statistically significant difference was indicated when P<0.05.
Results
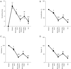
BCG-PSN significantly reduced symptom score and scratching frequency in mice
The symptom score and scratching frequency of the AD model mice increased compared with the blank control group. Compared with the model group, the symptom score and scratching frequency of mice in the BCG-PSN low-dose, BCG-PSN medium-dose, BCG-PSN high-dose, and positive control groups decreased, with the lowest decrease in the medium-dose group (P<0.05), as shown Figure 1.
BCG-PSN reduced the levels of inflammatory cytokines in serum of mice
The results of ELISA showed increased levels of IgE, IL-31, IL-4, and IL-13 in serum of the remaining mice compared with the blank control group. Compared with the model group, the levels of IgE, IL-31, IL-4, and IL-13 in serum of mice in the BCG-PSN low-dose, BCG-PSN medium-dose, and BCG-PSN high-dose groups decreased, with the lowest decrease in the medium-dose group (P<0.05), as shown in Figure 2.
BCG-PSN reduced the protein levels of TNF-α, NF-κB p65, and TRPV1 in the skin lesions of AD mice
The WB results showed increased levels of TNF-α, NF-κB p65, and TRPV1 in serum of the AD model mice compared with those in the blank control group. Compared with those in the model group, the levels of TNF-α, NF-κB p65, and TRPV1 in serum of mice in the BCG-PSN low-dose, BCG-PSN medium-dose, and BCG-PSN high-dose groups decreased, with the lowest in the medium-dose group (P<0.05), as shown in Figure 3.
Comparison of symptom score and scratching frequency in mice under the effect of PAC on BCG-PSN
The scratching frequency and symptom score of the AD model mice increased compared with those in the blank control group. Compared with those in the model group, the scratching frequency and symptom score decreased in mice in the BCG-PSN medium-dose, BCG-PSN + PAC, and positive control groups, among which those in the BCG-PSN medium-dose group decreased more greatly than those in the BCG-PSN + PAC group. Compared with those in the blank control group, the levels of IgE, IL-31, IL-4, and IL-13 in serum of the remaining mice increased, and the levels of IgE, IL-31, IL-4, and IL-13 in the BCG-PSN low-dose, BCG-PSN medium-dose, and BCG-PSN high-dose groups decreased compared with those in the model group, with the lowest in the medium-dose group (P<0.01), as shown in Figure 4.
Detection of protein levels of TNF-α and TRPV1 of mice in each group in Experiment 2
The TNF-α levels in serum increased in the model mice compared with the blank control group and decreased in the BCG-PSN medium-dose, BCG-PSN + PAC, and positive control groups. The TRPV1 levels in serum decreased in the BCG-PSN + PAC group and increased in the remaining mice compared with those in the blank control group. Compared with those in model group, TNF-α levels in the BCG-PSN medium-dose, BCG-PSN + PAC, and positive control group decreased, with a greater decrease in the BCG-PSN + PAC group than that in the BCG-PSN medium-dose group, as shown in Figure 5.
BCG-PSN acts by targeting TRPV1
To explore the effect of PAC on the efficacy of BCG-PSN, we further tested the effect of BCG-PSN combined with PAC at different doses. The results showed that symptom score and scratching frequency in the BCG-PSN low-dose group combined with PAC were lower than those of BCG-PSN alone. The treatment effect was worse in the medium-dose group when used together with PAC. However, there was no significant difference in symptom score and scratching frequency between the 2 groups at high dose. The results suggested that PAC and BCG-PSN may have competitive antagonism in the mechanism of action. At the same time, we examined the expression level of TRPV1 protein in different dose groups combined with PAC (Figure 6). The WB results showed that the inhibition effect of BCG-PSN on TRPV1 was significantly improved in the BCG-PSN low-dose group combined with PAC. The results suggested that BCG-PSN can promote the recovery of AD by targeting the TRPV1 pathway.
Discussion
Also known as atopic eczema, AD is a common clinical skin disease, which causes varying degrees of pruritus at all disease stages; the pruritus is more obvious at night, and seriously affects the QoL of patients. The pathogenesis of AD has not been completely revealed; it is difficult to treat and has a high recurrence rate (2). Current knowledge of the pathogenesis of AD suggests that it is an immune-mediated disease, with a study demonstrating that type 2 inflammation plays a critical role in acute and chronic skin injury to AD, with the onset of acute lesions (6). It has been found that AD involved markedly increased levels of antimicrobial peptide (AMP) and upregulation of cytokines, Th2 and Th22, characterized by Th1/Th2 homeostatic imbalance and elevated Th2 signature cytokine levels, such as IL-4, IL-31, and IL-13. A recent study found that AD phenotypes of all age groups showed decreased Th1/Th2 ratios, and Il-9, IL-22, and regulatory T cells in patients other than infants (11). The difference in immune events between children and adults with AD suggests that treatment interventions need to be age specific. These Th2 cytokine profiles are also associated with the activity in AD disease and in other atopic diseases (e.g., chronic rhinitis and asthma) (12-14). In the lesions of patients with AD, non-lymphocytes secrete chemokines (CCL17) as well as cytokines such as IL-25, IL-33, and so on. These mediators activate Th2 cells and secrete cytokines such as IL-4, IL-5, IL-13, and IL-31, which induce the production of specific IgE in B cells, leading to the occurrence of inflammation (12,15). The cytokine IL-4 has been shown to induce Th2 cell differentiation and homeotic conversion in B cells to produce IgE, whereas IL-13 regulates the proliferation of IgE-producing B cells and disrupts the epithelial tight junction barrier, suggesting that AD is characterized by the efficient activation of Th2 cells and ILC2 and overproduction of type 2 cytokines, particularly IL-4 and IL-13. Although activation of the type 2 immune response is common in all AD patients, the variable activation of epithelial cell-derived cytokines can also propagate this response. Furthermore, IL-31 induces pruritus through sensory neuron activation, which in turn triggers scratching behavior, thereby exacerbating inflammation (16). In the inflammatory-infiltrating environment, inflammatory mediators such as NF-kB p65 and TNF-α are also highly expressed (17,18). An AD-like model of DNFB-induced mice was adopted in this study, and the same phenomenon also appeared, suggesting a successful modeling.
Pruritus is the most prominent clinical manifestation of AD, which will induce involuntary scratching, leading to skin injury or even secondary infection, thus further exacerbating the condition, and having a negative impact on QoL of patients (19,20). Research has confirmed that the presence of IL-4 receptor subunit (IL-4R) on afferent neurons reinforce the relationship between type 2 immune response and control of neural pruritus (21). Injecting IL-4 can enhance the responsiveness of sensory neurons to multiple pruritogens such as histamine, chloroquine, and IL-31 through the IL4R-JAK-dependent signaling pathway, leading to the amplification of pruritic behavior. Furthermore, treatment with a JAK inhibitor can significantly reduce intractable chronic pruritus resistant to other immunosuppressive therapies. A previous study has reported an important role of IL-13 in AD, such as inflammation, skin barrier disruption, infection, pruritus, epidermal thickening, and so on (22). Increased IL-13 messenger RNA (mRNA) levels were detected in both skin and non-skin lesions of AD patients, along with increased numbers of circulating T cells producing IL-13, both of which are strongly associated with disease severity. The cytokine IL-13 is thought to cause peripheral inflammation and is recognized as an itchy source of sensory neurons. Low-dose (1 µg) intradermal injection of IL-13 induced scratching behavior in mice, while the combined exposure of IL-13 and IL-4 increased the frequency of pruritus onset, suggesting that IL-13 is the main acute allergen in the peripheral sensory nerve (23). As a non-selective cation pathway with high permeability to calcium ions, TRPV1 is significantly highly expressed in AD skin lesions and is closely associated with pruritus signal transmission in AD (24,25). Sensory nerves, keratinocytes, sebaceous cells, hair follicles, sweat gland epithelium, and mast cells of the skin all express TRPV1 (26,27). It is also expressed in c-type fibers within the epidermis, certain pruritus mediators, such as eicosa alkyl compounds, histamines, PAR2 activating peptides, and various neuro-nutrients, inducing pruritus by activating the TRPV1 signaling pathway, leading to pruritus (28). Furthermore, the activation of TRPV1 in keratinocytes can produce pro-inflammatory mediators by partially activating TRPV1 on the sensory nerve, which in turn causes neurogenic inflammation and a pruritic response (29). Meanwhile, PAC-14028 is a TRPV1 antagonist that inhibits TRPV1 activation, and it has been demonstrated that PAC-14028 cream can effectively relieve skin injury and pruritus symptoms in AD (30). Reducing pruritus can greatly reduce the incessant scratching of patients, especially children, to the affected place, which undermines the healing of affected skin. After the treatment with BCG-PSN, the scratching frequency of mice and TRPV1 expression in skin lesions decreased. With the combined effect of BCG-PSN and TRPV1 antagonist PAC, the infiltration of inflammatory cells in skin lesions increased and the expression levels of IgE, IL-31, IL-4, IL-13, and TNF-α increased. To further explore the antagonistic mechanism of BCG-PSN and PAC, we used PAC combined with BCG-PSN at different concentrations. The treatment results suggested that BCG-PSN and PAC had competitive antagonism against TRPV1, indicating that BCG-PSN can target the TRPV1 pathway, reduce the stimulation of pruritus in mice, and exert intervention effects on AD.
The main components of BCG-PSN are lipopolysaccharide and nucleic acid, extracted after removing proteins from BCG, which preserves both the immune function of BCG and reduces the adverse effects. The BCG-PSN is frequently used in clinical immunotherapy (30,31), and previous studies have shown that it can exert therapeutic effects by regulating NF-κB, Th1/Th2 cytokines, the Mir-155/SOCS1 axis, and so on in the skin lesions and peripheral blood of AD patients (32,33). The results of this study showed that after the intervention with BCG-PSN, the score of lichenification, erythema, and papules decreased significantly in the AD model group, which suggested that BCG-PSN can effectively improve skin lesions of AD mice. The results of animal experiments showed that IgE, IL-31, IL-4, and IL-13 are highly expressed in AD inflammatory environment. The BCG-PSN intervention significantly down-regulated the expression of these inflammatory factors, which also showed that BCG-PSN can correct the imbalance of Th1/Th2 by regulating immune inflammatory response, so as to alleviate the disease.
Asivatrep (PAC-14028) is a selective antagonist of TRPV1, and its cream is commonly used in the clinical treatment of specific dermatitis. Asivatrep cream can promote the recovery of skin barrier function by producing epidermal differentiation markers such as loricrin, filaggrin, involucrin, and keratins associated with basal layer differentiation. Therefore, the efficacy of Asivatrep cream may be due to the inhibition of TRPV1 expression and the activation in injured skin, resulting in the obstruction of pain and pruritus signal transduction in specific dermatitis, while reducing blood perfusion in injured skin and promoting the integrity restoration of epidermal barrier function. In this study, we detected a competitive antagonism between BCG-PSN and PAC in terms of therapeutic effect, which suggested that BCG-PSN may play a role through the same or similar pathway (Figure 7). However, further studies will be conducted to confirm this underlying mechanism. In summary, BCG-PSN can improve skin lesion in AD mice and reduce the expression levels of inflammatory substances such as IgE, IL-31, IL-31, IL-4, I L-13, NF-B, p65, TNF-α, and IgE, making BCG-PSN an option as a clinical drug. Meanwhile, TRPV1 may be an effective target for BCG-PSN for pruritus and dermatitis in AD patients, providing an experimental basis for the introduction of BCG-PSN.
In conclusion, BCG-PSN can alleviate skin problems such as pruritus and lichenification caused by eczema and promote the healing of damaged skin by inhibiting TRPV1.
Acknowledgments
Funding: This study was funded by Basic Scientific Research Business Expenses, Research Project of Heilongjiang Provincial Undergraduate College, 2019 (No. 2019-KYYWF-1248).
Footnote
Reporting Checklist: The authors have completed the ARRIVE reporting checklist. Available at https://atm.amegroups.com/article/view/10.21037/atm-22-2101/rc
Data Sharing Statement: Available at https://atm.amegroups.com/article/view/10.21037/atm-22-2101/dss
Conflicts of Interest: All authors have completed the ICMJE uniform disclosure form (available at https://atm.amegroups.com/article/view/10.21037/atm-22-2101/coif). All authors report that this study was funded by Basic Scientific Research Business Expenses, Research Project of Heilongjiang Provincial Undergraduate College, 2019 (No. 2019-KYYWF-1248). The authors have no other conflicts of interest to declare.
Ethical Statement: The authors are accountable for all aspects of the work in ensuring that questions related to the accuracy or integrity of any part of the work are appropriately investigated and resolved. Animal experiments were performed under a project license (No. QMU-AECC-2021-98) granted by Animal Ethical Care Committee of Qiqihar Medical University, in compliance with institutional guidelines for the care and use of animals.
Open Access Statement: This is an Open Access article distributed in accordance with the Creative Commons Attribution-NonCommercial-NoDerivs 4.0 International License (CC BY-NC-ND 4.0), which permits the non-commercial replication and distribution of the article with the strict proviso that no changes or edits are made and the original work is properly cited (including links to both the formal publication through the relevant DOI and the license). See: https://creativecommons.org/licenses/by-nc-nd/4.0/.
References
- Nygaard U, Deleuran M, Vestergaard C. Emerging Treatment Options in Atopic Dermatitis: Topical Therapies. Dermatology 2017;233:333-43. [Crossref] [PubMed]
- Saini S, Pansare M. New Insights and Treatments in Atopic Dermatitis. Pediatr Clin North Am 2019;66:1021-33. [Crossref] [PubMed]
- Boguniewicz M, Alexis AF, Beck LA, et al. Expert Perspectives on Management of Moderate-to-Severe Atopic Dermatitis: A Multidisciplinary Consensus Addressing Current and Emerging Therapies. J Allergy Clin Immunol Pract 2017;5:1519-31. [Crossref] [PubMed]
- Rudzki E, Samochocki Z, Rebandel P, et al. Frequency and significance of the major and minor features of Hanifin and Rajka among patients with atopic dermatitis. Dermatology 1994;189:41-6. [Crossref] [PubMed]
- Frazier W, Bhardwaj N. Atopic Dermatitis: Diagnosis and Treatment. Am Fam Physician 2020;101:590-8. [PubMed]
- López-Sanz C, Jimenéz-Saiz R, Ehlers AM. Local inflammation enables a basophil-neuronal circuITCH in atopic dermatitis. Allergy 2022;77:708-10. [Crossref] [PubMed]
- Nasr MM, Ebrahim HM, Khattab FM, et al. Bacillus Calmette-Guerin, polysaccharide nucleic acid in the treatment of cutaneous and oral lichen planus. Dermatol Ther 2018;31:e12591. [PubMed]
- Couch DG, Cook H, Ortori C, et al. Palmitoylethanolamide and Cannabidiol Prevent Inflammation-induced Hyperpermeability of the Human Gut In Vitro and In Vivo-A Randomized, Placebo-controlled, Double-blind Controlled Trial. Inflamm Bowel Dis 2019;25:1006-18. [Crossref] [PubMed]
- Kemény Á, Kodji X, Horváth S, et al. TRPA1 Acts in a Protective Manner in Imiquimod-Induced Psoriasiform Dermatitis in Mice. J Invest Dermatol 2018;138:1774-84. [Crossref] [PubMed]
- Lee YW, Won CH, Jung K, et al. Efficacy and safety of PAC-14028 cream - a novel, topical, nonsteroidal, selective TRPV1 antagonist in patients with mild-to-moderate atopic dermatitis: a phase IIb randomized trial. Br J Dermatol 2019;180:1030-8. [Crossref] [PubMed]
- Imai Y, Yasuda K, Sakaguchi Y, et al. Skin-specific expression of IL-33 activates group 2 innate lymphoid cells and elicits atopic dermatitis-like inflammation in mice. Proc Natl Acad Sci U S A 2013;110:13921-6. [Crossref] [PubMed]
- David Boothe W, Tarbox JA, Tarbox MB. Atopic Dermatitis: Pathophysiology. Adv Exp Med Biol 2017;1027:21-37. [Crossref] [PubMed]
- Gittler JK, Shemer A, Suárez-Fariñas M, et al. Progressive activation of T(H)2/T(H)22 cytokines and selective epidermal proteins characterizes acute and chronic atopic dermatitis. J Allergy Clin Immunol 2012;130:1344-54. [Crossref] [PubMed]
- Werfel T, Allam JP, Biedermann T, et al. Cellular and molecular immunologic mechanisms in patients with atopic dermatitis. J Allergy Clin Immunol 2016;138:336-49. [Crossref] [PubMed]
- Gandhi NA, Bennett BL, Graham NM, et al. Targeting key proximal drivers of type 2 inflammation in disease. Nat Rev Drug Discov 2016;15:35-50. [Crossref] [PubMed]
- Datsi A, Steinhoff M, Ahmad F, et al. Interleukin-31: The "itchy" cytokine in inflammation and therapy. Allergy 2021;76:2982-97. [Crossref] [PubMed]
- Yamada K, Matsushita K, Wang J, et al. Topical Glucose Induces Claudin-1 and Filaggrin Expression in a Mouse Model of Atopic Dermatitis and in Keratinocyte Culture, Exerting Anti-inflammatory Effects by Repairing Skin Barrier Function. Acta Derm Venereol 2018;98:19-25. [Crossref] [PubMed]
- Wullaert A, Bonnet MC, Pasparakis M. NF-κB in the regulation of epithelial homeostasis and inflammation. Cell Res 2011;21:146-58. [Crossref] [PubMed]
- O'Hare E, Flanagan D, Penzel T, et al. A comparison of radio-frequency biomotion sensors and actigraphy versus polysomnography for the assessment of sleep in normal subjects. Sleep Breath 2015;19:91-8. [Crossref] [PubMed]
- Halvorsen JA, Dalgard F, Thoresen M, et al. Itch and pain in adolescents are associated with suicidal ideation: a population-based cross-sectional study. Acta Derm Venereol 2012;92:543-6. [Crossref] [PubMed]
- Sismanopoulos N, Delivanis DA, Alysandratos KD, et al. IL-9 induces VEGF secretion from human mast cells and IL-9/IL-9 receptor genes are overexpressed in atopic dermatitis. PLoS One 2012;7:e33271. [Crossref] [PubMed]
- Hamid Q, Naseer T, Minshall EM, et al. In vivo expression of IL-12 and IL-13 in atopic dermatitis. J Allergy Clin Immunol 1996;98:225-31. [Crossref] [PubMed]
- Sun Z, Kim JH, Kim SH, et al. Skin-resident natural killer T cells participate in cutaneous allergic inflammation in atopic dermatitis. J Allergy Clin Immunol 2021;147:1764-77. [Crossref] [PubMed]
- Tang L, Gao J, Cao X, et al. TRPV1 mediates itch-associated scratching and skin barrier dysfunction in DNFB-induced atopic dermatitis mice. Exp Dermatol 2022;31:398-405. [Crossref] [PubMed]
- Wilzopolski J, Kietzmann M, Mishra SK, et al. TRPV1 and TRPA1 Channels Are Both Involved Downstream of Histamine-Induced Itch. Biomolecules 2021;11:1166. [Crossref] [PubMed]
- Bagood MD, Isseroff RR. TRPV1: Role in Skin and Skin Diseases and Potential Target for Improving Wound Healing. Int J Mol Sci 2021;22:6135. [Crossref] [PubMed]
- Bodó E, Kovács I, Telek A, et al. Vanilloid receptor-1 (VR1) is widely expressed on various epithelial and mesenchymal cell types of human skin. J Invest Dermatol 2004;123:410-3. [Crossref] [PubMed]
- Xiao B, Patapoutian A. Scratching the surface: a role of pain-sensing TRPA1 in itch. Nat Neurosci 2011;14:540-2. [Crossref] [PubMed]
- Nikolaeva-Koleva M, Butron L, González-Rodríguez S, et al. A capsaicinoid-based soft drug, AG1529, for attenuating TRPV1-mediated histaminergic and inflammatory sensory neuron excitability. Sci Rep 2021;11:246. [Crossref] [PubMed]
- Lee YW, Won CH, Jung K, et al. Efficacy and safety of PAC-14028 cream - a novel, topical, nonsteroidal, selective TRPV1 antagonist in patients with mild-to-moderate atopic dermatitis: a phase IIb randomized trial. Br J Dermatol 2019;180:1030-8. [Crossref] [PubMed]
- Ciprandi G, De Amici M, Giunta V, et al. Serum interleukin-9 levels are associated with clinical severity in children with atopic dermatitis. Pediatr Dermatol 2013;30:222-5. [Crossref] [PubMed]
- Wang LH, Ye Y, Zhang YQ, et al. Curative effect of BCG-polysaccharide nuceic acid on atopic dermatitis in mice. Asian Pac J Trop Med 2014;7:913-7. [Crossref] [PubMed]
- Song Y, Wen H, Xiao R, et al. Effects of polysaccharide nucleic acid fraction of bacillus calmette guerin on the expression of NF-κB and Th1/Th2 eytokines in PBMC of patients with atopic dermatitis. Chinese Journal of Dermatology 2007;42-4.

