Potential prognostic value of the lymph node ratio and its correlation with circulating sex hormone concentration in pathological T1/2 breast cancer patients: a retrospective study
Introduction
Breast Cancer (BC) is a common cancer with a high morbidity and mortality rates. The mortality rate associated with breast cancer is the fifth highest mortality amongst different cancers worldwide. The GLOBOCAN 2020 by the International Agency for Research on Cancer estimates 2.3 million new cases and 685,000 deaths from the disease in 2020 (1). Despite the application of mammographic screening and promoting the early diagnosis of breast cancer with small sized tumors, increasing tumor size has a less liner correlation with possibility of metastasis (2). Moreover, lymph node involvement is a leading cause of death in breast cancer patients regardless of tumor size but correlates with lymph node numbers (3,4). In recent years, several studies have found the lymph node ratio (LNR) has an equal or better effect on predicting the prognosis of breast cancer patients than pathological lymph node staging, and is an independent predictor of breast cancer specific survival (5-8). In addition, the number of metastatic lymph nodes is different according to the different surgical procedure and dissected axillary lymph nodes, thus, the LNR is defined as metastatic lymph nodes (positive lymph nodes) divided by the total number of resected lymph nodes is more accurate than lymph node status alone (9,10). However, the predictive LNR status in the small sized tumors (less than 50 mm) is still unclear. Although a proportion of the analysis of the prognosis effect of the LNR was evaluated by the Surveillance, Epidemiology, and End Results (SEER) data or the National Cancer Database (NCDB), there has been less focus on data from a single institution especially from the archipelago of China. Moreover, the resected number of lymph node will be different in each hospital, thus the validation of the cut-off value for LNR in different hospital will also be essential for the more accurate evaluation of the prognostic value of LNR.
Furthermore, sex steroid hormones, especially estrogen, contribute to the development and progression of breast cancer, by combining to the estrogen receptor (ER) and triggering the ER signaling pathways (11). Androgen may exert both proliferative and anti-proliferative effect in mammary glands by converting to estrogens or acting as an estrogen antagonist (12). However, although circulating sex hormones associate with breast cancer risk, the potential prognostic value has still yielded inconsistent findings (13,14). Nevertheless, the correlation of pre-operational circulating sex hormones with the LNR is still unclear, additionally, postmenopausal women exhibit more stable hormone level, thus, the current study sought to reveal the relationship of these factors with the LNR to better understand the role of sex hormones in the postmenopausal patients with BC.
The Zhoushan archipelago is in eastern China and is composed of more than one thousand islands in which inhabitants have different dietary habits (15). The analysis of cases from archipelago will be a complement to the results from mainland. To better understand the prognostic state of breast cancer with tumor sizes less than 50 mm in these patients, we analyzed the potential risk factors, especially the LNR and its correlation with circulating sex hormone concentration in pathological T1/2 breast cancer patients. We present the following article in accordance with the STROBE reporting checklist (available at https://atm.amegroups.com/article/view/10.21037/atm-22-2039/rc).
Methods
Patients
A retrospective study was undertaken, in which a total of 732 patients with pathological T1–T2 (pT1–2) breast cancer who accepted surgical resection in the Department of Mammary Gland Disease at the Zhoushan hospital from January 2010 to December 2020 were enrolled retrospectively. Of these, 297 (40.6%) were pT1and 435 (59.4%) were pT2 breast cancer patients. The study was conducted in accordance with the Declaration of Helsinki (as revised in 2013). The study was approved by the Ethical Review Committee of Zhoushan Hospital (No. 2022052) and informed consent was waived for this retrospective analysis.
Data collection
The data of patients were collected from the electronic medical records of Zhoushan Hospital, Zhejiang Province. The demographic characteristics of patients included age, sex, menopause, family history of cancer, personal history of cancer, and other specifications including the pathological tumor size, pathological type, lymph node status, estrogen receptor (ER), progesterone receptor (PR), human epidermal growth factor 2 (HER2), Ki-67 index, serum hormone levels, including estrogen, progesterone, prolactin, follicle-stimulating hormone (FSH), luteinizing hormone (LH), testosterone, and serum carbohydrate antigen 153 (CA153), CA125, carcinoma embryonic antigen (CEA) as well as breast surgery procedural details were collected. Pathology was determined according to the eighth edition of the American Joint Committee on Cancer (AJCC) staging system (16). The LNR was determined by the ratio of metastatic axillary lymph node (ALN) number to total number of ALN, and the cut-off of the LNR was evaluated by receive operator characteristic (ROC) curve. The exclusion criteria for patients were: (I) pathological tumor size more than 5.0 cm; (II) distant metastasis at the time of diagnosis; (III) personal history of breast cancer; (IV) lost to follow-up; (V) patients died within 30 days post-surgery.
Laboratory detection
Two pathologists determine the expression level of ER, PR, HER2, and Ki-67 which were assessed by immunohistochemical analysis. ER/PR positive cells more than 1% were determined as positive. HER2 negative and weakly positive (+) was determined as negative and strong positive (+++) was confirmed as positive. For positive (++) cases, further fluorescence in situ hybridization was used to define HER2 expression. Preoperational serum level of estrogen, progesterone, prolactin, FSH, LH, testosterone, and CA153, CA125, CEA of 732 patients with breast cancer were detected by Cobas e602 automated chemiluminescence analyzer (Roche, German).
Follow-up and deaths ascertainment
Disease progression information was obtained from the follow-up, medical records, or the imaging and clinical examination. The outpatient follow-up was performed by calls or from the motility data base from Zhoushan Center of Disease Control and Prevention. The time of follow-up from the date of surgical resection until the time of death, or the last date of follow up in October, 2021, defined overall survival (OS). Breast cancer specific survival (BCSS) was assessed as those with death caused by breast cancer.
Statistical analysis
GraphPad Prism 5.0 (GraphPad Software Inc., San Diego, CA), MedCalc Statistical Software version 15.8 (MedCalc Software bvba, Ostend, Belgium) and SPSS 17.0 (SPSS Institute, Chicago, IL, USA) were used to analyze the data. Descriptive variables were examined based on the QQ plot and Kolmogorov-Smirnov test to identify normal distribution and presented as median and interquartile range (IQR) or mean value ± standard deviation (SD), then Mann-Whitney U test or unpaired t-test were performed to analyze the differences of the categories. Pearson’s chi-squared test or Fisher’s exact test (T <1 or n<40) was conducted for the comparison of continuous variables. Correlation between the LNR and serum hormone levels and tumor markers was analyzed by Pearson or Spearman correlated test, and BCSS and OS were evaluated by Kaplan-Meier survival curves and log-rank test. Multivariate Cox’s proportional hazards regression model was used to identify prognostic factors with univariate analysis P≤0.05. All statistical tests were two-sided, with P value ≤0.05 considered as statistically significant.
Results
Demographic and clinicopathologic features of pathological T1/2 breast cancer patients
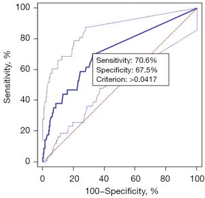
Demographic and clinic-pathologic characteristics are listed in Table 1 for the 732 breast cancer patients with a maximum pathological diameter of 50 mm or less. The LNR was calculated, and the cut-off value was defined by ROC curve according to the death of OS, and we defined 0.042 as the cut-off value at the maximum Youden index of 0.3807 with 0.713 of area under the ROC curve (AUC), 70.6% sensitivity, and 67.5% specificity (Figure 1). Patients were then divided into two groups based on the LNR value and the difference between both groups was analyzed. Of these, the LNR ≥0.042 group were more likely to associated with older age (P=0.017), larger tumor size (P<0.001), N stage (P<0.001), pathological type of IDC (P<0.001), Ki67 ≥14% (P=0.003), subtype (P=0.031), pathological stage (P<0.001), and cause of death (P<0.001). All other demographic and clinical characteristics were comparable between two groups (Table 1).
Table 1
| Characteristics | Total | LNR <0.042 | LNR ≥0.042 | P |
|---|---|---|---|---|
| Age (years), mean ± SD [range] | 56.3±10.7 [26–84] | 55.6±10.7 [28–84] | 57.6±10.6 [26–77] | 0.017* |
| Sex, n (%) | 0.499 | |||
| Male | 5 (0.7) | 4 (0.8) | 1 (0.4) | |
| Female | 727 (99.3) | 477 (99.2) | 250 (99.6) | |
| Family history of cancer, n (%) | 0.737 | |||
| No | 587 (80.2) | 203 (67.7) | 384 (88.9) | |
| Yes | 145 (19.8) | 97 (32.3) | 48 (11.1) | |
| Personal history of cancer, n (%) | 0.575 | |||
| No | 683 (93.3) | 447 (92.9) | 236 (94.0) | |
| Yes | 49 (6.7) | 34 (7.1) | 15 (6.0) | |
| Menopause, n (%) | 0.658 | |||
| No | 53 (10.0) | 32 (9.5) | 21 (10.7) | |
| Yes | 479 (90.0) | 304 (90.5) | 175 (89.3) | |
| Tumor size, n (%) | 2.66±1.2 | 2.53±1.2 | 2.90±1.2 | <0.001* |
| T1 | 297 (40.6) | 217 (45.1) | 80 (31.9) | 0.001* |
| T2 | 435 (59.4) | 264 (54.9) | 171 (68.1) | |
| Histological grade, n (%) | <0.019* | |||
| I | 25 (4.8) | 21 (6.7) | 4 (2.0) | |
| II | 251 (48.4) | 157 (49.8) | 94 (46.1) | |
| III | 243 (46.8) | 137 (43.5) | 106 (51.9) | |
| N stage, n (%) | <0.001* | |||
| N0 | 469 (64.1) | 469 (97.5) | 0 | |
| N1 | 169 (23.1) | 12 (2.5) | 157 (62.6) | |
| N2 | 56 (7.6) | 0 | 56 (22.3) | |
| N3 | 38 (5.2) | 0 | 38 (15.1) | |
| Pathological type, n (%) | <0.001* | |||
| Ductal carcinoma in situ | 46 (6.3) | 46 (9.6) | 0 | |
| IDC | 624 (85.2) | 384 (79.8) | 240 (95.6) | |
| ILC | 18 (2.5) | 12 (2.5) | 6 (2.4) | |
| Others | 44 (6.0) | 39 (8.1) | 5 (2.0) | |
| ER status, n (%) | 0.213 | |||
| Positive | 471 (65.5) | 301 (63.9) | 170 (68.5) | |
| Negative | 248 (34.5) | 170 (36.1) | 78 (31.5) | |
| PR status, n (%) | 0.295 | |||
| Positive | 407 (56.6) | 260 (55.2) | 147 (59.3) | |
| Negative | 312 (43.4) | 211 (44.8) | 101 (40.7) | |
| HER2 status, n (%) | 0.867 | |||
| Positive | 284 (39.5) | 149 (34.3) | 99 (34.9) | |
| Negative | 435 (60.5) | 286 (65.7) | 185 (65.1) | |
| Ki67, n (%) | 0.003* | |||
| <14% | 238 (35.1) | 173 (39.1) | 65 (27.5) | |
| ≥14% | 441 (64.9) | 270 (60.9) | 171 (72.5) | |
| Subtype, n (%) | 0.031* | |||
| Luminal A | 155 (21.5) | 112 (23.8) | 43 (17.4) | |
| Luminal B | 335 (46.6) | 201 (42.7) | 134 (54.0) | |
| HER2 | 102 (14.2) | 70 (14.9) | 32 (12.9) | |
| TNBC | 127 (17.7) | 88 (18.7) | 39 (15.7) | |
| Pathological stage, n (%) | <0.001* | |||
| I and IIA | 529 (72.3) | 470 (97.7) | 59 (23.5) | |
| IIB and III | 203 (27.7) | 11 (2.3) | 192 (76.5) | |
| Cause of death, n (%) | <0.001* | |||
| Alive | 698 (95.4) | 471 (98.0) | 227 (90.4) | |
| Breast cancer | 20 (2.7) | 5 (1.0) | 15 (6.0) | |
| Other | 14 (1.9) | 5 (1.0) | 9 (3.6) |
*, P<0.05. LNR, lymph node ratio; IDC, invasive ductal carcinoma; ILC, invasive lobular carcinoma; ER, estrogen receptor; PR, progesterone receptor; HER2, human epidermal growth factor 2; TNBC, triple negative breast cancer.
Correlation of LNR with preoperational serum hormone concentration and tumor markers
We then analyzed correlation of the LNR with the preoperational serum hormone in postmenopausal patients, and CA153, CA125, and CEA levels in whole cohort. Among postmenopausal T1/2 patients, FSH and LH levels were significantly lower in patients with LNR ≥0.042 than in patients with LNR <0.042 (P=0.001, 0.006, respectively; Table 2), whereas CA153 and CEA levels were obviously higher in patients with ≥0.042 than in the LNR <0.042 group (P<0.001, 0.002, respectively; Table 2). Preoperational serum estradiol progesterone, prolactin, and testosterone in postmenopausal patients and CA125 concentrations in all patients were comparable between the two cohorts (Table 2). Spearman correlation analysis revealed FSH and LH levels were significantly negatively associated with the LNR (P=0.007, 0.011, respectively; Table 3, Figure 2), whereas CA153, CA125 and CEA were positively correlated with it (P<0.001, <0.001, 0.001, respectively; Table 3, Figure 2). Estradiol, progesterone, prolactin, and testosterone level had no obvious correlation with the LNR (Table 3, Figure 2).
Table 2
| Characteristics | LNR <0.042 | LNR ≥0.042 | P | |||
|---|---|---|---|---|---|---|
| n | Mean ± SD/median (IQR) | n | Mean ± SD/median (IQR) | |||
| Estradiol (pmol/L) | 286 | 90.2±138.0 | 165 | 97.2±165.8 | 0.630a | |
| Progesterone (nmol/L) | 286 | 1.8±3.2 | 163 | 1.9±4.5 | 0.818a | |
| Prolactin (mIU/L) | 286 | 166.0±248.3 | 165 | 152.1±159.8 | 0.520a | |
| FSH (mIU/L) | 285 | 68.6 (56.4–87.2) | 165 | 62.2 (44.8–78.7) | 0.001*b | |
| LH (mIU/L) | 286 | 27.2 (20.1–34.4) | 164 | 24.2 (16.7–31.6) | 0.006*b | |
| Testosterone (nmol/L) | 286 | 1.1±1.0 | 164 | 1.0±0.9 | 0.124a | |
| CA153 (U/mL) | 359 | 8.9 (6.6–12.8) | 192 | 10.3 (7.7–16.8) | <0.001*b | |
| CA125 (U/mL) | 359 | 14.6±14.0 | 192 | 17.7±33.0 | 0.126a | |
| CEA (ng/mL) | 359 | 1.6 (1.1–2.4) | 193 | 1.9 (1.3–2.9) | 0.002*b | |
*, P<0.05 by a, t-test, b, Mann-Whitney U test. LNR, lymph node ratio; FSH, follicle-stimulating hormone; LH, luteinizing hormone; CA153, carbohydrate antigen 153; CA125, carbohydrate antigen 125; CEA, carcinoma embryonic antigen; SD, standard deviation; IQR, interquartile range.
Table 3
| Characteristics | r | P |
|---|---|---|
| Estradiol | −0.022 | 0.640a |
| Progesterone | −0.003 | 0.950a |
| Prolactin | −0.059 | 0.210a |
| FSH | −0.128 | 0.007*b |
| LH | −0.120 | 0.011*b |
| Testosterone | −0.051 | 0.285 a |
| CA153 | 0.206 | <0.001*b |
| CA125 | 0.165 | <0.001*a |
| CEA | 0.145 | 0.001*b |
*, P<0.05 by a, Pearson test, b, Spearman test. LNR, lymph node ratio; FSH, follicle-stimulating hormone; LH, luteinizing hormone; CA153, carbohydrate antigen 153; CA125, carbohydrate antigen 125; CEA, carcinoma embryonic antigen.
BCSS and OS for pathological T1/2 breast cancer
The mean follow-up time was 67±38 months with a range of 3–144 months. Patients with an LNR ≥0.042 exhibited worse BCSS and OS than others (P<0.001, <0.001, respectively; Figure 3) in pT1/2 breast cancer. To further explore the predicted prognosis of the LNR, we further analyzed the subgroup survival according to the LNR status. Among patients with pT1 breast cancer, the LNR ≥0.042 group showed significantly worse OS than the LNR <0.042 group whereas BCSS was comparable between the two groups (P=0.039, 0.885, respectively; Figure 4). The LNR ≥0.042 group were also observed to have worse BCSS and OS in patients with pT2 breast cancer (P=0.001, 0.001, respectively; Figure 4). In addition, among patients with non TNBC and TNBC subtypes, the LNR ≥0.042 group also exhibited worse BCSS and OS than the LNR <0.042 group (P=0.003, 0.001, and P=0.032, 0.001, respectively; Figure 5).
Univariate and multivariate analysis for pathological T1/2 breast cancer
We used a ROC curve to define the cut-off value of circulating sex hormone concentration in postmenopausal patients and tumor markers for BCSS and OS, and the cut-off values are listed in Table 4. As the cut-off of Ki67 at 30% had significant predictive potential for survival outcome, this was used for analysis (17). The results of univariate and multivariate Cox proportional regression analysis for BCSS and OS are summarized in Table 5. In univariate analysis, an unfavorable BCSS was related to older age (P=0.015), pT2 stage (P=0.028), Ki67 >30% (P=0.031), TNBC subtype (P=0.043), N2 and N3 stage (P<0.001), LNR ≥0.042 (P=0.001), and advanced pathological stage (P<0.001). An unfavorable OS was associated with older age (P=0.003), personal history of cancer (P=0.002), pT2 stage (P=0.048), Ki67 >30% (P=0.032), TNBC subtype (P=0.031), N2 and N3 stage (P<0.001), LNR ≥0.042 (P<0.001), progesterone level >0.65 pmol/L (P=0.013) and advanced pathological stage (P<0.001). Multivariate analysis demonstrated age more than 55 years (HR =4.281, 95% CI: 1.353–13.545, P=0.013), TNBC subtype (HR =1.449, 95% CI: 1.097–1.914, P=0.009), and lymph node metastasis (HR =4.720, 95% CI: 1.358–16.398, P=0.015) were independent predictors of reduced BCSS (Figure 6A), while for OS in T1/2 breast cancer patients, a personal history of cancer (HR =7.235, 95% CI: 2.623–19.956, P<0.001) and TNBC subtype (HR =1.364, 95% CI: 1.094–1.699, P=0.006) were independent predictors (Figure 6B).
Table 4
| Characteristics | AUC | Youden index | Cut-off | Sensitivity | Specificity | P |
|---|---|---|---|---|---|---|
| Estradiol | 0.588 | 0.2097 | ≤43 | 57.1 | 63.8 | 0.1032 |
| Progesterone | 0.650 | 0.3067 | ≤0.65 | 55.6 | 75.1 | 0.0115* |
| Prolactin | 0.551 | 0.2704 | ≤16.19 | 46.4 | 80.6 | 0.4437 |
| FSH | 0.529 | 0.1515 | ≤56 | 46.4 | 68.7 | 0.6189 |
| LH | 0.533 | 0.1489 | ≤29.96 | 77.8 | 37.1 | 0.5742 |
| Testosterone | 0.606 | 0.2632 | ≤0.42 | 53.6 | 72.8 | 0.0897 |
| CA153 | 0.542 | 0.1457 | ≤9.9 | 66.7 | 47.9 | 0.4762 |
| CA125 | 0.554 | 0.1812 | ≤10.7 | 63.0 | 55.2 | 0.3788 |
| CEA | 0.572 | 0.1960 | >1.57 | 74.1 | 45.5 | 0.2720 |
| LNR | 0.713 | 0.3807 | >0.0417 | 70.6 | 67.5 | <0.0001* |
*, P<0.05. ROC, receiver operative characteristic; AUC, area under the ROC curve; LNR, lymph node ratio; FSH, follicle-stimulating hormone; LH, luteinizing hormone; CA153, carbohydrate antigen 153; CA125, carbohydrate antigen 125; CEA, carcinoma embryonic antigen.
Table 5
| Factor | Univariate analysis | Multivariate analysis | |||||
|---|---|---|---|---|---|---|---|
| HR | 95% CI | P | HR | 95% CI | P | ||
| Breast cancer-specific survival | |||||||
| Age (<55 vs. ≥55 years) | 3.498 | 1.270–9.631 | 0.015* | 4.281 | 1.353–13.545 | 0.013* | |
| Family history of cancer (no vs. yes) | 1.753 | 0.838–3.669 | 0.136 | ||||
| Personal history of cancer (no vs. yes) | 2.120 | 0.491–9.150 | 0.314 | ||||
| Tumour size (pT1 vs. pT2) | 3.959 | 1.160–13.516 | 0.028* | 4.199 | 0.794–22.207 | 0.091 | |
| Histological grade (I and II vs. III) | 0.794 | 0.282–2.234 | 0.662 | ||||
| Pathological type (ductal carcinoma in situ vs. IDC, ILC and others) | 0.216 | 0.001–33.409 | 0.551 | ||||
| ER status (negative vs. positive) | 0.664 | 0.275–1.602 | 0.362 | ||||
| PR status (negative vs. positive) | 0.542 | 0.221–1.330 | 0.181 | ||||
| HER2 status (negative vs. positive) | 0.553 | 0.182–1.676 | 0.295 | ||||
| Ki67 (≤30% vs. >30%) | 2.895 | 1.101–7.610 | 0.031* | 1.348 | 0.464–3.913 | 0.583 | |
| Subtype (Luminal A, B and HER2 vs. TNBC) | 1.261 | 1.008–1.579 | 0.043* | 1.449 | 1.097–1.914 | 0.009* | |
| Lymph node metastasis (N0, N1 vs. N2, N3) | 8.785 | 3.627–21.274 | <0.001* | 4.720 | 1.359–16.398 | 0.015* | |
| LNR (<0.042 vs. ≥0.042) | 5.253 | 1.909–14.458 | 0.001* | 1.740 | 0.119–25.556 | 0.686 | |
| Progesterone (≤0.65 vs. >0.65 pmol/L) | 0.474 | 0.191–1.174 | 0.107 | ||||
| Pathological stage (stage I and IIA vs. IIB and III) | 2.776 | 1.673–4.606 | <0.001* | 1.313 | 0.321–5.361 | 0.705 | |
| Overall survival | |||||||
| Age (<55 vs. ≥55 years) | 3.241 | 1.465–6.733 | 0.003* | 2.275 | 0.966–5.360 | 0.060 | |
| Family history of cancer (no vs. yes) | 1.753 | 0.838–3.669 | 0.136 | ||||
| Personal history of cancer (no vs. yes) | 3.912 | 1.618–9.461 | 0.002* | 7.235 | 2.623–19.956 | <0.001* | |
| Tumour size (pT1 vs. pT2) | 2.224 | 1.006–4.914 | 0.048* | 1.743 | 0.588–5.167 | 0.316 | |
| Histological grade (I and II vs. III) | 0.832 | 0.368–1.878 | 0.658 | ||||
| Pathological type (ductal carcinoma in situ vs. IDC, ILC and others) | 0.215 | 0.005–8.878 | 0.418 | ||||
| ER status (negative vs. positive) | 0.799 | 0.405–1.578 | 0.518 | ||||
| PR status (negative vs. positive) | 0.706 | 0.360–1.387 | 0.312 | ||||
| HER2 status (negative vs. positive) | 0.838 | 0.397–1.773 | 0.645 | ||||
| Ki67 (≤30% vs. >30%) | 2.224 | 1.073–4.609 | 0.032* | 1.247 | 0.537–2.893 | 0.607 | |
| Subtype (Luminal A, B and HER2 vs. TNBC) | 1.214 | 1.018–1.449 | 0.031* | 1.364 | 1.094–1.699 | 0.006* | |
| Lymph node metastasis (N0, N1 vs. N2, N3) | 4.925 | 2.483–9.768 | <0.001* | 1.956 | 0.769–4.979 | 0.159 | |
| LNR (<0.042 vs. ≥0.042) | 4.268 | 2.041–8.928 | <0.001* | 2.114 | 0.382–11.687 | 0.391 | |
| Progesterone (≤0.65 vs. >0.65 pmol/L) | 0.418 | 0.210–0.832 | 0.013* | 0.652 | 0.292–1.455 | 0.296 | |
| Pathological stage (stage I and IIA vs. IIB and III) | 2.311 | 1.613–3.310 | <0.001* | 1.419 | 0.570–3.537 | 0.452 | |
*, P<0.05. HR, hazard ratio; CI, confidence interval; LNR, lymph node ratio; IDC, invasive ductal carcinoma; ILC, invasive lobular carcinoma; ER, estrogen receptor; PR, progesterone receptor; HER2, human epidermal growth factor 2; TNBC, triple negative breast cancer.
Discussion
We surveyed the prognostic value of the lymph node ratio in a cohort of 732 pT1/2 breast cancer patients with surgical resection from the eastern China islands. We firstly identified a cut-off value of the LNR according to the mortality of the cohort and found that a higher LNR was associated with advanced tumor progression. Extended BCSS and OS were observed in the group with an LNR less than 0.042, as well as that in the subgroup of pT1 and pT2, non-TNBC, and TNBC subgroups. In particular, we demonstrated correlation of the LNR with preoperational sex hormone concentration in postmenopausal cases, and revealed that FSH and LH levels were significantly negatively associated with the LNR, whereas CA153 and CEA were positively correlated with it in whole cohort.
While pN status was a crucial factor for anatomic TNM staging for the prediction of metastasis and prognosis of breast cancer patients, recent studies suggest the LNR is more accurate than pN status by reducing the variability of lymph node dissection and the standardization may be set up in the near future (6,10,18). We identified the cut-off value of the LNR as 0.042 based on our cohort, which was lower than that be reported in other studies, and may be because a greater percentage of our patients had early-stage disease, and there were different patient sources between institutions (19,20). Furthermore, we firstly focused on all stage patients with or without lymph node metastasis. Our results showed a higher LNR obviously correlated with older age, larger tumor size, N stage, pathological type of IDC, Ki67 ≥14%, subtype, and pathological stage, which is consistent with previous studies (20,21). Moreover, in line with other studies, our results showed the LNR presented as a superior predictor in the survival outcome of pT1/2 breast cancer regardless of BCSS or OS (19,22,23). Breast cancer is considered a heterogeneous neoplasm, and different molecular subtypes are associated with distinct lymph node metastasis. In some molecular subtypes, the increased risk is observed in the lymph node involvement group (24,25). Liao and colleagues demonstrated pNs have no association with breast cancer whereas the LNR had a higher ratio and worse survival outcome in molecular subgroups (20). In our cohorts, a lower LNR exhibited extended BCSS and OS regardless of TNBC and non-TNBC grouping. Additionally, patients with an LNR above the threshold had worse OS than patients below the threshold, but this did not relate significantly with BCSS in pT1 patients. Larger cohort studies are required to verify the results.
Ultimately, univariate analysis demonstrated unfavorable BCSS and OS were related with the LNR above the cut-off value in T1/2 breast cancer patients, which is a result similar to that obtained by Vinh-Hung (18,26). However, in multivariate analysis, only the TNBC subtype was an independent predictor of reduced BCSS and OS, which may be because of a different case source and the number of early-stage patients in our cohort (7,10).
Notably, we first evaluated correlation of the LNR with preoperational sex hormone and tumor marker levels. Postmenopausal women have relatively stable sex hormone level, thus they were enrolled in the analysis of the correlation between LNR and sex hormone in the study. Our cohort revealed the LNR had a significant negative association with FSH and LH level in postmenopausal cases, whereas a positive correlation with the CA153, CA125, and CEA levels was seen in whole cohort. Previous study had revealed that patients operated on luteal phase of the menstrual cycle had a better prognosis than that operated on other phased, high LH concentration might play unopposed estrogens role in BC patients (27). Moreover, unlike BC patients with higher serum estradiol level had worse prognosis, preoperational FSH was not a useful predictor for the prognosis in pre- and postmenopausal BC patients (28,29). Furthermore, Lourdes and colleagues reported that FSH and LH had an inverse trend with the correlation with lymph node invasion, and FSH was related negatively with CEA in postmenopausal BC patients (30). Consistently, our results also revealed a negative relationship between LNR and serum level of FSH and LH in postmenopausal patients, BC patients might have complex endocrine environment in the progression, further study should be conducted to validate the function of sex hormone in BC development.
Our survey has several limitations, including its retrospective nature, lack of randomization, inclusion of lymph node negative patients, patients from single institution in the eastern China islands, the deficiency of treatment status of patients, and small sample size, any of which may have brought about inevitable and selective bias.
In conclusion, our study demonstrates that among pT1/2 breast cancer patients from the eastern China islands, the LNR is a predictive prognosis factor, and a higher LNR correlates with a worse survival outcome in whole group or subgroups. Strikingly, the current results reveal that serum FSH and LH level inversely related with axillary node invasion in postmenopausal cases, whereas tumor markers directly associated with it. The LNR is an informative factor complementing TNM staging.
Acknowledgments
Funding: This research was supported in part by grants from the Health Commission of Zhoushan, Zhejiang Province (China) (No. 2021RC01) and from the funding of 325 Health High Level Talents of Zhejiang Province to WYZ. The funders had no role in the study design, data collection or analysis, decision to publish, or preparation of the manuscript.
Footnote
Reporting Checklist: The authors have completed the STROBE reporting checklist. Available at https://atm.amegroups.com/article/view/10.21037/atm-22-2039/rc
Data Sharing Statement: Available at https://atm.amegroups.com/article/view/10.21037/atm-22-2039/dss
Conflicts of Interest: All authors have completed the ICMJE uniform disclosure form (available at https://atm.amegroups.com/article/view/10.21037/atm-22-2039/coif). The authors have no conflicts of interest to declare.
Ethical Statement: The authors are accountable for all aspects of the work in ensuring that questions related to the accuracy or integrity of any part of the work are appropriately investigated and resolved. The study was conducted in accordance with the Declaration of Helsinki (as revised in 2013). The study was approved by the Ethical Review Committee of Zhoushan Hospital (No. 2022052) and informed consent was waived for this retrospective analysis.
Open Access Statement: This is an Open Access article distributed in accordance with the Creative Commons Attribution-NonCommercial-NoDerivs 4.0 International License (CC BY-NC-ND 4.0), which permits the non-commercial replication and distribution of the article with the strict proviso that no changes or edits are made and the original work is properly cited (including links to both the formal publication through the relevant DOI and the license). See: https://creativecommons.org/licenses/by-nc-nd/4.0/.
References
- Sung H, Ferlay J, Siegel RL, et al. Global Cancer Statistics 2020: GLOBOCAN Estimates of incidence and mortality worldwide for 36 cancers in 185 countries. CA Cancer J Clin 2021;71:209-49. [Crossref] [PubMed]
- Sopik V, Narod SA. The relationship between tumour size, nodal status and distant metastases: on the origins of breast cancer. Breast Cancer Res Treat 2018;170:647-56. [Crossref] [PubMed]
- Wo JY, Chen K, Neville BA, et al. Effect of very small tumor size on cancer-specific mortality in node-positive breast cancer. J Clin Oncol 2011;29:2619-27. [Crossref] [PubMed]
- Yu KD, Jiang YZ, Chen S, et al. Effect of large tumor size on cancer-specific mortality in node-negative breast cancer. Mayo Clin Proc 2012;87:1171-80. [Crossref] [PubMed]
- Jin ML, Gong Y, Pei YC, et al. Modified lymph node ratio improves the prognostic predictive ability for breast cancer patients compared with other lymph node staging systems. Breast 2020;49:93-100. [Crossref] [PubMed]
- Lawn AM, Frampton AE, Krell J, et al. Lymph node ratio can further stratify prognosis in subpopulations of breast cancer patients with axillary nodal metastases. Future Oncol 2013;9:1425-31. [Crossref] [PubMed]
- Dings PJ, Elferink MA, Strobbe LJ, et al. The prognostic value of lymph node ratio in node-positive breast cancer: a Dutch nationwide population-based study. Ann Surg Oncol 2013;20:2607-14. [Crossref] [PubMed]
- Teng J, Abdygametova A, Du J, et al. Bayesian inference of lymph node ratio estimation and survival prognosis for breast cancer patients. IEEE J Biomed Health Inform 2020;24:354-64. [Crossref] [PubMed]
- Wiznia LE, Lannin DR, Evans SB, et al. The Number of Lymph nodes dissected in breast cancer patients influences the accuracy of prognosis. Annals of Surgical Oncology 2014;21:389-94. [Crossref] [PubMed]
- Wang MS, Wang MZ, Wang Z, et al. Comparison of three lymph node staging methods for predicting outcome in breast cancer patients with mastectomy. Ann Transl Med 2021;9:300. [Crossref] [PubMed]
- Yager JD, Davidson NE. Estrogen carcinogenesis in breast cancer. N Engl J Med 2006;354:270-82. [Crossref] [PubMed]
- Brettes JP, Mathelin C. Dual effects of androgens on mammary gland. Bull Cancer 2008;95:495-502. [PubMed]
- Kensler KH, Eliassen AH, Rosner BA, et al. Pre-diagnostic sex hormone levels and survival among breast cancer patients. Breast Cancer Res Treat 2019;174:749-58. [Crossref] [PubMed]
- Berrino F, Pasanisi P, Bellati C, et al. Serum testosterone levels and breast cancer recurrence. Int J Cancer 2005;113:499-502. [Crossref] [PubMed]
- Zhu WY, Li HF, Fang KX, et al. Epidermal growth factor receptor mutations and their prognostic value with carcinoembryonic antigen in pathological T1 lung adenocarcinoma. Dis Markers 2018;2018:2942618. [Crossref] [PubMed]
- Giuliano AE, Connolly JL, Edge SB, et al. Breast Cancer-Major changes in the American Joint Committee on Cancer eighth edition cancer staging manual. CA Cancer J Clin 2017;67:290-303.
- Zhu X, Chen L, Huang B, et al. The prognostic and predictive potential of Ki-67 in triple-negative breast cancer. Sci Rep 2020;10:225. [Crossref] [PubMed]
- Vinh-Hung V, Everaert H, Gorobets O, et al. Breast cancer preoperative (18)FDG-PET, overall survival prognostic separation compared with the lymph node ratio. Breast Cancer 2021;28:956-68. [Crossref] [PubMed]
- Vinh-Hung V, Verkooijen HM, Fioretta G, et al. Lymph node ratio as an alternative to pN staging in node-positive breast cancer. J Clin Oncol 2009;27:1062-8. [Crossref] [PubMed]
- Liao GS, Chou YC, Golshan M, et al. Prognostic value of the lymph node ratio in breast cancer subtypes. Am J Surg 2015;210:749-54. [Crossref] [PubMed]
- Lindfors H, Ihre Lundgren C, Zedenius J, et al. The clinical significance of lymph node ratio and Ki-67 expression in papillary thyroid cancer. World J Surg 2021;45:2155-64. [Crossref] [PubMed]
- Bai LS, Chen C, Gong YP, et al. Lymph node ratio is more predictive than traditional lymph node stratification in lymph node positive invasive breast cancer. Asian Pac J Cancer Prev 2013;14:753-7. [Crossref] [PubMed]
- De la Cruz-Ku GA, Chambergo-Michilot D, Valcarcel B, et al. Lymph node ratio as best prognostic factor in triple-negative breast cancer patients with residual disease after neoadjuvant chemotherapy. Breast J 2020;26:1659-66. [Crossref] [PubMed]
- Howland NK, Driver TD, Sedrak MP, et al. Lymph node involvement in immunohistochemistry-based molecular classifications of breast cancer. J Surg Res 2013;185:697-703. [Crossref] [PubMed]
- Prat A, Adamo B, Cheang MC, et al. Molecular characterization of basal-like and non-basal-like triple-negative breast cancer. Oncologist 2013;18:123-33. [Crossref] [PubMed]
- Vinh-Hung V, Joseph SA, Coutty N, et al. Age and axillary lymph node ratio in postmenopausal women with T1-T2 node positive breast cancer. Oncologist 2010;15:1050-62. [Crossref] [PubMed]
- Veronesi U, Luini A, Mariani L, et al. Effect of menstrual phase on surgical treatment of breast cancer. Lancet 1994;343:1545-7. [Crossref] [PubMed]
- Eskelinen M, Nordén T, Lindgren A, et al. Preoperative serum levels of follicle stimulating hormone (FSH) and prognosis in invasive breast cancer. Eur J Surg Oncol 2004;30:495-500. [Crossref] [PubMed]
- Kim JY, Han W, Moon HG, et al. Prognostic effect of preoperative serum estradiol level in postmenopausal breast cancer. BMC Cancer 2013;13:503. [Crossref] [PubMed]
- Hernández L, Nuñez-Villarl MJ, Martínez-Arribas F, et al. Circulating hormone levels in breast cancer patients. correlation with serum tumor markers and the clinical and biological features of the tumors. Anticancer Res 2005;25:451-4. [PubMed]
(English Language Editor: B. Draper)

