Clinicopathological features and prognosis of bilateral breast cancer: a single-center cohort study based on Chinese data
Introduction
According to the most recent Global Cancer Incidence, Mortality and Prevalence report, in 2020, breast cancer in women surpassed lung cancer as the most common cancer type (1). Bilateral breast cancer (BBC) is rare, and features of BBC in China have not been fully studied. If BBC is diagnosed in both breasts virtually simultaneously, it is referred to as synchronous bilateral breast cancer (SBBC). Successive diagnosis of BBC is called metachronous bilateral breast cancer (MBBC). A meta-analysis showed that the incidence of SBBC and MBBC in patients with breast cancer was 2% [95% confidence interval (CI): 2–3%] and 3% (95% CI: 2–5%), respectively (2). The time interval to distinguish between SBBC and MBBC is still controversial, ranging from 3 months to 5 years (3-7). The World Health Organization (WHO) defined the threshold as 3 months (8).
At present, most of the data about clinical, pathological characteristics, and prognosis of patients with BBC come from Caucasian patients residing in Europe and America. There are significant differences in the conclusions of available studies. Some studies have shown that the survival of patients with SBBC is similar to that of those with MBBC. However, other studies have shown that the prognosis of SBBC patients is significantly worse than that of those with MBBC. In addition, the prognostic difference between patients with BBC and unilateral breast cancer (UBC) is also controversial (2,9). Few studies are available based on Chinese data in this area, and the available studies were published some time ago (10-12). Ethnic differences and recent progress in diagnosis and treatment may have a significant impact on the characteristics of the disease. Therefore, based on female patients with BBC in China, this study chose patients with UBC as the control group and retrospectively analyzed clinical and pathological features and the prognosis of patients with SBBC and MBBC treated in a large general hospital in China over the past 13 years. The purpose of this study was to understand the differences between Chinese patients with BBC and UBC to provide evidence-based medical evidence to guide clinical practice. We present the following article in accordance with the STROBE reporting checklist (available at https://atm.amegroups.com/article/view/10.21037/atm-21-5400/rc).
Methods
Participants
This study was a single center cohort study. We extracted all patients with BBC from the database of breast cancer patients who underwent surgery between 1 January 2007 to 31 December 2019, at the First Medical Center of Chinese People’s Liberation Army (PLA) General Hospital, including patients with SBBC and MBBC. The exclusion criteria were as follows: (I) patients newly diagnosed with stage IV breast cancer; (II) patients with missing important clinicopathological data; and (III) patients who underwent bilateral breast surgeries where surgery in one of the breasts was not performed at the First Medical Center of Chinese PLA General Hospital.
After determining the number of patients with BBC, assuming that the critical data loss rate is 15%, UBC patients who received surgical treatment at the same time were randomly selected from the above database as the control group at a ratio of 1:2. The exclusion criteria were as follows: patients with newly diagnosed stage IV breast cancer or missing important clinicopathological data.
Following the WHO classification, SBBC was defined as BBC diagnosed within an interval of 3 months, and MBBC was defined as BBC diagnosed within an interval exceeding 3 months. All data were independently checked and reviewed by two clinicians.
The study was conducted in accordance with the Declaration of Helsinki (as revised in 2013). Individual consent for this retrospective analysis was waived. This study was approved by the Ethics Committee of Chinese PLA General Hospital (approval number: s2021-191-01).
Follow-up
Telephone and outpatient follow-up visits were conducted every year to assess survival, recurrence rate, and presence of metastases of patients, and the follow-up dates were recorded. In this study, contralateral breast cancer (CBC) in patients with MBBC was not classified as a recurrence or metastatic event. The deadline of follow-up was 29 January, 2021. Overall survival (OS) was calculated as the date of first diagnosis to death or the last known survival date. Disease-free survival (DFS) was calculated as the date of first diagnosis to tumor recurrence or metastasis (local or distant) or death or the known final survival date.
Variables and definitions
Clinicopathological factors
The data were extracted from the hospital information system (HIS), which included age at diagnosis of BBC; marital status; menopausal status; magnetic resonance imaging (MRI) history; body mass index (BMI); family history of breast cancer; family history of ovarian cancer; family history of other malignancies; nationality at first diagnosis of breast cancer; tumor-node-metastasis (TNM) stage; estrogen receptor (ER), progesterone receptor (PR), and human epidermal growth factor receptor 2 (HER-2) status; and surgery involving two tumors.
Definition of each factor
According to National Comprehensive Cancer Network (NCCN), patients with one of the following conditions were recognized as being menopausal: (I) prior bilateral oophorectomy; (II) age ≥60 years; (III) younger than 60 years, yet amenorrheic for 12 months or more in the absence of chemotherapy, endocrine therapy, or ovarian function suppression, follicle stimulating hormone (FSH) and estradiol (E2) were within the postmenopausal range; and (IV) younger than 60 years and taking endocrine drugs, with FSH and E2 within the postmenopausal range (13).
Patients who had undergone a breast enhancement MRI within 6 months prior to the diagnosis of breast cancer were considered to have an MRI history.
The BMI = weight (kg)/height2 (m2). According to the classification standard of the Work Group on Obesity in China (WGOC), people with a BMI <18.5 are considered underweight. People with a BMI between 18.5 and 23.9 are considered normal. People with a BMI ≥24 are considered overweight (14).
If one or more first- or second-degree relatives of patients had breast cancer, ovarian cancer, or other malignancies, the patient was considered to have a family history of breast cancer, ovarian cancer, or other malignancies.
Among bilateral breast neoplasms, the first tumor pathologically confirmed as breast cancer by needle or excision biopsy was referred to as the first tumor. The anatomical pathological TNM (pTNM) staging of tumors was defined according to the staging of the American Joint Committee on Cancer (15).
The definitions of ER, PR, HER-2 status, and surrogate subtypes of invasive carcinoma were as follows: according to tumor immunohistochemistry (IHC), nuclear staining of tumor cells ≥1% was considered ER- and PR-positive. Both ER- and PR-positive was defined as ER/PR-positive. Any or all of ER-, PR-negative was defined as ER/PR-negative. We considered HER-2 negative with 1+ or no expression and positive with 3+ expression. An HER-2 expression of 2+ was further evaluated on the basis of fluorescence in-situ hybridization (FISH). Surrogate subtypes of invasive carcinoma were defined according to the consensus statement of the 13th St. Gallen International Breast Cancer Conference (in 2013) (16).
Breast surgeries were categorized as simple mastectomy (SM), nipple-areolar complex sparing mastectomy (NSM), and breast-conserving surgery (BCS). Axillary surgeries were divided into sentinel lymph node biopsy (SLNB) and axillary lymph node dissection (ALND). Adjuvant therapies were conducted in accordance with NCCN breast cancer clinical practice guidelines.
Statistical analysis
Data were analyzed using the software SPSS 25.0 (IBM Corp., Armonk, NY, USA). Univariate one-way analysis of variance (ANOVA) was used for the comparison of continuous variables among three groups. The independent sample t-test was used for the comparison of continuous variables between two groups. Normally distributed continuous variables were reported as mean ± standard deviation (SD) and non-normally distributed continuous variables were reported as median (minimum, maximum). Categorical variables were expressed as percentages, and the chi-square test was used for comparisons. The 3-, 5-, and 10-year OS and DFS were calculated using the life table method. Survival curves were drawn using the Kaplan-Meier method and compared using the log rank test. The receiver operating characteristic (ROC) curve was used to calculate the cut-off age related to prognosis. Stratified analysis was performed using the age at first diagnosis and ER/PR status. Univariate analysis was conducted initially using Cox proportional hazards model. Variables with statistical significance in univariate analysis were then included in multivariate analysis to establish a model and identify independent risk factors of poor prognosis. The results of multivariate Cox regression were shown as forest plots using GraphPad Prism 8.4.3 (GraphPad Software, Inc., San Diego, CA, USA). A two-tailed P<0.05 was considered statistically significant.
Results
Population description
In all, 6,162 patients with breast cancer underwent surgery at the First Medical Center of Chinese PLA General Hospital from 1 January 2007 to 31 December 2019, including 178 (2.9%) patients with BBC and 5,984 (97.1%) patients with UBC. According to inclusion and exclusion criteria, 55 patients with MBBC were excluded, because one side of their breast surgeries was not performed in our hospital. In all, 123 (2%) patients with BBC were enrolled, including 98 (1.6%) patients in the SBBC group and 25 (0.4%) patients in the MBBC group. In the control group, 290 patients were randomly selected from patients with UBC. Nine patients with UBC were excluded due to important missing clinicopathological data, and one patient with UBC was excluded, because she had been newly diagnosed with stage IV breast cancer. As the final sample, 280 patients with UBC were included. A total of 403 patients with breast cancer were retrospectively analyzed. The study design is shown in Figure 1.
Clinical features
Baseline characteristics
The mean ages at first diagnosis in the SBBC, MBBC, and UBC groups were 53.99±10.61, 49.03±12.13, and 50.54±11.46 years, respectively. The SBBC group was significantly older than the UBC group (P=0.009). In the MBBC group, the mean age of patients diagnosed as CBC was 52.59±11.38 years, and the median interval between the diagnoses of the breast cancer on two sides was 42.69 (5.46–113.55) months. A total of 39 patients received neoadjuvant chemotherapy, and 9 of them (23.1%) achieved a pathological complete response (Table 1).
Table 1
| Characteristics | BBC | UBC | P value | ||||
|---|---|---|---|---|---|---|---|
| SBBC | MBBC | Overall | UBC vs. SBBC vs. MBBC | UBC vs. SBBC | UBC vs. MBBC | ||
| Age (years) (mean ± SD) | |||||||
| 1st cancer | 53.99±10.61 | 49.03±12.13 | 52.98±11.06 | 50.54±11.46 | 0.021* | 0.009* | 0.531 |
| 2nd cancer | 53.99±10.61 | 52.59±11.38 | 53.71±10.74 | – | 0.562 | – | – |
| Time interval between two cancers (months) (median, range) | 0.056 (0.00–2.17) | 42.69 (5.46–113.55) | 8.72 (0.00–113.55) | – | <0.001* | – | – |
| Marital status | 0.517 | 0.333 | 0.387 | ||||
| Not married | 0 (0.0%) | 0 (0.0%) | 0 (0.0%) | 5 (1.8%) | |||
| Married | 98 (100.0%) | 25 (100.0%) | 123 (100.0%) | 275 (98.2%) | |||
| Menopausal status | 0.032* | 0.193 | 0.025* | ||||
| Pre | 48 (49.0%) | 8 (32.0%) | 56 (45.5%) | 161 (57.5%) | |||
| Post | 50 (51.0%) | 17 (68.0%) | 67 (54.5%) | 119 (42.5%) | |||
| MRI receipt | 0.687 | 0.557 | 0.673 | ||||
| No | 53 (54.1%) | 16 (64.0%) | 69 (56.1%) | 161 (57.5%) | |||
| Yes | 45 (45.9%) | 9 (36.0%) | 54 (43.9%) | 119 (42.5%) | |||
| BMI (kg/m2) | 0.059 | 0.111 | 0.116 | ||||
| <18.5 | 0 (0.0%) | 2 (8.0%) | 2 (1.6%) | 7 (2.5%) | |||
| 18.5–24 | 42 (42.9%) | 9 (36.0%) | 51 (41.5%) | 140 (50.0%) | |||
| ≥24 | 56 (57.1%) | 14 (56.0%) | 70 (56.9%) | 133 (47.5%) | |||
| Nation | 0.236 | 0.154 | 0.706 | ||||
| Han | 95 (96.9%) | 24 (96.0%) | 119 (96.7%) | 258 (92.1%) | |||
| Others | 3 (3.1%) | 1 (4.0%) | 4 (3.3%) | 22 (7.9%) | |||
| Family history of breast cancer | 0.005* | 0.002* | 0.542 | ||||
| No | 87 (88.8%) | 24 (96.0%) | 111 (90.2%) | 272 (97.1%) | |||
| Yes | 11 (11.2%) | 1 (4.0%) | 12 (9.8%) | 8 (2.9%) | |||
| Family history of ovarian cancer | 0.309 | 0.162 | 1.000 | ||||
| No | 96 (98.0%) | 25 (100.0%) | 121 (98.4%) | 279 (99.6%) | |||
| Yes | 2 (2.0%) | 0 (0.0%) | 2 (1.6%) | 1 (0.4%) | |||
| Family history of other cancers | 0.122 | 0.072 | 0.362 | ||||
| No | 77 (78.6%) | 20 (80.0%) | 97 (78.9%) | 243 (86.8%) | |||
| Yes | 21 (21.4%) | 5 (20.0%) | 26 (21.1%) | 37 (13.2%) | |||
| Distance to hospital | 0.863 | 0.748 | 0.778 | ||||
| ≤2 cities | 84 (85.7%) | 22 (88.0%) | 106 (86.2%) | 235 (83.9%) | |||
| >2 cities | 14 (14.3%) | 3 (12.0%) | 17 (13.8%) | 45 (16.1%) | |||
| Gender of surgeon | 0.129 | 0.103 | 0.684 | ||||
| Male | 96 (98.0%) | 23 (92.0%) | 119 (96.7%) | 262 (93.6%) | |||
| Female | 2 (2.0%) | 2 (8.0%) | 4 (3.3%) | 18 (6.4%) | |||
| Neoadjuvant chemotherapy | 0.389 | 0.234 | 0.385 | ||||
| No | 92 (93.9%) | 23 (92.0%) | 115 (93.5%) | 249 (88.9%) | |||
| Yes | 6 (6.1%) | 2 (8.0%) | 8 (6.5%) | 31 (11.1%) | |||
| Oophorectomy | 0.129 | 0.403 | 0.108 | ||||
| No | 95 (96.9%) | 23 (92.0%) | 118 (95.9%) | 276 (98.6%) | |||
| Yes | 3 (3.1%) | 2 (8.0%) | 5 (4.1%) | 4 (1.4%) | |||
*, P<0.05 was considered statistically significant. BBC, bilateral breast cancer; UBC, unilateral breast cancer; SBBC, synchronous bilateral breast cancer; MBBC, metachronous bilateral breast cancer; SD, standard deviation; MRI, magnetic resonance imaging; BMI, body mass index.
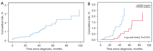
The cumulative hazard function of patients with CBC in UBC is shown in Figure 2A. Most women developed MBBC within 5 years from the date of first diagnosis, while the risk persisted after 5 years. Stratified by ER/PR status of the first tumor, patients with ER/PR (−) had a higher risk of CBC than patients with ER/PR (+) (P=0.010), and the risk of CBC continued over time (Figure 2B).
In the BBC group, 12 (9.8%) had a family history of breast cancer, 2 (1.6%) had a family history of ovarian cancer, and 26 (21.1%) had a family history of other malignant tumors. In the UBC group, the corresponding rates were 8 (2.9%), 1 (0.4%), and 37 (13.2%), respectively. The proportion of women with a family history of breast cancer in the SBBC group (n=11, 11.2%) was significantly higher than that in the MBBC (n=1, 4.0%) and the UBC groups (n=8, 2.9%) (P=0.005).
The proportion of postmenopausal patients in the BBC and UBC groups were 67 (54.5%) and 119 (42.5%), respectively. The proportion of postmenopausal patients in the MBBC group (n=17, 68.0%) was significantly higher than that in the SBBC (n=50, 51.0%) and UBC groups (n=119, 42.5%) (P=0.032). There were no statistical differences in other characteristics between the groups (Table 1).
Surgical characteristics
Breast surgery
In the SBBC group, 93 (94.9%) underwent bilateral breast surgery using the same type of surgery and 5 (5.1%) using different types of surgery with SM for the first tumor and BCS in the case of CBC. In the MBBC group, 24 (96.0%) underwent bilateral breast surgery using the same type of surgery and 1 (4.0%) using different types of surgery. Only one patient was treated with SM for the first tumor and NSM for CBC, considering the position of the preoperative puncture needle path.
For breast reconstruction, 3 (3.1%) patients in the SBBC group were implanted with an expander. Only one patient then underwent prosthesis replacement, and the other two patients had the expander removed later. No breast reconstruction was performed in the MBBC group. Four (1.4%) patients in the UBC group underwent breast reconstruction with primary expander implantation and subsequent prosthesis replacement.
The UBC group (n=30, 10.7%) had a higher breast conserving rate, while 3 (3.1%) patients in the SBBC group and 2 (8%) in the MBBC group underwent BCS for the first tumor. Compared with the UBC group, the SBBC group had a higher proportion of NSM (11.2% vs. 4.6%, respectively) for the first tumor, and the MBBC group had a higher proportion of SM (92.0% vs. 84.6%, respectively) for the first tumor, but the difference was not statistically significant.
Axillary surgery
Regarding the first tumor of the SBBC group, 5 (5.1%) did not receive axillary surgery, 32 (32.7%) underwent SLNB, and 61 (62.2%) underwent ALND. The axillary surgery of CBC in patients with SBBC was similar.
In the MBBC group, 3 (12.0%) underwent SLNB, and 22 (88.0%) underwent ALND for the first tumor. The number of patients receiving SLNB increased to 6 (24.0%), and that receiving ALND decreased to 17 (68.0%), and 2 (8.0%) patients did not receive axillary surgery in CBC (P=0.207).
Compared with the UBC group, the SBBC group had higher a proportion of SLNB (32.7% vs. 22.9%, respectively) for the first tumor, and the MBBC group had a higher proportion of ALND (88.0% vs. 73.9%, respectively) for the first tumor, but the difference was not statistically significant.
Regardless of whether breast or axillary surgery took place, there were no significant differences when comparing the SBBC, MBBC, and UBC groups, nor were there significant differences when bilateral tumors were compared in patients with BBC (see Table 2).
Table 2
| Characteristics | SBBC | MBBC | BBC 1st | UBC | P value* | |||||
|---|---|---|---|---|---|---|---|---|---|---|
| 1st | 2nd | P value | 1st | 2nd | P value | |||||
| Surgery of breast | 0.347 | 1.000 | 0.446 | |||||||
| SM | 84 (85.7%) | 79 (80.6%) | 23 (92.0%) | 22 (88.0%) | 107 (87.0%) | 237 (84.6%) | ||||
| NSM | 11 (11.2%) | 11 (11.2%) | 0 (0.0%) | 1 (4.0%) | 11 (8.9%) | 13 (4.6%) | ||||
| BCS | 3 (3.1%) | 8 (8.2%) | 2 (8.0%) | 2 (8.0%) | 5 (4.1%) | 30 (10.7%) | ||||
| Surgery of axillary | 0.988 | 0.207 | 0.075 | |||||||
| No | 5 (5.1%) | 5 (5.1%) | 0 (0.0%) | 2 (8.0%) | 5 (4.1%) | 9 (3.2%) | ||||
| SLNB | 32 (32.7%) | 33 (33.7%) | 3 (12.0%) | 6 (24.0%) | 35 (28.5%) | 64 (22.9%) | ||||
| ALND | 61 (62.2%) | 60 (61.2%) | 22 (88.0%) | 17 (68.0%) | 83 (67.5%) | 207 (73.9%) | ||||
*, UBC vs. SBBC 1st vs. MBBC 1st. BBC, bilateral breast cancer; UBC, unilateral breast cancer; SBBC, synchronous bilateral breast cancer; MBBC, metachronous bilateral breast cancer; SM, simple mastectomy; NSM, nipple-areolar complex sparing mastectomy; BCS, breast conserving surgery; SLNB, sentinel lymph node biopsy; ALND, axillary lymph node dissection.
Pathological features
Compared with the UBC group, the first tumor in the SBBC group was significantly more often a non-infiltrative (21.4% vs. 5.7%, respectively) or luminal A type (54.5% vs. 17.8%, respectively) carcinoma and more likely to have a lower pTNM stage (stage 0: 19.4% vs. 5.0%, respectively), and the first tumor in the MBBC group was more likely to be a triple-negative breast cancer (45.3% vs. 12.5%, respectively) and to have ER/PR negativity (60.0% vs. 22.9%, respectively) and a higher pTNM stage (stage III: 36.0% vs. 19.3%, respectively). In the MBBC group, the proportion of CBC that was non-infiltrative cancer increased by 20% (1st: 8%, 2nd: 28%), but the difference was not statistically significant (see Table 3).
Table 3
| Characteristics | BBC 1st | UBC | P value | ||||
|---|---|---|---|---|---|---|---|
| SBBC 1st | MBBC 1st | Overall | UBC vs. SBBC 1st vs. MBBC 1st | UBC vs. SBBC 1st | UBC vs. MBBC 1st | ||
| Histological type | <0.001* | <0.001* | 0.631 | ||||
| Invasive carcinoma | 77 (78.6%) | 23 (92.0%) | 100 (81.3%) | 264 (94.3%) | |||
| Noninvasive carcinoma | 21 (21.4%) | 2 (8.0%) | 23 (18.7%) | 16 (5.7%) | |||
| ER/PR status | <0.001* | 0.075 | <0.001* | ||||
| Negative | 14 (14.3%) | 15 (60.0%) | 29 (23.6%) | 64 (22.9%) | |||
| Positive | 84 (85.7%) | 10 (40.0%) | 94 (76.4%) | 216 (77.1%) | |||
| HER-2 status | 0.973 | 1.000 | 0.783 | ||||
| Negative | 80 (81.6%) | 20 (80.0%) | 100 (81.3%) | 230 (82.1%) | |||
| Positive | 18 (18.4%) | 5 (20.0%) | 23 (18.7%) | 50 (17.9%) | |||
| Tumor size | <0.001* | <0.001* | 0.048* | ||||
| Tis | 21 (21.4%) | 2 (8.0%) | 23 (18.7%) | 16 (5.7%) | |||
| T1 | 47 (48.0%) | 12 (48.0%) | 59 (48.0%) | 143 (51.1%) | |||
| T2 | 27 (27.6%) | 8 (32.0%) | 35 (28.5%) | 114 (40.7%) | |||
| T3 | 2 (2.0%) | 2 (8.0%) | 4 (3.3%) | 6 (2.1%) | |||
| T4 | 1 (1.0%) | 1 (4.0%) | 2 (1.6%) | 1 (0.4%) | |||
| Lymph node metastasis | 0.040* | 0.194 | 0.014* | ||||
| N0 | 65 (66.3%) | 14 (56.0%) | 79 (64.2%) | 164 (58.6%) | |||
| N1 | 15 (15.3%) | 2 (8.0%) | 17 (13.8%) | 69 (24.6%) | |||
| N2 | 13 (13.3%) | 8 (32.0%) | 21 (17.1%) | 27 (9.6%) | |||
| N3 | 5 (5.1%) | 1 (4.0%) | 6 (4.9%) | 20 (7.1%) | |||
| pTNM stage | <0.001* | <0.001* | 0.098 | ||||
| 0 | 19 (19.4%) | 2 (8.0%) | 21 (17.1%) | 14 (5.0%) | |||
| I | 35 (35.7%) | 8 (32.0%) | 43 (35.0%) | 93 (33.2%) | |||
| II | 26 (26.5%) | 6 (24.0%) | 32 (26.0%) | 119 (42.5%) | |||
| III | 18 (18.4%) | 9 (36.0%) | 27 (22.0%) | 54 (19.3%) | |||
| Lymphovascular invasion | 0.846 | 1.000 | 0.412 | ||||
| No | 81 (82.7%) | 19 (76.0%) | 100 (81.3%) | 232 (82.9%) | |||
| Yes | 17 (17.3%) | 6 (24.0%) | 23 (18.7%) | 48 (17.1%) | |||
| Surrogate subtypes | <0.001* | <0.001* | 0.001* | ||||
| Luminal A-like | 42 (54.5%) | 4 (17.4%) | 46 (46.0%) | 47 (17.8%) | |||
| Luminal B-like (HER2 negative) | 13 (16.9%) | 4 (17.4%) | 17 (17.0%) | 124 (47.0%) | |||
| Luminal B-like (HER2 positive) | 10 (13.0%) | 1 (4.3%) | 11 (11.0%) | 36 (13.6%) | |||
| HER2 positive (non-luminal) | 4 (5.2%) | 4 (17.4%) | 8 (8.0%) | 24 (9.1%) | |||
| Triple negative | 8 (10.4%) | 10 (43.5%) | 18 (18.0%) | 33 (12.5%) | |||
*, P<0.05 was considered statistically significant. BBC, bilateral breast cancer; UBC, unilateral breast cancer; SBBC, synchronous bilateral breast cancer; MBBC, metachronous bilateral breast cancer; ER, estrogen receptor; PR, progesterone receptor; HER-2, human epidermal growth factor receptor 2; pTNM, pathological tumor-node-metastasis.
There was no significant difference between the first and second tumor in pathological bilateral breast tumors characteristics (see Table 4). The consistent rate of ER/PR status was 80.5%, of which 65.9% were ER/PR (+). The positive rate of ER/PR in bilateral breast tumors was 79.6% in the SBBC group and only 12.0% in the MBBC group. For patients with ER/PR (−) in the first tumor, the positive rate of ER/PR (+) in CBC were 33.3% in the BBC group and 42.9% in the MBBC group. The consistent rate of HER-2 status in bilateral breast tumors was 88.6% for patients with BBC (see Table 5).
Table 4
| Characteristics | SBBC | MBBC | |||||
|---|---|---|---|---|---|---|---|
| 1st | 2nd | P value | 1st | 2nd | P value | ||
| Histological type | 0.406 | 0.138 | |||||
| Invasive carcinoma | 77 (78.6%) | 71 (72.4%) | 23 (92.0%) | 18 (72.0%) | |||
| Noninvasive carcinoma | 21 (21.4%) | 27 (27.6%) | 2 (8.0%) | 7 (28.0%) | |||
| ER/PR status | 0.830 | 0.900 | |||||
| Negative | 14 (14.3%) | 13 (13.3%) | 15 (60.0%) | 14 (56.0%) | |||
| Positive | 84 (85.7%) | 85 (86.7%) | 10 (40.0%) | 11 (44.0%) | |||
| HER-2 status | 0.998 | 0.701 | |||||
| Negative | 80 (81.6%) | 79 (80.6%) | 20 (80.0%) | 19 (87.0%) | |||
| Positive | 18 (18.4%) | 19 (19.4%) | 5 (20.0%) | 6 (13.0%) | |||
| pTNM stage | 0.633 | 0.367 | |||||
| 0 | 19 (19.4%) | 21 (21.4%) | 2 (8.0%) | 7 (28.0%) | |||
| I | 35 (35.7%) | 29 (29.6%) | 8 (32.0%) | 8 (32.0%) | |||
| II | 26 (26.5%) | 33 (33.7%) | 6 (24.0%) | 4 (16.0%) | |||
| III | 18 (18.4%) | 15 (15.3%) | 9 (36.0%) | 6 (24.0%) | |||
| Lymphovascular invasion | 0.688 | 0.725 | |||||
| No | 81 (82.7%) | 85 (86.7%) | 19 (76.0%) | 21 (84.0%) | |||
| Yes | 17 (17.3%) | 13 (13.3%) | 6 (24.0%) | 4 (16.0%) | |||
| Surrogate subtypes | 0.934 | 0.983 | |||||
| Luminal A-like | 42 (54.5%) | 41 (57.7%) | 4 (17.4%) | 5 (27.8%) | |||
| Luminal B-like (HER2 negative) | 13 (16.9%) | 11 (15.5%) | 4 (17.4%) | 3 (16.7%) | |||
| Luminal B-like (HER2 positive) | 10 (13.0%) | 8 (11.3%) | 1 (4.3%) | 0 (0.0%) | |||
| HER2 positive (non-luminal) | 4 (5.2%) | 2 (2.8%) | 4 (17.4%) | 3 (16.7%) | |||
| Triple negative | 8 (10.4%) | 9 (12.7%) | 10 (43.5%) | 7 (38.9%) | |||
BBC, bilateral breast cancer; SBBC, synchronous bilateral breast cancer; MBBC, metachronous bilateral breast cancer; ER, estrogen receptor; PR, progesterone receptor; HER-2, human epidermal growth factor receptor 2; pTNM, pathological tumor-node-metastasis.
Table 5
| Group | Both ER/PR (+) | Both ER/PR (−) | Both HER-2 (+) | Both HER-2 (−) | 1st: ER/PR (−), 2nd: ER/PR (+) |
|---|---|---|---|---|---|
| BBC | 65.9% | 14.6% | 14.6% | 74.0% | 33.3% |
| SBBC | 79.6% | 10.2% | 17.4% | 77.6% | 23.1% |
| MBBC | 12.0% | 32.0% | 4.0% | 60.0% | 42.9% |
ER, estrogen receptor; PR, progesterone receptor; HER-2, human epidermal growth factor receptor 2; BBC, bilateral breast cancer; SBBC, synchronous bilateral breast cancer; MBBC, metachronous bilateral breast cancer.
Survival analysis
The median follow-up time was 67.9 months (7.7–155.6 months) in all patients, 66.3 months (18.8–153.7 months) in the SBBC group, 82.0 months (36.5–155.6 months) in the MBBC group, and 64.3 months (7.7–151.5 months) in the UBC group. For survival outcome events, the number of those lost to follow up in the SBBC, MBBC, and UBC groups was 3 (3.1%), 2 (8.0%), 24 (8.6%), respectively. For recurrence or metastasis, the number of those lost to follow up in the three groups was 5 (5.1%), 1 (4.0%), and 26 (9.3%), respectively. As of 29 January 2021, the all-cause mortality of the SBBC, MBBC, and UBC groups was 8.4% (8/95), 8.7% (2/23), and 7.0% (18/256), respectively. The local recurrence or metastasis rate among the three groups was 9.7% (9/93), 25.0% (6/24), and 7.9% (20/254), respectively; of these the percentages of only recurrence and no metastasis rate were 2.2% (2/93), 4.2% (1/24) and 2.0% (5/254), respectively; only metastasis and no recurrence rate were 5.4% (5/93), 12.5% (3/24), and 5.1% (13/254), respectively; and recurrence and metastasis rates were 2.2% (2/93), 8.3% (2/24), and 0.8% (2/254), respectively.
The 3-, 5-, and 10-year OS and DFS were calculated using the life table method
The 5-year OS of SBBC, MBBC, and UBC group were 91%, 95%, and 93%, respectively. The 10-year OS were 85%, 48%, and 77%, respectively. The 5-year DFS were 91%, 78%, and 93%, respectively. The 10-year DFS were 78%, 39%, and 65% respectively (see Table 6).
Table 6
| Group | OS (%) | DFS (%) | |||||
|---|---|---|---|---|---|---|---|
| 3-year | 5-year | 10-year | 3-year | 5-year | 10-year | ||
| SBBC | 96 | 91 | 85 | 94 | 91 | 78 | |
| MBBC | 95 | 95 | 48 | 83 | 78 | 39 | |
| UBC | 94 | 93 | 77 | 93 | 93 | 65 | |
OS, overall survival; DFS, disease-free survival; SBBC, synchronous bilateral breast cancer; MBBC, metachronous bilateral breast cancer; UBC, unilateral breast cancer.
Survival differences were compared using the Kaplan-Meier method
There was no significant difference in OS (P=0.567) and DFS (P=0.816) between the SBBC and UBC groups using a log rank test. Patients with MBBC had similar OS (P=0.866) but shorter DFS (P=0.020) than those with UBC (see Figure 3).
Subgroup analysis
We created ROC curves for age at first diagnosis on prognosis. The age corresponding to the maximum Youden index was about 55 years old. Therefore, an age of 55 was set as the cut-off for subgroup analysis. The DFS comparisons showed that patients with MBBC were significantly worse than those with UBC (P<0.001) as were patients with SBBC (P=0.044) if the first diagnosis occurred at age <55 years old (see Figure 4). Among the three groups, DFS did not show significant differences if the age was ≥55 years (P=0.897). Comparisons of OS showed that there were no statistical differences at age <55 years (P=0.696) or age ≥55 years (P=0.565) among the three groups.
Stratified by ER/PR status of the first tumor, the OS comparison showed that OS for MBBC was worse than that of UBC, if ER/PR was positive (P=0.041) (see Figure 5), while there was no significant difference among the SBBC, MBBC, and UBC groups, if the ER/PR was negative (P=0.243). The DFS comparisons showed no obvious differences among the three groups regardless of ER/PR (+) (P=0.405) or ER/PR (−) (P=0.388).
The prognostic model was established using Cox regression analysis
Univariate Cox regression analysis was performed using all clinicopathological features of the patients. The results showed that statistically significant factors related to OS were age at first diagnosis, neoadjuvant chemotherapy, N stage, lymphovascular invasion, and ER/PR status of the first tumor. Statistically significant factors related to DFS were group, other family history of malignancy, gender of surgeon, neoadjuvant chemotherapy, N stage, lymphovascular invasion, and ER/PR status of first tumor.
Considering that the age at first diagnosis might affect recurrence and metastasis of breast cancer, we set age 55 years as the cut-off in the prognostic model according to the ROC curve. This study focused on the effect of BBC on prognosis, and as such the group was also included as an influencing factor in the prognostic model. Multivariate Cox regression analysis including the above variables showed that age at first diagnosis ≥55 years [hazard ratio (HR) =3.443; 95% CI: 1.099–10.784] and ER/PR (−) (HR =3.152; 95% CI: 1.010–9.836) of the first tumor were independent risk factors for OS (see Table 7). In the MBBC group (HR =3.731; 95% CI: 1.009–13.793), age at first diagnosis <55 years (HR =2.689; 95% CI: 1.011–7.152), family history of other malignant tumors (HR =3.956; 95% CI: 1.394–11.229), N2 or N3 (HR =6.603; 95% CI: 2.537–17.187), lymphovascular invasion (HR =3.680; 95% CI: 1.376–9.837), and ER/PR (−) status (HR =3.991; 95% CI: 1.475–10.801) of the first tumor were independent risk factors for DFS (see Table 8). Prognostic models for OS and DFS were presented as forest plots (Figure 6).
Table 7
| Variable | HR | 95% CI | P value |
|---|---|---|---|
| Group | 0.834 | ||
| SBBC vs. UBC | 0.688 | 0.202–2.345 | 0.550 |
| MBBC vs. UBC | 0.828 | 0.097–7.054 | 0.863 |
| Age of first cancer (≥55 vs. <55 years) | 3.443 | 1.099–10.784 | 0.034* |
| N stage (≥2 vs. <2) | 2.204 | 0.620–7.828 | 0.222 |
| Lymphovascular invasion (yes vs. no) | 1.623 | 0.438–6.008 | 0.469 |
| Neoadjuvant chemotherapy (yes vs. no) | 2.441 | 0.611–9.743 | 0.206 |
| ER/PR status (negative vs. positive) | 3.152 | 1.010–9.836 | 0.048* |
*, P<0.05 was considered statistically significant. OS, overall survival; HR, hazard ratio; CI, confidence interval; SBBC, synchronous bilateral breast cancer; UBC, unilateral breast cancer; MBBC, metachronous bilateral breast cancer; ER, estrogen receptor; PR, progesterone receptor.
Table 8
| Variable | HR | 95% CI | P value |
|---|---|---|---|
| Age of first cancer (<55 vs. ≥55 years) | 2.689 | 1.011–7.152 | 0.048* |
| Group | 0.131 | ||
| SBBC vs. UBC | 1.203 | 0.437–3.310 | 0.720 |
| MBBC vs. UBC | 3.731 | 1.009–13.793 | 0.048* |
| Lymphovascular invasion (yes vs. no) | 3.680 | 1.376–9.837 | 0.009* |
| ER/PR status (negative vs. positive) | 3.991 | 1.475–10.801 | 0.006* |
| Neoadjuvant chemotherapy (yes vs. no) | 1.086 | 0.361–3.272 | 0.883 |
| Family history of other cancers (yes vs. no) | 3.956 | 1.394–11.229 | 0.010* |
| N stage (≥2 vs. <2) | 6.603 | 2.537–17.187 | <0.001* |
| Gender of surgeon (female vs. male) | 4.402 | 0.781–24.815 | 0.093 |
*, P<0.05 was considered statistically significant. DFS, disease-free survival; HR, hazard ratio; CI, confidence interval; SBBC, synchronous bilateral breast cancer; UBC, unilateral breast cancer; MBBC, metachronous bilateral breast cancer; ER, estrogen receptor; PR, progesterone receptor.
With the UBC group as the control group, the adjusted and unadjusted HR values and 95% CI of the SBBC and MBBC groups are shown in Table 9. The risk of recurrence or metastasis was 2.964 times (95% CI: 1.084–8.105) higher in the unadjusted analysis of patients with MBBC (P=0.034) and 3.731 times (95% CI: 1.009–13.793) higher in the adjusted analysis of patients with MBBC (P=0.048) than that in those with UBC.
Table 9
| Group | Unadjusted | Adjusted | |||||||||
|---|---|---|---|---|---|---|---|---|---|---|---|
| DFS | OS | DFS | OS | ||||||||
| HR (95% CI) | P value | HR (95% CI) | P value | HR (95% CI) | P value | HR (95% CI) | P value | ||||
| UBC | 1 (reference) | – | 1 (reference) | – | 1 (reference) | – | 1 (reference) | – | |||
| SBBC | 1.151 (0.476–2.785) | 0.754 | 0.750 (0.264–2.124) | 0.588 | 1.203 (0.437–3.310) | 0.720 | 0.688 (0.202–2.345) | 0.550 | |||
| MBBC | 2.964 (1.084–8.105) | 0.034 | 0.924 (0.198–4.316) | 0.919 | 3.731 (1.009–13.793) | 0.048 | 0.828 (0.097–7.054) | 0.863 | |||
HR, hazard ratio; SBBC, synchronous bilateral breast cancer; MBBC, metachronous bilateral breast cancer; UBC, unilateral breast cancer; CI, confidence interval; DFS, disease-free survival; OS, overall survival.
Discussion
In the past 13 years, among patients with breast cancer undergoing surgical treatment at the First Medical Center of Chinese PLA General Hospital, 98 were patients with SBBC, and 25 were patients with MBBC, accounting for 1.6% and 0.4% of the breast cancer population, respectively. The incidence of SBBC in this study was significantly higher than that of MBBC, while some studies from Western countries found that the incidence of MBBC was higher than that of SBBC (2,7,17-19). Some studies have also reported similar incidences of MBBC and SBBC (4,20-22). A meta-analysis showed that the incidence of SBBC and MBBC in patients with breast cancer was 2% (95% CI: 2–3%) and 3% (95% CI: 2–5%) (2), respectively, which is higher than the incidence in this study. Possible reasons for this difference are as follows: (I) in this study, 55 patients with MBBC who did not undergo surgery on one side of the bilateral breast tumors in our hospital were excluded, which reduced the proportion of enrolled patients with MBBC. (II) Given the progress of imaging technologies, especially the popularization of breast MRI, more patients were diagnosed with SBBC. (III) Sandberg et al. (18) reported that the risk of CBC development in patients with UBC has not significantly decreased over 20 years. However, the period of follow up in this study was not long enough. (IV) Previous data showed that the risk of CBC increased to 2–6 times in patients with UBC with an absolute risk of 0.5–0.75% per year (22). In recent years, the widespread use of endocrine therapy, such as ER modulators and aromatase inhibitors, has significantly reduced the risk of MBBC. Population-based studies have shown that the incidence rate has dropped to 0.1–0.3% per year (23). A study from the Tianjin Medical University Cancer Institute and Hospital, China, showed a prevalence of 1.8% among patients with BBC, which is similar to that found in our study (12). However, the study did not divide the BBC group into SBBC and MBBC groups for further analysis. A study based on Indian population data showed a higher incidence of SBBC (0.38%) than MBBC (0.18%), which is similar to the findings of this study (5). These results suggest that the epidemiology of SBBC and MBBC in Asia is different from that in Western countries. It might be related to the low mutation rate of the BRCA gene in Asian populations, and different lifestyles and different approaches to breast cancer screening.
The median time interval between the diagnosis of bilateral breast tumors in patients with MBBC was 42.69 months. This is highly consistent with the findings of a multicenter study in Taiwan (46.70 months) (11). Based on a large population of Surveillance, Epidemiology, and Ends Results (SEER) data, Qiu et al. (6) also showed an interval of 45.62 months. Recently, a study on a Western population reported that the median time interval in patients with MBBC was as long as 111 months (7). This interval is clearly longer than the time interval of MBBC in China. This suggests that the biological behavior of breast cancer occurrence and development is different for different ethnicities. The risk of developing metachronous CBC does not significantly reduce over time. In addition, the fact that that the peak onset of breast cancer in Asian populations is earlier than that in Western population (24) might be associated with this observation to some extent.
Compared with patients with UBC, patients with SBBC were more likely to be older at first diagnosis and to have a family history of breast cancer, non-infiltrative carcinoma, a lower pTNM stage, and a luminal A type of breast cancer. Patients with MBBC were more likely to be postmenopausal, have a higher pTNM stage, and have an ER/PR (−) and triple-negative type breast cancer. A study from Sun Yat-sen University Cancer Center in China showed that patients with BBC were more likely to be postmenopausal, have HER-2 negativity, and present with advanced disease than patients with UBC, which is similar to the features in patients with MBBC in our study. Moreover, they found that the rate of ER-positive status in patients with BBC was higher than 70%, which was confirmed in patients with SBBC in our study (10). In patients with BBC in our study, there were no statistical differences in tumor pathological characteristics between the first and the second tumor. The consistent rate of ER/PR status and HER-2 status was 80.5% (SBBC: 89.8%, MBBC: 44.0%) and 88.6% (SBBC: 95.0%, MBBC: 64.0%), respectively. For patients with ER/PR (−) of the first tumor, the positive rate of ER/PR in CBC were 23.1% in the SBBC group and 42.9% in the MBBC group. This supports the observation reported by Permi et al. (25), that the status of ER/PR of tumors on both sides in patients with BBC is highly consistent (SBBC: 79.2%, MBBC: 49.5%), and the consistent rate of ER/PR in patients with SBBC was significantly higher than that in those with MBBC. This indicates that bilateral tumors of the same patient occur in the same microenvironment, and the type of tumor might have been identified at an early stage. In addition, based on the ER/PR (−) status of the first tumor, a relatively large proportion of CBC with ER/PR (+) status remain. This suggests that endocrine therapy after the diagnosis of breast cancer on one side might have a certain preventive effect on the incidence of CBC.
In terms of surgery, the proportion of mastectomy in this study in patients with BBC was high. The breast-conserving rate was less than 10%, which is significantly lower than that in European and American populations (7). However, patients with breast cancer generally have a low breast-conserving rate in China. For example, patients with SBBC and MBBC had low breast-conserving rates of 9.7% and 2.8%, respectively, in Shi et al.’s study (10). This is consistent with other studies in the Chinese population where the surgical methods used for both breasts were mostly the same as those used in this study (10,12). Lack of a correct understanding of BCS in Chinese patients with breast cancer or excessive worry about recurrence and metastasis even if patients understand the prognosis of BCS might prompt them to opt for a more radical surgical procedure.
The proportion of ER/PR (−) in the first tumor of patients with MBBC was significantly higher than that of SBBC patients. Moreover, cumulative risk functions showed that patients with ER/PR (−) breast cancer were more likely to develop MBBC than those with ER/PR (+) breast cancer. These findings confirm those of previous reports (12,22,23). This was probably because patients with ER/PR (+) breast cancer received endocrine therapy, resulting in the reduction of CBC.
There was no significant difference in OS and DFS between patients with SBBC and UBC. Patients with MBBC had similar OS but worse DFS (P=0.020) than those with UBC. Further stratified analysis showed that if the age at first diagnosis was <55 years, the MBBC group had significantly worse DFS than the UBC (P<0.001) and SBBC (P=0.044) groups. The prognosis in studies with Chinese patients with BBC and UBC differs from these findings. Wang et al. (12) found that patients with BBC and UBC had similar prognoses (P>0.05), while another study indicated that patients with BBC had shorter DFS and OS than patients with UBC. The prognosis of patients with SBBC and MBBC is still controversial. Some studies have shown that prognosis in patients with SBBC was better than those with MBBC (20), while others have reported that prognosis of SBBC was significantly worse than that of MBBC (6). This discrepancy might be related to different diagnostic time periods between SBBC and MBBC in various studies, but the role of race and tumor characteristics should not be ignored. In the SBBC group, the proportion of luminal A type, lower TNM stage, and non-infiltrative carcinoma were higher, and the prognosis was almost the same as that of the UBC group. Although the MBBC group received a series of anti-cancer treatments after the first diagnosis of breast cancer, the characteristics of CBC tumors were that they were more aggressive, and showed a higher TNM-stage and more triple-negative breast cancer. Therefore, real-world data showed that compared with patients with UBC, patients with MBBC did not have significantly different survival after secondary adjuvant therapy, but the risk of recurrence and metastasis increased. Young age at first diagnosis was a risk factor for poor DFS.
The Cox proportional hazards model showed that the risk of recurrence or metastasis in the unadjusted MBBC group was 2.964 times higher than that of the UBC group (95% CI: 1.084–8.105), and the risk reached 3.731 times after adjustment (95% CI: 1.009–13.793). Age at first diagnosis ≥55 years and ER/PR (−) of the first tumor were independent risk factors for OS. In the MBBC group, age at first diagnosis <55 years, having a family history of other malignant tumors, N2 or N3, lymphovascular invasion, and ER/PR (−) of the first tumor were independent risk factors for DFS. A study which was also based on a Chinese population showed that MBBC was a risk factor for OS and DFS. The HR values of recurrence and metastasis in the unadjusted and adjusted MBBC group were 4.721 (95% CI: 3.737–5.965) and 6.437 (95% CI: 4.348–9.529), respectively. The HR values of death outcome events in the unadjusted and adjusted MBBC group were 2.264 (95% CI: 1.628–3.149) and 6.834 (95% CI: 3.628–12.872), respectively. Only young age and BCS were independent adverse prognostic factors in patients with BBC (10). Some studies from other countries showed that the HR values of MBBC ranged from 1.1 to 1.84 (26-28), and the HR value of SBBC was greater than 1 or less than 1. The reasons for these differences might be as follows: (I) at present, there is no unified standard for the time interval cut-off between SBBC and MBBC. Different studies chose 3 months, 6 months, 1 year, or even 5 years. (II) The defined times for DFS and OS are different. Some studies start from the date of first diagnosis of the first tumor, while others started from the date of diagnosis in CBC, resulting in different calculated OS and DFS. (III) Different populations are included in various studies and different kinds of data are unavailable in various databases. Therefore, different independent risk factors are prone to occur in Cox proportional hazards model.
The current study involved a cohort study based on real-world data. In recent years, fewer studies have been conducted on BBC in Asia, especially in China. This study contributes to a better understanding of the clinicopathological features of patients with BBC in China to predict their morbidity and prognosis to guide clinical decision-making. In addition, we defined patients with BBC who had received bilateral breast surgery performed in the same hospital within 13 years as the MBBC group. The OS and DFS of patients with SBBC and MBBC were calculated from the time of first diagnosis rather than CBC, making the groups comparable. However, this study still had some limitations. First, as a single-center retrospective study, it inevitably presents confounding bias. Nonetheless, the incidence of BBC is very low, and it is difficult to carry out large-scale prospective studies. In this study, stratified analysis, multivariate Cox regression analysis, and other methods have been used to reduce the influence of confounding factors as much as possible. Secondly, the generalization of conclusions may have been affected by the few patients diagnosed with MBBC. Continued extension of follow up or inclusion of data from multicenter studies for analysis will benefit the accumulation of cases and the reliability of conclusions.
There were differences in clinicopathological characteristics between patients with BBC and UBC in this study. Compared with patients with UBC, patients with SBBC were significantly more likely to be older at age of first diagnosis, have a family history of breast cancer, have non-infiltrative carcinoma, lower pTNM stage, and luminal A type carcinoma of the first tumor. Patients with MBBC were more likely to be postmenopausal and have a higher pTNM stage, ER/PR negativity, and triple-negative type of the first tumor. Patients with UBC with ER/PR-negative breast cancer were more likely to develop CBC than those with ER/PR-positive breast cancer. In terms of survival, patients with MBBC, especially those younger than 55 years of age at first diagnosis, had shorter DFS than patients with UBC. Therefore, whether it is necessary to change the treatment and monitoring frequency of patients with MBBC to reduce their recurrence and metastasis remains to be studied further.
Acknowledgments
Funding: This study was supported by the Project of PLA General Hospital: Application of deep learning method to predict the prognosis of breast cancer surgery (2016MBD-018).
Footnote
Reporting Checklist: The authors have completed the STROBE reporting checklist. Available at https://atm.amegroups.com/article/view/10.21037/atm-21-5400/rc
Data Sharing Statement: Available at https://atm.amegroups.com/article/view/10.21037/atm-21-5400/dss
Peer Review File: Available at https://atm.amegroups.com/article/view/10.21037/atm-21-5400/prf
Conflicts of Interest: All authors have completed the ICMJE uniform disclosure form (available at https://atm.amegroups.com/article/view/10.21037/atm-21-5400/coif). The authors have no conflicts of interest to declare.
Ethical Statement:
Open Access Statement: This is an Open Access article distributed in accordance with the Creative Commons Attribution-NonCommercial-NoDerivs 4.0 International License (CC BY-NC-ND 4.0), which permits the non-commercial replication and distribution of the article with the strict proviso that no changes or edits are made and the original work is properly cited (including links to both the formal publication through the relevant DOI and the license). See: https://creativecommons.org/licenses/by-nc-nd/4.0/.
References
- Sung H, Ferlay J, Siegel RL, et al. Global Cancer Statistics 2020: GLOBOCAN Estimates of Incidence and Mortality Worldwide for 36 Cancers in 185 Countries. CA Cancer J Clin 2021;71:209-49. [Crossref] [PubMed]
- Londero AP, Bernardi S, Bertozzi S, et al. Synchronous and metachronous breast malignancies: a cross-sectional retrospective study and review of the literature. Biomed Res Int 2014;2014:250727. [Crossref] [PubMed]
- Kheirelseid EA, Jumustafa H, Miller N, et al. Bilateral breast cancer: analysis of incidence, outcome, survival and disease characteristics. Breast Cancer Res Treat 2011;126:131-40. [Crossref] [PubMed]
- Sim Y, Tan VKM, Sidek NAB, et al. Bilateral breast cancers in an Asian population, and a comparison between synchronous and metachronous tumours. ANZ J Surg 2018;88:982-7. [Crossref] [PubMed]
- Wadasadawala T, Lewis S, Parmar V, et al. Bilateral Breast Cancer After Multimodality Treatment: A Report of Clinical Outcomes in an Asian Population. Clin Breast Cancer 2018;18:e727-37. [Crossref] [PubMed]
- Qiu R, Zhao W, Yang J, et al. Comparative Analysis of Outcomes and Clinicopathological Characteristics of Synchronous and Metachronous Contralateral Breast Cancer: A Study of the SEER Database. J Breast Cancer 2019;22:297-310. [Crossref] [PubMed]
- Huber A, Seidler SJ, Huber DE. Clinicopathological Characteristics, Treatment and Outcome of 123 Patients with Synchronous or Metachronous Bilateral Breast Cancer in a Swiss Institutional Retrospective Series. Eur J Breast Health 2020;16:129-36. [Crossref] [PubMed]
- Tan PH, Ellis I, Allison K, et al. The 2019 World Health Organization classification of tumours of the breast. Histopathology 2020;77:181-5. [Crossref] [PubMed]
- Chen SF, Du CW, Yang P, et al. The molecular and clinicopathologic characteristics of bilateral breast cancer. Sci Rep 2013;3:2590. [Crossref] [PubMed]
- Shi YX, Xia Q, Peng RJ, et al. Comparison of clinicopathological characteristics and prognoses between bilateral and unilateral breast cancer. J Cancer Res Clin Oncol 2012;138:705-14. [Crossref] [PubMed]
- Kuo WH, Yen AM, Lee PH, et al. Incidence and risk factors associated with bilateral breast cancer in area with early age diagnosis but low incidence of primary breast cancer: analysis of 10-year longitudinal cohort in Taiwan. Breast Cancer Res Treat 2006;99:221-8. [Crossref] [PubMed]
- Wang T, Liu H, Chen KX, et al. The risk factors and prognosis of bilateral primary breast cancer: a comparative study with unilateral breast cancer. Oncol Res 2011;19:171-8. [Crossref] [PubMed]
- Gradishar WJ, Anderson BO, Abraham J, et al. Breast Cancer, Version 3.2020, NCCN Clinical Practice Guidelines in Oncology. J Natl Compr Canc Netw 2020;18:452-78. [Crossref] [PubMed]
- Chen C, Lu FC. Department of Disease Control Ministry of Health, PR China. The guidelines for prevention and control of overweight and obesity in Chinese adults. Biomed Environ Sci 2004;17:1-36. [PubMed]
- Giuliano AE, Edge SB, Hortobagyi GN. Eighth Edition of the AJCC Cancer Staging Manual: Breast Cancer. Ann Surg Oncol 2018;25:1783-5.
- Goldhirsch A, Winer EP, Coates AS, et al. Personalizing the treatment of women with early breast cancer: highlights of the St Gallen International Expert Consensus on the Primary Therapy of Early Breast Cancer 2013. Ann Oncol 2013;24:2206-23. [Crossref] [PubMed]
- Hartman M, Czene K, Reilly M, et al. Genetic implications of bilateral breast cancer: a population based cohort study. Lancet Oncol 2005;6:377-82. [Crossref] [PubMed]
- Sandberg ME, Hartman M, Klevebring D, et al. Prognostic implications of estrogen receptor pattern of both tumors in contralateral breast cancer. Breast Cancer Res Treat 2012;134:793-800. [Crossref] [PubMed]
- Díaz R, Munárriz B, Santaballa A, et al. Synchronous and metachronous bilateral breast cancer: a long-term single-institution experience. Med Oncol 2012;29:16-24. [Crossref] [PubMed]
- Beckmann KR, Buckingham J, Craft P, et al. Clinical characteristics and outcomes of bilateral breast cancer in an Australian cohort. Breast 2011;20:158-64. [Crossref] [PubMed]
- Ibrahim NY, Sroor MY, Darwish DO. Impact of bilateral breast cancer on prognosis: synchronous versus metachronous tumors. Asian Pac J Cancer Prev 2015;16:1007-10. [Crossref] [PubMed]
- Mruthyunjayappa S, Zhang K, Zhang L, et al. Synchronous and metachronous bilateral breast cancer: clinicopathologic characteristics and prognostic outcomes. Hum Pathol 2019;92:1-9. [Crossref] [PubMed]
- Chowdhury M, Euhus D, Onega T, et al. A model for individualized risk prediction of contralateral breast cancer. Breast Cancer Res Treat 2017;161:153-60. [Crossref] [PubMed]
- Leong SP, Shen ZZ, Liu TJ, et al. Is breast cancer the same disease in Asian and Western countries? World J Surg 2010;34:2308-24. [Crossref] [PubMed]
- Chandrika; Permi HS, Kishan Prasad HL, et al. Synchronous bilateral medullary carcinoma of breast: is it metastasis or second primary? J Cancer Res Ther 2012;8:129-31.
- Verkooijen HM, Chatelain V, Fioretta G, et al. Survival after bilateral breast cancer: results from a population-based study. Breast Cancer Res Treat 2007;105:347-57. [Crossref] [PubMed]
- Takahashi H, Watanabe K, Takahashi M, et al. The impact of bilateral breast cancer on the prognosis of breast cancer: a comparative study with unilateral breast cancer. Breast Cancer 2005;12:196-202. [Crossref] [PubMed]
- Heron DE, Komarnicky LT, Hyslop T, et al. Bilateral breast carcinoma: risk factors and outcomes for patients with synchronous and metachronous disease. Cancer 2000;88:2739-50. [Crossref] [PubMed]

