Down-regulated expression of miR-99a is associated with lymph node metastasis and predicts poor outcome in stage IB cervical squamous cell carcinoma: a case-control study
Introduction
Cervical carcinoma is the 4th most common female malignant tumor worldwide (1). It is estimated that each year, over 500,000 new cases are diagnosed, and 250,000 patients die from the malignancy (2,3). In developing countries, it is the most common malignancy among female reproductive tumors (4). Human papillomavirus infection has been identified as the major pathogenic driver of cervical cancer, and is believed to inactivate the tumor suppressor genes tumor protein p53 and retinoblastoma (5). However, the molecular mechanisms involved in the development and progress of cervical cancer, including the activation of oncogenes, inactivation of onco-suppressor genes, regulation of the cell cycle or cellular signal transduction network, and the effect of the tumor micro-environment, have not yet been fully illustrated.
Lymph node metastasis (LNM) represents one of the most important routes of metastasis for cervical cancer. The incidence of pelvic LNM in patients with clinical stage IB and stage IIB has been reported to be about 11.5% and 39.2%, respectively (6). The clinicopathological factors associated with the LNM of cervical cancer include tumor volume, depth of stromal invasion (DOI), parametrial invasion, lymph-vascular space invasion (LVSI), and tumor stage (7). However, patients with similar risk factors might have distinct LNM statuses.
Previously, various molecular biomarkers have been revealed to be associated with LNM of cervical cancer, including fatty acid-binding protein 5 (FABP5), heat shock protein B1 (HSPB1), receptor of activated protein kinase C1 (RACK1), chemokine receptor 4 (CXCR4), CXCR7, apoptotic protease activating factor-1 (APAF-1), matrix metalloproteinase-7 (MMP-7), and MMP-9 (8-12). Yet, reliable biomarkers for early detection of lymph nodes metastasis in early-staged cervical cancer is still lacking, and further research in this aspect is warranted.
Micro-ribonucleic acids (miRNAs) are a class of endogenous non-coding single stranded small RNAs that can bind to target messenger RNAs (mRNAs) by complementation with the 3'untranslated region (UTR) sequence, induce the degradation of target mRNAs, or inhibit their post-transcriptional translation, and thus play a key role in the proliferation, differentiation, migration, invasion, apoptosis, and other biological processes of tumor cells (13). It has also been revealed that miRNAs may also affect the proliferation and invasion of cervical cancer cells by regulating proto-oncogenes and/or tumor suppressor genes (14). The abnormal expression of miRNAs might provide additional prognostic information for individualized treatment, and they are also expected to become potential therapeutic targets for cervical cancer.
The miR-99 family consists of miR-99a, miR-99b, and miR-100. In previous articles, most of the miR-99 family members were disclosed to act as oncogene or onco-suppressive gene in variety of cancers, and miR-99a/b was found to be negatively associated with the aggressiveness of cervical cancer cells (15-18). Therefore, this study was conducted to evaluate the correlation between the expression level of miR-99a and the presence of LNM in stage IB cervical squamous cell cancer (CSCC). The predictive value of miR-99a in the prognosis of this subgroup of patients was also explored. We present the following article in accordance with the REMARK reporting checklist (available at https://atm.amegroups.com/article/view/10.21037/atm-22-2483/rc).
Methods
Patients and samples
In this retrospective case-control study, formalin-fixed and paraffin-embedded (FFPE) tissue blocks of patients with stage IB CSCC who were treated surgically between October 2015 to November 2018 in National Cancer Center/National Clinical Research Center for Cancer/Cancer Hospital, Chinese Academy of Medical Sciences and Peking Union Medical College, were obtained. Patients who had received systemic therapy or radiotherapy preoperatively were excluded from the study. An expert gynecological pathologist reviewed all the histological sections to histologically confirm the diagnosis of CSSC and the status of the surgically removed lymph nodes. A total of 21 eligible patients with surgically confirmed positive pelvic lymph nodes were identified, and each patient was matched to 1 node-negative case on the baseline characteristics, which included age, stage, DOI, tumor differentiation, and the presence of LVSI. Thus, a total of 21 well-matched node-negative patients treated during the same period formed the control group. Staging was classified according to the 2009 International Federation of Gynecology and Obstetrics (FIGO) staging system for cervical cancer. Tumor differentiation was classified according to the World Health Organization (WHO) Classification of Tumors. The depth of tumor invasion was classified as ≤1/2 or >1/2 cervical stromal invasion. LVSI was defined as the presence of viable tumor cells in the endothelial-lined channels, that is, either lymphatics or capillaries, outside the tumor mass. Patients’ clinical features, histopathological data, and follow-up outcomes were retrieved from archived medical records and selective telephone follow-up. The study was conducted in accordance with the Declaration of Helsinki (as revised in 2013) and its protocol was approved by the Institutional Review Board of National Cancer Center/National Clinical Research Center for Cancer/Cancer Hospital, Chinese Academy of Medical Sciences and Peking Union Medical College (Registration No. NCC 2014G-25). Written informed consent was obtained from all of the patients.
MicroRNA analysis
MiR-99a extraction
In this study, total RNA was extracted from the FFPE issues using the RecoverAll Total Nucleic Acid Isolation Kit (Ambion, Austin, TX, USA) in accordance with the manufacturer’s protocol. Briefly, the FFPE tissue blocks were sectioned at 20 µm using a microtome. Next, 1 mL of 100% xylene was added to the sample that was then heated at 50 ℃ to melt the paraffin. The xylene was removed, and 100% ethanol was added to the sample and mixed in a vortex mixer. After deparaffinization, 400 µL of digestion buffer and 4 µL of protease were added to each sample, and the samples were then incubated in a water bath for 3 h at 50 ℃. Next, 480 µL of isolation additive was added to each sample and mixed in a vortex mixer. Then, 1.1 mL of 100% ethanol was added to each sample. After which, 700 µL of the sample/ethanol mixture was pipetted onto the filter cartridge and centrifuged at 10,000 × g for 30 sec to pass the mixture through the filter. The steps were repeated 3 times until all the sample mixture passed through the filter. Wash 1 (700 µL) was added to the filter cartridge and centrifuged for 30 sec at 10,000 × g to pass the mixture through the filter. Wash 2/3 (500 µL) was then added to the filter cartridge and centrifuged for 30 sec at 10,000 ×g. DNase mix (60 µL) was added to the center of each filter cartridge and incubated for 30 min at room temperature. Preheated Elution Solution (30 µL) was applied to the center of the filter and centrifuged at a maximum speed to pass the mixture through the filter. The concentration of RNA solution was determined using the NanoDrop 1000 Spectrophotometer, and the yielded nucleic acid was stored at –80 ℃.
Quantitative RT-PCR
The reverse-transcribed complementary deoxyribonucleic acid (DNA) was synthesized using the MicroRNA Reverse Transcription Kit (Applied Biosystems) in accordance with the manufacturer’s instructions. The levels of miR-99a were determined using a TaqMan MicroRNA Assay Kit (Applied Biosystems; Thermo Fisher Scientific Inc.) on an ABI 7900HT Instrument (Applied Biosystems, CA, USA). The thermal cycle setting was as follows: 95 ℃ for 5 min, and then 95 ℃ for 15 sec, 60 ℃ for 45 sec for 40 cycles. Small-nuclear RNA U6 was used as the internal control. Each RNA sample was evaluated in triplicate. The expression of miRNAs was quantified as 2−∆∆Ct values, where Ct = cycle threshold, ∆Ct = (Ct target miRNAs − Ct U6).
Statistical analysis
The statistical analysis was performed using SPSS 20.0 (SPSS Inc., Chicago, IL, USA) and GraphPad Prismv5.0 (Graphpad Software Inc.). The clinicopathological and demographic variables were analyzed by descriptive statistics. The continuous data are described as mean ± standard deviation, and the categorical data are presented as the frequency and percentage. The normality of the data was tested using the Shapiro-Wilk test. An independent sample t-test was used for the statistical analysis of the miR-99a expression levels between the node-positive and node-negative groups. The associations between the expression levels of miR-99a and clinicopathological variables were analyzed using the Chi-square test or Fisher’s exact-probability method. Disease-free survival (DFS) and overall survival (OS) was defined from the time of diagnosis to the time of first evidence of relapse or death from any cause. The survival curves were determined using the Kaplan-Meier product-limit method. An analysis of the differences between the survival curves was performed using the log-rank test. Factors with statistical significance upon uni-variate analysis were included into the multivariate Cox regression models to identify independent prognostic variables. All the tests were 2-sided, and differences were considered statistically significant when the P value was <0.05.
Results
Demographic characteristics and histo-pathological features
The median ages of patients with positive and negative pelvic nodes included in this study was 51 years (range: 32–63 years) and 54 years (range: 38–64 years), respectively. As Table 1 shows, negative-node patients were well-matched to positive-node patients for the major baseline co-variants, including age, tumor differentiation, presence of LVSI, and DOI (P>0.05).
Table 1
| Characteristics | Histological status of pelvic lymph nodes | χ2 | P value | |
|---|---|---|---|---|
| Positive (N=21) | Negative (N=21) | |||
| Age (years) | ||||
| <50 | 11 (52.4) | 9 (42.9) | 0.382 | 0.537 |
| ≥50 | 10 (47.6) | 12 (57.1) | ||
| Tumor size (cm) | ||||
| ≤2 | 6 (42.9) | 9 (28.6) | 0.933 | 0.334 |
| 2–4 | 15 (57.1) | 12 (71.4) | ||
| DOI | ||||
| Inner 1/2 | 9 (42.9) | 10 (47.6) | 0.096 | 0.757 |
| Outer 1/2 | 12 (57.1) | 11 (52.4) | ||
| Differentiation | ||||
| Well | 4 (19.0) | 3 (14.3) | 0.195 | 0.907 |
| Moderate | 8 (38.1) | 8 (38.1) | ||
| Poor | 9 (42.9) | 10 (47.6) | ||
| LVSI | ||||
| Negative | 12 (57.1) | 10 (47.6) | 0.382 | 0.537 |
| Positive | 9 (42.9) | 11 (52.4) | ||
DOI, depth of stromal invasion; LVSI, lymph-vascular space invasion.
The downregulated expression level of miR-99a is associated with the LNM of early stage CSCC
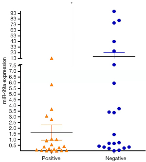
Total RNA was extracted from the archived FFPE tissues of surgically harvested pelvic lymph nodes, and the expression levels of miR-99a were determined by real-time polymerase chain reaction (RT-PCR). As Figure 1 shows, the expression level of miR-99a of the node-positive group was significantly downregulated compared to that of the node-negative group (1.61±3.09 vs. 16.77±30.40), and the difference was statistically significant (P=0.0285).
The downregulated expression level of miR-99a was correlated with more aggressive clinicopathological features
We also divided the 42 patients into 2 groups based on the median value of the expression level of miR-99a (0.659). The patients with a miR-99a expression level >0.659 were classified as the high miR-99a expression group, and the rest were classified as the low miR-99a expression group. The associations between miR-99a expression level and patients’ clinicopathological parameters are summarized in Table 2. We found that low miR-99a expression was associated with deeper stromal invasion (P=0.03) and the presence of LVSI (P=0.013), but no significant associations were found between miR-99a expression level and age (P=0.064) or tumor differentiation (P=0.087).
Table 2
| Characteristics | Expression level of miR-99a | χ2 | P value | |
|---|---|---|---|---|
| Low (N=21) | High (N=21) | |||
| Age (years) | ||||
| <50 | 7 (33.3) | 13 (61.9) | 3.436 | 0.064 |
| ≥50 | 14 (66.7) | 8 (38.1) | ||
| Tumor size (cm) | ||||
| ≤2 | 6 (42.9) | 9 (28.6) | 0.933 | 0.334 |
| 2–4 | 15 (57.1) | 12 (71.4) | ||
| DOI | ||||
| Inner 1/2 | 6 (28.6) | 13 (61.9) | 4.709 | 0.030 |
| Outer 1/2 | 15 (71.4) | 8 (38.1) | ||
| Differentiation | ||||
| Well | 11 (4.8) | 6 (28.6) | 4.887 | 0.087 |
| Moderate | 8 (38.1) | 8 (38.1) | ||
| Poor | 12 (57.1) | 7 (33.3) | ||
| LVSI | ||||
| Negative | 7 (33.3) | 15 (71.4) | 6.109 | 0.013 |
| positive | 14 (66.7) | 6 (28.6) | ||
DOI, depth of stromal invasion; LVSI, lymph-vascular space invasion.
Correlation between the expression level of miR-99a and prognosis
After a median follow-up period of 38 months (range: 11–59 months), a total of 8 patients relapsed, among whom 7 were in the low miR-99a expression group, and 1 was in the high miR-99a expression group. As Figures 2,3 and Table 3 show, the univariate analysis revealed that patients with a lower expression of miR-99a or deeper stromal invasion had a more unfavorable 5-year DFS than their counterparts (with P values of 0.018 and 0.041, respectively). However, tumor differentiation, age, and the presence of LVSI were not associated with DFS. Further, the multivariate Cox proportional hazard regression analysis revealed that miR-99a expression level was the only independent prognostic factor for DFS (see Table 3). A total of 3 patients had succumbed to the disease at the time of the last follow-up. The univariate analysis revealed that none of the above-mentioned variables were significantly correlated with OS. However, patients with high miR-99a expression levels tended to have more favorable OS, as all the 3 patients who succumbed to the disease were in the low-expression group. However, the difference did not reach statistical significance (P=0.077).
Table 3
| Variables | B | SE | Wald | df | Sig. | Exp(B) | 95.0% CI for Exp(B) | |
|---|---|---|---|---|---|---|---|---|
| Lower | Upper | |||||||
| miR-99a | −2.119 | 1.070 | 3.921 | 1 | 0.048 | 0.120 | 0.015 | 0.979 |
| DOI | 1.891 | 1.070 | 3.125 | 1 | 0.077 | 6.629 | 0.814 | 53.980 |
B, beta coefficient; SE, standard error; df, degree of freedom; CI, confidence interval; DOI, depth of stromal invasion.
Discussion
Cervical cancer represents the most common female genital tract malignancy in developing countries, and LNM accounts for one of the most important routes of metastasis. Additionally, the presence and the most distant level of metastatic lymph nodes have been reported to be closely related to prognosis (19,20). Thus, FIGO revised their staging system of cervical cancer in 2018, and patients with positive pelvic or paraaortic nodes are now classified as stage IIIC.
The clinicopathological characteristics associated with LNM include deeper stromal invasion, parametrial invasion, the presence of LVSI, and advanced tumor stage (7). In relation to the intrinsic molecular profiles associated with LNM, the abnormal expression of the FABP5, HSPB1, RACK1, CXCR4, CXCR7, APAF-1, MMP-7, and MMP-9 genes or proteins were found to be involved in metastasis formation in the lymph nodes (8-12). However, these factors might not be able to predict LNM precisely.
Recent studies revealed that miRNAs might play a key role during tumorigenesis and progression by regulating the expression of proto-oncogenes or tumor suppressor genes. A meta-analysis showed that low miR-375 expression is associated with a significantly poorer prognosis regardless of population and cancer type (21). In non-small cell lung cancer, increased miR-222 expression indicates more advanced disease and a worse prognosis, while downregulated miR-126 expression is an independent factor for poor prognosis in gastric cancer (22,23).
In cervical cancer, upregulated miR-155 expression has been shown to be an independent unfavorable prognostic factor (24). Zhang et al. found that miR-21 promotes the proliferation, migration, and infiltration of HeLa and SiHA cell lines by targeting the 3'-UTR of Tissue inhibitors of metalloproteases-3 (TIMP3) (25). MiR-206 may inhibit the invasion and metastasis of cervical cancer cells by downregulating the expression of glucose 6-phosphate dehydrogenase (G6PD) (26). Additionally, miR-29a and miR-138 were also revealed to be potential biomarkers for the diagnosis and prognosis of cervical cancer (27,28).
The current study confirmed that miR-99a might act as a tumor-suppressive gene during the development and progress of cervical cancer. The miR-99 family consists of miR-99a, miR-99b, and miR-100. In previous research, the tumor-suppressive or promoting effects of miR-99 family have been disclosed in a variety of cancers, and the underlying molecular mechanism involves several signaling pathways including mammalian target of rapamycin (mTOR), Wnt, vascular endothelial growth factor, and tumor necrosis factor pathways. We found that the expression level of miR-99a was significantly lower in the 21 node-positive patients than the clinicopathologically well-matched node-negative controls (1.61±3.09 vs. 16.77±30.40), which suggests that the downregulated expression of miR-99a might facilitate the lymphatic route spread of malignant cervical cancer cells. Additionally, downregulated miR-99a expression was also associated with deeper cervical stromal invasion and more lymph-vascular space invasion. Thus, the downregulation of miR-99a might also promote cell proliferation and enhance the ability of cervical cancer cells to invade.
These findings were consistent with a previous report conducted by Wang et al., who found that by regulating the mTOR at both the mRNA and protein levels, miR-99a/b inhibits the proliferation and migration of cervical cancer cells, and the expression level of patients with LNM was significantly lower than that of those without LNM (18). Similarly, Xin et al. revealed that by negatively regulating the expression of Tribbles homolog 2 (TRIB2), a selective mitogen-activated protein kinase (MAPK) pathway modulator, miR-99 acts as a tumor suppressor gene in HeLa cells (29).
Our further multivariate analysis revealed that the downregulated expression level of miR-99a was the only independent prognostic factors for poor DFS for cervical cancer. Additionally, patients with a lower expression of miR-99a tended to have worse OS. This observation is also in line with previous investigations. Gao et al. conducted a bioinformatics analysis on the Gene Expression Omnibus database and The Cancer Genome Atlas database and found that the downregulated expression of miR-99a was correlated with a decreased 5-year survival rate (30). Further, a protein interaction network visualization analysis showed that the target genes of miR-99a may directly or indirectly participate in the tumor-genesis of cervical cancer through the regulation of Janus kinase/signal transducer and activator of transcription, MAPK, nuclear factor kappa-light-chain-enhancer of activated B cells, and other signal transduction pathways and cell cycles. These data suggest that miR-99a might be able to be used as a potential biomarker for prognosis and individualized treatment planning in cervical cancer. However, due to the favorable treatment outcomes of early stage CSCC and the relatively small sample size of the current study, we were not able to establish a statistically significant OS advantage for miR-99a high-expression patients, and a larger-scale study needs to be conducted.
Our study had some potential limitations. Firstly, owing to the retrospective nature of this study, intrinsic selection bias could not be avoided, and further prospective studies are required to confirm the correlation between miR-99 level and patients’ outcomes. Secondly, due to the relatively small sample size, the results yielded in the current study are not definitive, and further study with larger validation cohort is needed to further validate the significance of results reported in our study.
In conclusion, the current study showed that downregulated miR-99a expression was associated with a higher rate of LNM and predicted worse survival. MiR-99a plays an inhibitory role in the invasion and metastasis of cervical squamous cancer cells, and the underlying molecular biological mechanism needs to be further studied.
Acknowledgments
Funding: This study was supported by the Fundamental Research Funds for the Central Universities (No. 2016ZX310006).
Footnote
Reporting Checklist: The authors have completed the REMARK reporting checklist. Available at https://atm.amegroups.com/article/view/10.21037/atm-22-2483/rc
Data Sharing Statement: Available at https://atm.amegroups.com/article/view/10.21037/atm-22-2483/dss
Conflicts of Interest: All authors have completed the ICMJE uniform disclosure form (available at https://atm.amegroups.com/article/view/10.21037/atm-22-2483/coif). The authors have no conflicts of interest to declare.
Ethical Statement: The authors are accountable for all aspects of the work in ensuring that questions related to the accuracy or integrity of any part of the work are appropriately investigated and resolved. The study was conducted in accordance with the Declaration of Helsinki (as revised in 2013) and its protocol was approved by the Institutional Review Board of National Cancer Center/National Clinical Research Center for Cancer/Cancer Hospital, Chinese Academy of Medical Sciences and Peking Union Medical College (Registration No. NCC 2014G-25). Written informed consent was obtained from all of the patients.
Open Access Statement: This is an Open Access article distributed in accordance with the Creative Commons Attribution-NonCommercial-NoDerivs 4.0 International License (CC BY-NC-ND 4.0), which permits the non-commercial replication and distribution of the article with the strict proviso that no changes or edits are made and the original work is properly cited (including links to both the formal publication through the relevant DOI and the license). See: https://creativecommons.org/licenses/by-nc-nd/4.0/.
References
- Ferlay J, Colombet M, Soerjomataram I, et al. Estimating the global cancer incidence and mortality in 2018: GLOBOCAN sources and methods. Int J Cancer 2019;144:1941-53. [Crossref] [PubMed]
- Ferlay J, Soerjomataram I, Ervik M, et al. GLOBOCAN 2012: Estimated Cancer Incidence, Mortality and Prevalence Worldwide in 2012 v1.0. IARC Press, Lyon, France.
- Tewari KS, Sill MW, Long HJ 3rd, et al. Improved survival with bevacizumab in advanced cervical cancer. N Engl J Med 2014;370:734-43. [Crossref] [PubMed]
- Zheng RS, Sun KX, Zhang SW, et al. Report of cancer epidemiology in China, 2015. Zhonghua Zhong Liu Za Zhi 2019;41:19-28. [PubMed]
- Deshpande R, Mansara P, Kaul-Ghanekar R. Alpha-linolenic acid regulates Cox2/VEGF/MAP kinase pathway and decreases the expression of HPV oncoproteins E6/E7 through restoration of p53 and Rb expression in human cervical cancer cell lines. Tumour Biol 2016;37:3295-305. [Crossref] [PubMed]
- Sakuragi N, Satoh C, Takeda N, et al. Incidence and distribution pattern of pelvic and paraaortic lymph node metastasis in patients with Stages IB, IIA, and IIB cervical carcinoma treated with radical hysterectomy. Cancer 1999;85:1547-54. [Crossref] [PubMed]
- Nanthamongkolkul K, Hanprasertpong J. Predictive Factors of Pelvic Lymph Node Metastasis in Early-Stage Cervical Cancer. Oncol Res Treat 2018;41:194-8. [Crossref] [PubMed]
- Wang W, Jia HL, Huang JM, et al. Identification of biomarkers for lymph node metastasis in early-stage cervical cancer by tissue-based proteomics. Br J Cancer 2014;110:1748-58. [Crossref] [PubMed]
- Wu H, Song S, Yan A, et al. RACK1 promotes the invasive activities and lymph node metastasis of cervical cancer via galectin-1. Cancer Lett 2020;469:287-300. [Crossref] [PubMed]
- Kodama J. Association of CXCR4 and CCR7 chemokine receptor expression and lymph node metastasis in human cervical cancer. Ann Oncol 2007;18:70-6. [Crossref] [PubMed]
- Leo C, Richter C, Horn LC, et al. Expression of Apaf-1 in cervical cancer correlates with lymph node metastasis but not with intratumoral hypoxia. Gynecol Oncol 2005;97:602-6. [Crossref] [PubMed]
- Guo H, Dai Y, Wang A, et al. Association between expression of MMP-7 and MMP-9 and pelvic lymph node and para-aortic lymph node metastasis in early cervical cancer. J Obstet Gynaecol Res 2018;44:1274-83. [Crossref] [PubMed]
- Esquela-Kerscher A, Slack FJ. Oncomirs - microRNAs with a role in cancer. Nat Rev Cancer 2006;6:259-69. [Crossref] [PubMed]
- Yang Q, Al-Hendy A. The Regulatory Functions and the Mechanisms of Long Non-Coding RNAs in Cervical Cancer. Cells 2022;11:1149. [Crossref] [PubMed]
- Zhao J, Chen F, Zhou Q, et al. Aberrant expression of microRNA-99a and its target gene mTOR associated with malignant progression and poor prognosis in patients with osteosarcoma. Onco Targets Ther 2016;9:1589-97. [Crossref] [PubMed]
- Ganji SM, Saidijam M, Amini R, et al. Evaluation of MicroRNA-99a and MicroRNA-205 Expression Levels in Bladder Cancer. Int J Mol Cell Med 2017;6:87-95. [PubMed]
- Chen C, Zhao Z, Liu Y, et al. microRNA-99a is downregulated and promotes proliferation, migration and invasion in non-small cell lung cancer A549 and H1299 cells. Oncol Lett 2015;9:1128-34. [Crossref] [PubMed]
- Wang L, Chang L, Li Z, et al. miR-99a and -99b inhibit cervical cancer cell proliferation and invasion by targeting mTOR signaling pathway. Med Oncol 2014;31:934. [Crossref] [PubMed]
- Delgado G, Bundy B, Zaino R, et al. Prospective surgical-pathological study of disease-free interval in patients with stage IB squamous cell carcinoma of the cervix: a Gynecologic Oncology Group study. Gynecol Oncol 1990;38:352-7. [Crossref] [PubMed]
- Kidd EA, Siegel BA, Dehdashti F, et al. Lymph node staging by positron emission tomography in cervical cancer: relationship to prognosis. J Clin Oncol 2010;28:2108-13. [Crossref] [PubMed]
- Dan B, Luo J, Li K, et al. Prognostic Value of miR-375 for Survival Outcomes in Various Cancers: A Systematic Review and Meta-Analysis. Oncol Res Treat 2018;41:47-50. [Crossref] [PubMed]
- Lei Y, Liu Z, Yang W. Negative correlation of cytoplasm TIMP3 with miR-222 indicates a good prognosis for NSCLC. Onco Targets Ther 2018;11:5551-7. [Crossref] [PubMed]
- Feng R, Sah BK, Li J, et al. miR-126: An indicator of poor prognosis and recurrence in histologically lymph node-negative gastric cancer. Cancer Biomark 2018;23:437-45. [Crossref] [PubMed]
- Fang H, Shuang D, Yi Z, et al. Up-regulated microRNA-155 expression is associated with poor prognosis in cervical cancer patients. Biomed Pharmacother 2016;83:64-9. [Crossref] [PubMed]
- Zhang Z, Wang J, Wang X, et al. MicroRNA-21 promotes proliferation, migration, and invasion of cervical cancer through targeting TIMP3. Arch Gynecol Obstet 2018;297:433-42. [Crossref] [PubMed]
- Cui J, Pan Y, Wang J, et al. MicroRNA-206 suppresses proliferation and predicts poor prognosis of HR-HPV-positive cervical cancer cells by targeting G6PD. Oncol Lett 2018;16:5946-52. [Crossref] [PubMed]
- Wang A, Xu Q, Sha R, et al. MicroRNA-29a inhibits cell proliferation and arrests cell cycle by modulating p16 methylation in cervical cancer. Oncol Lett 2021;21:272. [Crossref] [PubMed]
- Li H, Sheng Y, Zhang Y, et al. MicroRNA-138 is a potential biomarker and tumor suppressor in human cervical carcinoma by reversely correlated with TCF3 gene. Gynecol Oncol 2017;145:569-76. [Crossref] [PubMed]
- Xin JX, Yue Z, Zhang S, et al. miR-99 inhibits cervical carcinoma cell proliferation by targeting TRIB2. Oncol Lett 2013;6:1025-30. [Crossref] [PubMed]
- Gao C, Zhou C, Zhuang J, et al. MicroRNA expression in cervical cancer: Novel diagnostic and prognostic biomarkers. J Cell Biochem 2018;119:7080-90. [Crossref] [PubMed]
(English Language Editor: L. Huleatt)


