The predictive value of tumor volume reduction ratio on three-dimensional endorectal ultrasound for tumor response to chemoradiotherapy for locally advanced rectal cancer
Introduction
Preoperative chemoradiation therapy (CRT) following total mesorectal excision (TME) remains the first-line treatment for patients with locally advanced rectal cancer (LARC, T3/4 or N1) (1,2) because of its abilities to downsize and downstage the tumor as well as improve local control and reduce toxicity. Tumor regression after CRT increases the possibility of preserving the anal sphincter and facilitates complete surgical resection without margin-residual tumor. Tumor regression grade (TRG), stratifying primary tumor response to CRT, is associated with recurrence and survival. Several studies have confirmed TRG as a predictive factor of oncological outcome after CRT following TME for patients with LARC (3-5). Patients with pathological complete response (pCR; TRG 0) or minimal residual tumor (TRG 0-1) had better survival rates than poor responders (TRG 2-3) (4,5). Huh et al. (5) reported that the 5-year overall survival (OS) rates and 5-year disease-free survival (DFS) rates for patients with TRG 0 and TRG 1 were higher than those with TRG 2-3.
Furthermore, organ-preserving strategies including local excision and watch-and-wait strategy are becoming optional treatments for patients with favorable response to preoperative CRT (6-8). Preoperative CRT can render the tumor downstaged. It is reported that 14% to 33% of patients who achieve a pCR (9,10) are eligible for organ-preserving treatments such as local excision or the watch-and-wait strategy and can achieve a similar recurrence and survival rate compared to patients treated with radical surgery (8,11). Thus, how to evaluate tumor response after CRT but before surgery is a significant clinical issue.
At present, tumor response had been evaluated by cross-section imaging. Tumor volume change measured on MRI or CT has been proven to be a validated parameter to predict tumor response (12-17). Functional imaging techniques including diffusion-weighted MRI or PET/CT have been used to monitor metabolic changes of tumor response (18-20). In addition, the nuances of circulating tumor cells or cell free DNA was applied for tumor response assessment (21). However, the limitations of these modalities included high expense, radiation exposure from CT or PET/CT, time-consuming for MRI examination, and minimal invasiveness for circulating tumor DNA monitor.
Endorectal ultrasound (ERUS) or endoscopic ultrasound (EUS) is now widely applied to preoperative staging of rectal cancer because of their high-resolution images of rectal wall layers (22-24). 3D-ERUS, as an easy-used, inexpensive, and repeatable imaging, can automatically capture and store the images of the rectal wall and rectal cancer with high resolution as CT or MRI do. Recent research (25,26) demonstrated that the tumor thickness measured by EUS after CRT is highly predictive for tumor response in esophageal cancer (25) and in rectal cancer (26), but no 3D-ERUS volumetry research has been reported. As accurate evaluation of the CRT response potentially contributes to subsequent treatment personalization, the predictive value of ERUS or 3D-ERUS for tumor response after CRT in LARC patients needs to be investigated.
Therefore, this retrospective study was performed to assess the tumor volume pre- and post-CRT and tumor volume reduction rate (TVRR) measured on 3D-ERUS, and its correlation with the pathological tumor response regarding TRG after CRT for patients with LARC. We present the following article in accordance with the STARD reporting checklist (available at https://atm.amegroups.com/article/view/10.21037/atm-22-2418/rc).
Methods
Study design and ethics
This retrospective cohort study was conducted in accordance with the Declaration of Helsinki (as revised in 2013). Approval (ID: 2021ZSLYEC-152) was granted by the local Ethics Committee of The Sixth Affiliated Hospital of Sun Yat-sen University. Individual informed consent for this retrospective analysis was waived, and all the procedures being performed were part of the routine care.
Patients
Retrospective data of 70 patients with LARC who received CRT followed by TME in our center were collected from October 2014 to June 2018. The inclusion criteria were as follows: (I) histologically confirmed LARC (T3 or T4 and/or N+ tumor) before CRT; (II) middle or lower rectal tumors located within 10 cm from the anal edge; (III) the availability of 3D-ERUS data both pre- and post-CRT; (IV) no contraindication of CRT and TME. Stenotic tumors and upper rectal tumors beyond complete evaluation by 3D-ERUS were excluded. After exclusion of 16 cases with stenotic tumors (13 cases) and highly located tumors (3 cases), 54 eligible patients were finally included in the analysis.
Treatments
All patients underwent chemotherapy with or without radiation therapy prior to consideration for TME surgery. All 54 patients received preoperative chemotherapy varying from 2 to 8 courses. Individual chemotherapy regimens, including FOLFOX, FOLFOX6, FOLFOXIRI, mFLOFOX, and De Gramont, were selected for patients by the oncologist. Preoperative radiotherapy comprised of a total dose of 45 or 50 Gy delivered to the pelvis in 25 fractions for 5 weeks and was administered to only 25 patients with concurrent chemotherapy.
3D-ERUS examination
3D-ERUS was conducted 1 week before CRT (3D-ERUS1) and before surgery (6–8 weeks after completion of CRT, 3D-ERUS2) with a Pro Focus 2202 scanner (BK, Denmark) equipped with a three-dimensional (3D) endorectal probe 8838 or 2502 (6–16 MHz, BK, Denmark). The patient was placed in the left lateral decubitus position, then 50 mL gel was injected into the rectum and anal canal to expand the rectal lumen. The probe was inserted through rectum and anal canal, and advanced above the lesion of interest in order to evaluate the entire lesion comprehensively. After initial observation of the tumor, 3D volume images were obtained in all patients before and after CRT treatment by using automatic rotating imaging of sampling function, and the data was stored on the machine. 3D-ERUS volumetry measurements were performed on 3D Viewer (version 5.19, BK, Denmark) by an independent sonographer with 3 years’ experience in 3D-ERUS who was blinded to the pathology results. The lesion boundaries on the 3D-ERUS image were manually traced by the sonographer on every transverse‑sectional tumor area by a slice section thickness of 2 mm (Figure 1). After multiplying every transverse-sectional tumor area, the total volumes of the tumor were automatically calculated. The tumor volume measured pre-CRT was recorded as Vpre-CRT, whereas the tumor volume measured post-CRT was recorded as Vpost-CRT. Finally, the TVRR was calculated as TVRR = (Vpre-CRT − Vpost-CRT)/Vpre-CRT × 100% (17).
Histopathological evaluation
After surgery, TNM Classification of Malignant Tumors 7th edition (27) was used for histopathological staging. TRG was categorized into 4 grades based on the American Joint Committee on Cancer (AJCC) system (27): TRG 0, complete regression without residual tumor cells; TRG 1, fibrosis with scattered tumor cells; TRG 2, residual tumor cells with predominant fibrosis; TRG 3, minimal fibrosis with a majority of tumor cells. According to TRG scoring, the patients were divided into good responder (TRG 0-1) and poor responder (TRG 2-3) groups, along with complete response (TRG 0) and partial response (TRG 1-3) groups.
Statistical analysis
Statistical analysis was performed on SPSS 22.0 software (IBM Corp, USA). Categorical variables were shown as number (percentage), whereas continuous variables were summarized as median (1st quartile, 3rd quartile) or mean ± standard deviation. The Wilcoxon test (for paired samples) was used to compare the differences in tumor volume pre-and post-CRT. The accuracy of 3D-ERUS in evaluating T-restaging of rectal cancer after CRT was calculated, and a receiver operating characteristic (ROC) curve was drawn to analyze the diagnostic efficacy of 3D-ERUS in the qualitative diagnosis of T0 stage. The differences in various parameters, including Vpre-CRT, Vpost-CRT, and TVRR, were compared between groups based on TRG grading by the Mann-Whitney test. Spearman analysis was used to determine the correlations between these parameters and TRG grading. The ROC curve was used to evaluate the diagnostic efficacy of the parameter and Youden’s index was used to select the optimum cut-off point. The area under the curve (AUC) value of ROC curve indicated the reliability of the model. The AUC value was categorized into ≤0.5, 0.51–0.7, 0.71–0.9, and >0.9 to represent unreliable model, model with low accuracy, model with moderate accuracy and model with high accuracy, respectively. The survival of the complete response and partial response groups divided by the estimated cut-off point was calculated by the Kaplan-Meier method with the Breslow test for pairwise comparisons. A P value less than 0.05 was considered statistically significant.
Results
Patient characteristics
There were 54 patients (34 males, 20 females) included in the present study, with a mean age of 55.19±12.46 years (range, 27–81 years). In accordance with the pathological results, the relative proportions of TRG 0, TRG 1, TRG 2, and TRG 3 were 29.6% (16/54), 16.6% (9/54), 50% (27/54), and 3.8% (2/54), respectively. Other patient characteristics are summarized in Table 1. The median time between ERUS2 and TME surgery was 6.0 (4.0, 8.3) days.
Table 1
| Characteristic | Values |
|---|---|
| Age, years, mean ± SD [range] | 55.19±12.46 [27–81] |
| Gender, n (%) | |
| Male | 34 (63.0) |
| Female | 20 (37.0) |
| Type of treatment, n (%) | |
| Chemotherapy concurrent with radiation | 25 (46.3) |
| Chemotherapy only | 29 (53.7) |
| Post-CRT T stage by 3D-ERUS, n (%) | |
| T0 | 7 (13.0) |
| T1 | 4 (7.4) |
| T2 | 17 (31.5) |
| T3 | 26 (48.1) |
| T4 | 0 (0.0) |
| Pathological T stage, n (%) | |
| T0 | 16 (29.6) |
| T1 | 8 (14.8) |
| T2 | 18 (33.4) |
| T3 | 12 (22.2) |
| T4 | 0 (0.0) |
| TRG grading, n (%) | |
| TRG 0 | 16 (29.6) |
| TRG 1 | 9 (16.7) |
| TRG 2 | 27 (50.0) |
| TRG 3 | 2 (3.7) |
CRT, chemoradiation therapy; TRG, tumor regression grade; 3D-ERUS, three-dimensional endorectal ultrasound.
Qualitative assessment of T-restaging by 3D-ERUS
The comparisons of the 3D-ERUS and pathological results in the T-restaging of patients are shown in Table 2. T-restaging after CRT by 3D-ERUS was correct in only 20/54 (37%) patients. Overstaging occurred in 26/54 (48%) patients, while understaging occurred in 8/54 (15%) patients. There were 16 patients who met the criteria of pCR (staged as ypT0N0 or achieved TRG 0). Only 4 of these 16 patients were proven to be true positive by preoperative 3D-ERUS assessment. 3D-ERUS showed false-positive findings in 3 patients. Overstaging occurred in 12 pCR patients by 3D-ERUS (Figure 2). Qualitative 3D-ERUS assessment of rectal wall penetration showed a sensitivity of 25.00% and specificity of 92.11% in identifying T0 stage, with an accuracy of 72.22%. The area under the ROC curve (AUC) for the qualitative prediction of T0 stage was 0.586 (95% CI: 0.410, 0.761).
Table 2
| Post-CRT T staging by 3D-ERUS | Pathological T staging | Total | ||||
|---|---|---|---|---|---|---|
| pT0 | pT1 | pT2 | pT3 | pT4 | ||
| uT0 | 4 | 0 | 3 | 0 | 0 | 7 |
| uT1 | 0 | 1 | 2 | 1 | 0 | 4 |
| uT2 | 5 | 4 | 6 | 2 | 0 | 17 |
| uT3 | 7 | 3 | 7 | 9 | 0 | 26 |
| uT4 | 0 | 0 | 0 | 0 | 0 | 0 |
| Total | 16 | 8 | 18 | 12 | 0 | 54 |
CRT, chemoradiation therapy; 3D-ERUS, three-dimensional endorectal ultrasound.
Quantitative assessment of tumor size regression and TRG
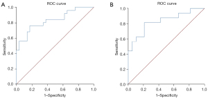
The median Vpost-CRT was 3.92 cm3, significantly smaller (P<0.05) than that of Vpre-CRT (13.26 cm3). The median TVRR was 65.94% for all patients. Table 3 showed that the median tumor volumes post-CRT in good responders and the complete response group were smaller than those in poor responders (3.26 vs. 5.42 cm3, P=0.007) and the partial response group (2.61 vs. 4.00 cm3, P=0.029), while TVRRs were higher than those in poor responders (79.32% vs. 59.67%, P<0.001) and the partial response group (82.22% vs. 61.64%, P<0.001), with significant differences (all P<0.05). Spearman correlation analysis showed that Vpost-CRT was positively correlated with TRG grading (r=0.285, P=0.04) and the TVRR was negatively correlated with TRG grading (r=−0.523, P<0.001). ROC analysis showed that the cut-off value of TVRR in predicting good responders was 67.77%, with a corresponding AUC of 0.830 (95% CI: 0.720, 0.941) (Figure 3A). The corresponding sensitivity and specificity were 76.0% and 82.8%, respectively. As for predicting TRG 0, the cut-off point was 72.02%, with a corresponding AUC of 0.829 (95% CI: 0.698, 0.960) (Figure 3B), and the corresponding sensitivity and specificity were 81.3% and 78.9%, respectively.
Table 3
| Response | 3D-ERUS1 volume (cm³) | 3D-ERUS2 volume (cm³) | TVRR (%) |
|---|---|---|---|
| TRG | |||
| Good responders | 14.80 (9.50, 19.64) | 3.26 (1.30, 4.33) | 79.32 (66.91, 92.01) |
| Poor responders | 11.57 (8.42, 20.13) | 5.42 (3.42, 8.14) | 59.67 (44.10, 66.18) |
| Z-value | −0.651 | −2.716 | −4.156 |
| P value | 0.515 | 0.007* | 0.000* |
| pCR | |||
| Yes | 14.80 (9.39, 22.29) | 2.61 (0.14, 4.38) | 82.22 (72.63, 98.77) |
| No | 12.19 (8.45, 18.92) | 4.00 (3.03, 7.37) | 61.64 (51.46, 70.68) |
| Z-value | −0.606 | −2.179 | −3.789 |
| P value | 0.544 | 0.029* | 0.000* |
TVRR is presented as median (1st quartile, 3nd quartile). The P values were determined using the Mann-Whitney test, *, P<0.05. 3D-ERUS1, three-dimensional endorectal ultrasound conducted 1 week before CRT; 3D-ERUS2, three-dimensional endorectal ultrasound conducted before surgery (6–8 weeks after completion of CRT); TVRR, tumor volume reduction rate; TRG, tumor regression grade; pCR, pathological complete response; CRT, chemoradiation therapy.
Until December 20, 2019, the mean follow-up time for these patients was 23.9 months. When using 72% as the threshold value, we stratified patients into complete response and partial response groups. The 3-year DFS, recurrence-free survival (RFS), and OS rates for these 2 groups were 86.1% vs. 85.4% (P=0.987), 95.0% vs. 88.0% (P=0.482), and 100% vs. 91.80% (P=0.236), respectively. When using the cut-off point of 68% to stratify patients into good responders and poor responders, the 3-year DFS, RFS, and OS rates for these 2 groups were 86.9% vs. 84.8% (P=0.883), 95.2% vs. 87.4% (P=0.428), and 100% vs. 91.5% (P=0.213), respectively.
Discussion
The evaluation of tumor response after CRT for LARC patients is directly related to the choice of treatment and the long-term prognosis. Our study revealed that the primary tumor markedly shrunk after CRT. There was also a correlation between TVRR measured on 3D-ERUS and TRG after CRT. The cut-off points of TVRR for the diagnosis of TRG 0 had a higher sensitivity than qualitative diagnosis of T0 stage by evaluating rectal wall penetration.
Identifying pCR patients can enable them to avoid surgery and is of great clinical significance. Conventionally, T-restaging after CRT is based on visualizing the tumor penetration of rectal wall layers on imaging modalities, among which 3D-ERUS is a useful tool with high-resolution scanning of the rectal wall. However, the accuracy of restaging after CRT has dramatically decreased compared to pre-CRT staging. Post-CRT accuracy of 3D-ERUS varied from 27–58% (28-30) and was especially low for pCR diagnosis, varying from only 0% to 37% (31-33), far lower than that of its pre-treatment staging accuracy of 79% to 93% (23,24,34). In this study, the sensitivity for predicting T-restaging and pCR after CRT was 37% and 25%, respectively, which was similar to the published results of previous literature (29,31,32). Nearly half of the patients (48%) were overstaged, and this is attributed to the blurred rectal wall induced by CRT.Since fibrosis, edema, and inflammation caused by CRT render the rectal wall blurred and make the residual tumor indistinguishable, it has been a challenge to precisely re-stage rectal cancer after CRT, particularly patients with pCR. Therefore, identifying pCR qualitatively based on tumor invasion depth after CRT is unreliable and cannot meet the clinical need.
The RECIST criteria (35), based on unidimensional measurement of tumor size shrinkage, is widely accepted as an appropriate guideline for the assessment of solid tumor response. With the development of volumetry imaging, volumetric anatomical assessment has the potential to take the place of anatomic unidimensional assessment of tumor shrinkage (35), especially for morphologically irregular tumors like gastrointestinal tumors. In recent years, MRI/CT volumetry has been used as an early biomarker to assess rectal tumor response after CRT. As shown in Table 4 (16), MRI/CT tumor volumetric changes after CRT were evaluated in previous studies (12-17) and they found that TVRR of 68–78% correlated with good responders and could be a predictor after CRT. A prospective study (17) found out that TVRR was more accurate in predicting tumor regression compared to RECIST based on MRI measurement. Another study (22) concluded that RECIST was inferior to CT volumetry in assessing the response of CRT and predicting recurrence risk. As in MRI/CT studies (12-17), we also evaluated tumor volume by 3D-ERUS in this study. The threshold used to predict favorable response (68%) chosen by Youden’s index was consistent with that of MRI studies (13,16,18). When using the cut-off TVRR ranging from 68–70% to predict good responders, our study achieved a similar AUC (0.83) with that in MRI studies (0.85–0.9) (Table 4). Using this threshold (72%) to identify TRG 0, more TRG 0 patients were identified, and the sensitivity of quantitatively TRG 0 assessment (81.3%) by 3D-ERUS volumetry measurement was higher than that of qualitatively T0 staging (25%) by visualizing rectal wall penetration in this study. Compared to MRI volumetry studies (13,18), the primary tumor volumetry was smaller in this study (Table 4), this may be caused by the technically unfeasibility of 3D-ERUS in evaluating stenotic tumors as the ultrasound probe could not reach through the stenotic tumors.
Table 4
| Variables | Nougaret et al. (13) | Aiba et al. (18) | Seierstad et al. (16) | Pomerri et al. (15) | Present study |
|---|---|---|---|---|---|
| No. of patients | 16 | 40 | 69 | 25 | 54 |
| T stage | LARC | T3-T4 | T2-T4 | T2-T4 | LARC |
| Image | MRI | MRI | MRI | CT | 3D-ERUS |
| Image reading | Single radiologist | Radiologist and surgeon | Single radiologist | Two radiologists | Single sonographer |
| Tumor volume before treatment/cm3 (mean or median) | 132±166 | 29.3 (3.5–262.3) | 16.1 (1.1–293.4) | 30.93 | 13.26 (8.56–19.64) |
| Tumor volume after treatment/cm3 (mean or median) | 56±71 | NR | 2.8 (0.2–89.9) | 13.06 | 3.92 (2.79–7.08) |
| TVRR (mean or median) | −68% (±27%) | −60% (23.5% to −92.9%) |
−65% (26.2% to −96.4%) |
54.02%±28.77% | −65.94% (−79.39% to −53.98%) |
| Cut-off TVRR for good responders | 68% | 70% | 78.2% | NR | 68% |
| AUC of TVRR for good responders | 0.9 | 0.85 | 0.72 | NR | 0.83 |
| Sensitivity of TVRR for good responders | 86% | 75% | 32.7% | NR | 76% |
| Specificity of TVRR for good responders | 100% | 83% | 100% | NR | 83% |
NR, not reported; CRT, chemoradiation therapy; TVRR, total volume reduction rate; 3D-ERUS, three-dimensional endorectal ultrasound; LARC, locally advanced rectal cancer; AUC, area under the curve; MRI, magnetic resonance imaging; CT, computed tomography.
Long-term outcomes were further analyzed. TVRR appears to be a good method for reproducible assessment of TRG 0 and might be helpful in predicting long-term outcomes. Though the 3-year DFS, RFS, and OS rates were higher for complete response or good responders compared to patients with partial response and poor responders, the differences did not differ significantly. The small sample size and relatively short follow-up period might be responsible for these results.
To date, this is the first study using 3D-ERUS volumetry to assess the treatment response of CRT for rectal cancer. US is not recommended as a method of measuring lesion size because of its poor repeatability and high operator dependence, which cannot guarantee that the same technique and measurements will be taken from one assessment to the next (35). However, as 3D-ERUS emerges, its volumetry application for evaluating tumor size might be feasible. 3D-ERUS can carry out 3D reconstruction of the rectum and its surrounding tissues automatically. Whole images of 3D-ERUS with multiple slicers can be recorded in video format in order to be reviewed after examination by another operator. In particular, the 3D-ERUS image can be re-evaluated from all dimensions, in coronal, sagittal, or axial planes after image collection, as with MRI and CT. Richer spatial and diagnostic information can be provided by 3D US compared with 2D US, since 3D US is capable of containing multiple standard planes in one shot, thereby potentially reducing operator-dependence and improving scanning efficiency (36). Given its automatic capture and storage of images and reduced operator independence, it is feasible to use 3D-ERUS to measure the tumor volume changes of rectal cancer.
However, there are several limitations in this study. First, the time point to evaluate volume changes and the CRT treatment plan were not consistent among patients due to the retrospective design of the study. Several MRI volumetry (13,18) studies have indicated that four 2-week cycles of CRT show higher sensitivity in identifying good responders. Individual differences in initial sensitivity to treatment might be taken into consideration, so repeated 3D-ERUS imaging at different time points during CRT should be considered to personalize the treatment. Repeated 3D-ERUS imaging examinations are more affordable for patients compared to repeat MRI. Second, interobserver variations between observers could not be assessed in this study, as tumor volumes were measured by only one sonographer. Third, this study has a retrospective design with a relatively small sample size. Fourth, the tumor volume measured on 3D-ERUS did not compare with that on MRI directly. To complement this limitation, we compared previous MRI and CT volumetry studies with our 3D-ERUS volumetry study.
In addition, this study was typically based on morphological changes rather than functional changes. Functional imaging techniques including functional MRI or PET/CT have great potential and are expected to evaluate physiological or molecular features and depict earlier treatment response (18-20,37,38), though some recent studies related to functional imaging did not show favorable results when compared to TVRR (18,38). MRI-TVRR was shown to be the most accurate factor in evaluating tumor response to CRT, and additional FDG-PET/CT did not increase the diagnostic accuracy of MRI in the research by Aiba et al. (18). However, the efficacy of contrast-enhanced US for evaluating tumor response after CRT for LARC patients remains under investigation.
Conclusions
T-restaging on 3D-ERUS for LARC patients after CRT presents low sensitivity, especially for identifying cases with T0 stage. The use of 3D-ERUS-assessed tumor volume changes after CRT can predict the tumor response, and TVRR could be an effective indicator in the prediction of good response and complete response during clinical practice.
Acknowledgments
We thank the conference of the American Institute of Ultrasound in Medicine (2021) for accepting the abstract of this research as an E-Poster and publishing it as an official proceeding on the supplement of the Journal of Ultrasound in Medicine.
Funding: None.
Footnote
Reporting Checklist: The authors have completed the STARD reporting checklist. Available at https://atm.amegroups.com/article/view/10.21037/atm-22-2418/rc
Data Sharing Statement: Available at https://atm.amegroups.com/article/view/10.21037/atm-22-2418/dss
Conflicts of Interest: All authors have completed the ICMJE uniform disclosure form (available at https://atm.amegroups.com/article/view/10.21037/atm-22-2418/coif). The authors have no conflicts of interest to declare.
Ethical Statement: The authors are accountable for all aspects of the work in ensuring that questions related to the accuracy or integrity of any part of the work are appropriately investigated and resolved. This retrospective study was conducted in accordance with the Declaration of Helsinki (as revised in 2013). Approval (ID: 2021ZSLYEC-152) was granted by the local Ethics Committee of The Sixth Affiliated Hospital of Sun Yat-sen University. Individual informed consent for this retrospective analysis was waived.
Open Access Statement: This is an Open Access article distributed in accordance with the Creative Commons Attribution-NonCommercial-NoDerivs 4.0 International License (CC BY-NC-ND 4.0), which permits the non-commercial replication and distribution of the article with the strict proviso that no changes or edits are made and the original work is properly cited (including links to both the formal publication through the relevant DOI and the license). See: https://creativecommons.org/licenses/by-nc-nd/4.0/.
References
- Sauer R, Liersch T, Merkel S, et al. Preoperative versus postoperative chemoradiotherapy for locally advanced rectal cancer: results of the German CAO/ARO/AIO-94 randomized phase III trial after a median follow-up of 11 years. J Clin Oncol 2012;30:1926-33. [Crossref] [PubMed]
- Sauer R, Becker H, Hohenberger W, et al. Preoperative versus postoperative chemoradiotherapy for rectal cancer. N Engl J Med 2004;351:1731-40. [Crossref] [PubMed]
- Trakarnsanga A, Gönen M, Shia J, et al. Comparison of tumor regression grade systems for locally advanced rectal cancer after multimodality treatment. J Natl Cancer Inst 2014;106:dju248. [Crossref] [PubMed]
- Mace AG, Pai RK, Stocchi L, et al. American Joint Committee on Cancer and College of American Pathologists regression grade: a new prognostic factor in rectal cancer. Dis Colon Rectum 2015;58:32-44. [Crossref] [PubMed]
- Huh JW, Kim HC, Kim SH, et al. Tumor regression grade as a clinically useful outcome predictor in patients with rectal cancer after preoperative chemoradiotherapy. Surgery 2019;165:579-85. [Crossref] [PubMed]
- Pucciarelli S, De Paoli A, Guerrieri M, et al. Local excision after preoperative chemoradiotherapy for rectal cancer: results of a multicenter phase II clinical trial. Dis Colon Rectum 2013;56:1349-56. [Crossref] [PubMed]
- Perez RO, Habr-Gama A, Lynn PB, et al. Transanal endoscopic microsurgery for residual rectal cancer (ypT0-2) following neoadjuvant chemoradiation therapy: another word of caution. Dis Colon Rectum 2013;56:6-13. [Crossref] [PubMed]
- Renehan AG, Malcomson L, Emsley R, et al. Watch-and-wait approach versus surgical resection after chemoradiotherapy for patients with rectal cancer (the OnCoRe project): a propensity-score matched cohort analysis. Lancet Oncol 2016;17:174-83. [Crossref] [PubMed]
- Deng Y, Chi P, Lan P, et al. Modified FOLFOX6 With or Without Radiation Versus Fluorouracil and Leucovorin With Radiation in Neoadjuvant Treatment of Locally Advanced Rectal Cancer: Initial Results of the Chinese FOWARC Multicenter, Open-Label, Randomized Three-Arm Phase III Trial. J Clin Oncol 2016;34:3300-7. [Crossref] [PubMed]
- Perez K, Safran H, Sikov W, et al. Complete Neoadjuvant Treatment for Rectal Cancer: The Brown University Oncology Group CONTRE Study. Am J Clin Oncol 2017;40:283-7. [Crossref] [PubMed]
- Dossa F, Chesney TR, Acuna SA, et al. A watch-and-wait approach for locally advanced rectal cancer after a clinical complete response following neoadjuvant chemoradiation: a systematic review and meta-analysis. Lancet Gastroenterol Hepatol 2017;2:501-13. [Crossref] [PubMed]
- Nougaret S, Rouanet P, Molinari N, et al. MR volumetric measurement of low rectal cancer helps predict tumor response and outcome after combined chemotherapy and radiation therapy. Radiology 2012;263:409-18. [Crossref] [PubMed]
- Nougaret S, Fujii S, Addley HC, et al. Neoadjuvant chemotherapy evaluation by MRI volumetry in rectal cancer followed by chemoradiation and total mesorectal excision: Initial experience. J Magn Reson Imaging 2013;38:726-32. [Crossref] [PubMed]
- Han YB, Oh SN, Choi MH, et al. Clinical impact of tumor volume reduction in rectal cancer following preoperative chemoradiation. Diagn Interv Imaging 2016;97:843-50. [Crossref] [PubMed]
- Pomerri F, Pucciarelli S, Gennaro G, et al. Comparison between CT volume measurement and histopathological assessment of response to neoadjuvant therapy in rectal cancer. Eur J Radiol 2012;81:3918-24. [Crossref] [PubMed]
- Seierstad T, Hole KH, Grøholt KK, et al. MRI volumetry for prediction of tumour response to neoadjuvant chemotherapy followed by chemoradiotherapy in locally advanced rectal cancer. Br J Radiol 2015;88:20150097. [Crossref] [PubMed]
- Xiao J, Tan Y, Li W, et al. Tumor volume reduction rate is superior to RECIST for predicting the pathological response of rectal cancer treated with neoadjuvant chemoradiation: Results from a prospective study. Oncol Lett 2015;9:2680-6. [Crossref] [PubMed]
- Aiba T, Uehara K, Nihashi T, et al. MRI and FDG-PET for assessment of response to neoadjuvant chemotherapy in locally advanced rectal cancer. Ann Surg Oncol 2014;21:1801-8. [Crossref] [PubMed]
- Joye I, Deroose CM, Vandecaveye V, et al. The role of diffusion-weighted MRI and (18)F-FDG PET/CT in the prediction of pathologic complete response after radiochemotherapy for rectal cancer: a systematic review. Radiother Oncol 2014;113:158-65. [Crossref] [PubMed]
- Janssen MH, Öllers MC, van Stiphout RG, et al. PET-based treatment response evaluation in rectal cancer: prediction and validation. Int J Radiat Oncol Biol Phys 2012;82:871-6. [Crossref] [PubMed]
- Khakoo S, Carter PD, Brown G, et al. MRI Tumor Regression Grade and Circulating Tumor DNA as Complementary Tools to Assess Response and Guide Therapy Adaptation in Rectal Cancer. Clin Cancer Res 2020;26:183-92. [Crossref] [PubMed]
- Murono K, Kawai K, Tsuno NH, et al. Barium enema and CT volumetry for predicting pathologic response to preoperative chemoradiotherapy in rectal cancer patients. Dis Colon Rectum 2014;57:715-24. [Crossref] [PubMed]
- Hünerbein M, Pegios W, Rau B, et al. Prospective comparison of endorectal ultrasound, three-dimensional endorectal ultrasound, and endorectal MRI in the preoperative evaluation of rectal tumors. Preliminary results. Surg Endosc 2000;14:1005-9. [Crossref] [PubMed]
- Bianchi P, Ceriani C, Palmisano A, et al. A prospective comparison of endorectal ultrasound and pelvic magnetic resonance in the preoperative staging of rectal cancer. Ann Ital Chir 2006;77:41-6. [PubMed]
- Jost C, Binek J, Schuller JC, et al. Endosonographic radial tumor thickness after neoadjuvant chemoradiation therapy to predict response and survival in patients with locally advanced esophageal cancer: a prospective multicenter phase ll study by the Swiss Group for Clinical Cancer Research (SAKK 75/02). Gastrointest Endosc 2010;71:1114-21. [Crossref] [PubMed]
- Li N, Dou L, Zhang Y, et al. Use of sequential endorectal US to predict the tumor response of preoperative chemoradiotherapy in rectal cancer. Gastrointest Endosc 2017;85:669-74. [Crossref] [PubMed]
- Edge SB, Byrd DR, Compton CC. AJCC Cancer Staging Manual. 7th ed. New York: Springer 2010:237-6.
- Pastor C, Subtil JC, Sola J, et al. Accuracy of endoscopic ultrasound to assess tumor response after neoadjuvant treatment in rectal cancer: can we trust the findings? Dis Colon Rectum 2011;54:1141-6. [Crossref] [PubMed]
- Pomerri F, Pucciarelli S, Maretto I, et al. Prospective assessment of imaging after preoperative chemoradiotherapy for rectal cancer. Surgery 2011;149:56-64. [Crossref] [PubMed]
- Kye BH, Kim HJ, Kim G, et al. Multimodal Assessments Are Needed for Restaging after Neoadjunvant Chemoradiation Therapy in Rectal Cancer Patients. Cancer Res Treat 2016;48:561-6. [Crossref] [PubMed]
- Liu S, Zhong GX, Zhou WX, et al. Can Endorectal Ultrasound, MRI, and Mucosa Integrity Accurately Predict the Complete Response for Mid-Low Rectal Cancer After Preoperative Chemoradiation? A Prospective Observational Study from a Single Medical Center. Dis Colon Rectum 2018;61:903-10. [Crossref] [PubMed]
- Zhao RS, Wang H, Zhou ZY, et al. Restaging of locally advanced rectal cancer with magnetic resonance imaging and endoluminal ultrasound after preoperative chemoradiotherapy: a systemic review and meta-analysis. Dis Colon Rectum 2014;57:388-95. [Crossref] [PubMed]
- Huh JW, Park YA, Jung EJ, et al. Accuracy of endorectal ultrasonography and computed tomography for restaging rectal cancer after preoperative chemoradiation. J Am Coll Surg 2008;207:7-12. [Crossref] [PubMed]
- Kolev NY, Tonev AY, Ignatov VL, et al. The role of 3-D endorectal ultrasound in rectal cancer: our experience. Int Surg 2014;99:106-11. [Crossref] [PubMed]
- Eisenhauer EA, Therasse P, Bogaerts J, et al. New response evaluation criteria in solid tumours: revised RECIST guideline (version 1.1). Eur J Cancer 2009;45:228-47. [Crossref] [PubMed]
- Yang X, Huang Y, Huang R, et al. Searching collaborative agents for multi-plane localization in 3D ultrasound. Med Image Anal 2021;72:102119. [Crossref] [PubMed]
- Petrillo A, Fusco R, Petrillo M, et al. Standardized Index of Shape (SIS): a quantitative DCE-MRI parameter to discriminate responders by non-responders after neoadjuvant therapy in LARC. Eur Radiol 2015;25:1935-45. [Crossref] [PubMed]
- Kim YC, Lim JS, Keum KC, et al. Comparison of diffusion-weighted MRI and MR volumetry in the evaluation of early treatment outcomes after preoperative chemoradiotherapy for locally advanced rectal cancer. J Magn Reson Imaging 2011;34:570-6. [Crossref] [PubMed]

