The use of Esketamine in CT-guided percutaneous liver tumor ablation reduces the consumption of remifentanil: a randomized, controlled, double-blind trial
Introduction
With the continuous development of medical technology and instruments, minimally invasive techniques such as microwave and radiofrequency ablation (RFA) have become the main treatment methods for liver tumor patients who cannot or are not suitable for surgical treatment (1-3). In the anesthesia management of percutaneous liver tumor ablation, the analgesia requirement is very strict (4). Currently, at the Sun Yat-sen University Cancer Center, Guangzhou, intravenous anesthesia is commonly used, such as remifentanil combined with sedative drugs (5). Due to the rapid rise of the temperature during the ablation, the pain experienced by the patient increases suddenly, and the pain relief is not instantaneous after increasing the dosage of remifentanil. Besides, the extensive use of remifentanil in a short time may cause respiratory depression (6-8). Thus, there is a need to compound a medium- or long-term analgesic drug that does not inhibit respiration to maintain patient comfort during the ablation.
Ketamine is a kind of non-barbiturate anesthetic (9) of which a small dose can produce sedative and analgesic effects and a large dose yields an anesthetic effect (10-13). Ketamine has been widely administered in pain management, neurology, and psychiatry, since the 1960s. The subanaesthetic dosage of ketamine (no more than 0.35 mg/kg or 1 mg/kg/h) can improve postoperative pain and reduce the consumption of opioids by 20%. It is also widely used in painless gastroscopy as an analgesic (14).
Esketamine, with a higher efficiency, mainly acts on N-methyl-D-aspartate (NMDA) receptor and integrates sedation, analgesia, and the anesthesia effect (15-19). It can also reverse the respiratory depression caused by remifentanil, which improves the quality of perioperative analgesia. It has been adopted in some European countries for decades and has been used in Chinese hospitals in recent years. Its analgesic effect is twice that of ketamine; therefore, lower clinical doses of esketamine are demanded, and side effects (such as nightmare, delirium, and agitation) are decreased (14). In theory, esketamine is suitable for the analgesia and sedation needs of percutaneous liver tumor ablation (20-22).
The recommended dose of esketamine for induction of general anesthesia is 0.5 mg/kg. However, our pre-experiments revealed that after 0.5 mg/kg esketamine, i.v., most of the patients experienced psychiatric symptoms, which affected the ablation operation; while 0.2 mg/kg esketamine, i.v. had a certain analgesic effect, less side effects, and could significantly reduce the dosage of remifentanil, but still some patients experienced psychiatric symptoms. Therefore, this experiment was designed to investigate the potential of combinational therapy and the most appropriate dose of esketamine. We present the following article in accordance with the CONSORT reporting checklist (available at https://atm.amegroups.com/article/view/10.21037/atm-22-2756/rc).
Methods
Grouping and randomization
This study was a randomized, placebo-controlled, double-blind clinical trial. Patients were divided into three groups. The regular anesthesia model included dexmedetomidine 0.5 µg/kg, intravenous glucose tolerance test (IVGTT), remifentanil continuous infusion, flurbiprofen 50 mg, i.v., palonosetron 0.225 mg, i.v., and 1% lidocaine for local anesthesia. Group A was the regular control group, only using the regular model; Group B also received 0.1 mg/kg esketamine, i.v.; and Group C also received with 0.2 mg/kg esketamine, i.v.. Patients were randomly divided into three groups by SPSS version 25.0 (IBM Corp., Armonk, NY, USA), and the whole experiment was double-blind. The patients and the investigators didn’t know the specific grouping.
The concentration of esketamine in Group A, Group B, Group C was 0, 1, and 2 mg/mL, respectively, diluted by one person who did not participate in the experiment. The drugs were administered from the same 10 mL syringes and labeled from 001 to 120 in order. Then the researcher gave each patient 0.1 mL/kg according to the label.
Patient selection
This was a randomized study performed between December 2020 and March 2021 at Sun Yat-sen University Cancer Center. The study was conducted in accordance with the Declaration of Helsinki (as revised in 2013). This study was approved by the Research Ethics Committee in Sun Yat-sen University Cancer Center (No. B2020-381-01), and written informed consent was provided by all participants.
The included patients were scheduled for computed tomography (CT)-guided percutaneous liver tumor ablation, American Society of Anesthesiology (ASA) class I or II, age 18 to 65 years old. The number of liver tumors was no more than 3, and the operation time should have been less than 3 hours. Patient renal function was required to be normal and the Child-Pugh score of liver function needed to be Grade A. All had not participated in other clinical drug trials in the past month.
The exclusion criteria were as follows: (I) patients with mental illness; (II) patients who had received more than 3 times of ablation treatment before; (III) alcoholics; (IV) hypertensive patients with poor control or without regular treatment; (V) patients with contraindications of the study drug such as glaucoma, intracranial tumor, cerebrovascular disease, and so on; (VI) patients allergic to the study drug; (VII) patients with long-term use of sedatives or analgesics; and (VIII) patients who had experienced acute upper respiratory infection in the recent 2 weeks.
Analgesic methods and surgical procedure
All participants had fasted overnight before the ablation, and underwent the usual vital sign monitoring (including noninvasive blood pressure monitoring, electrocardiogram (ECG), pulse oximetry monitoring, respiratory rate monitoring). Participants in all three groups were given an intravenous infusion of dexmedetomidine 0.5 µg/kg (diluted in 100 mL of normal saline and slowly instilled within 10 minutes). The concentration of esketamine in Group A, Group B, and Group C was 0, 1, and 2 mg/mL, respectively. Each patient received a slow intravenous injection of 0.1 mL/kg of the test drug when the sterilization started. We started pumping remifentanil in target controlled infusion (TCI) mode in the initial target concentration of 1 ng/mL at the same time with 1% lidocaine for local infiltration anesthesia, and we could increase or decrease the concentration of remifentanil by 0.3 ng/mL per time, according to the patient’s response, maintaining the patient’s visual analogue score (VAS) at no more than 3. After the operation, when the patient’s VAS score was more than 4, 100 mg of tramadol was administered intramuscularly and recorded. If other analgesic drugs were used, they were also recorded.
During the operation, the heart rate was required to be maintained at 40–100 bpm, and the fluctuation of noninvasive blood pressure needed to be less than 20%. Vasoactive drugs, such as atropine, ephedrine, norepinephrine, nitroglycerin, and so on, could be used when necessary.
Nasal catheter oxygen inhalation was used during the ablation, with 3–4 L/min, fraction of inspired oxygen (FiO2) 30%, to make the saturation of peripheral oxygen (SpO2) 95–100%, and the respiratory rate 12–24 bpm. If respiratory depression occurred (defined as follows: in the absence of airway obstruction, the pulse oxygen saturation drops below 90% while using nasal catheter oxygen inhalation (3 L/min), and assisted breathing is required), we should conduct a mask ventilation or positive-pressure ventilation immediately, and decrease the concentration of remifentanil according to the patient’s pain score. If there was no improvement, remifentanil was discontinued and nalmefene was used if necessary (the initial dose was 0.25 µg/kg intravenously, and it could be increased by 0.25 µg/kg 2–5 minutes later).
If the patient experienced nausea and vomiting during the operation, their head was tilted to one side and an aspirator was prepared. Patients with severe vomiting could be given an additional dose of antiemetic, which was recorded.
Study outcomes
The primary outcome was the total dosage of remifentanil (µg). The secondary outcomes included the maximum dosage of remifentanil (ng/mL), the VAS, and the Ramsay score. Safety outcomes included the heart rate, noninvasive blood pressure, respiratory rate, and the SpO2. All of these readings were recorded before anesthesia (T0), at the beginning of the operation (T1), during the insertion (T2), at the beginning of the ablation (T3), 5 minutes after the ablation (T4), at the end of the ablation (T5), 1 hour after the operation (T6), 6 hours after the operation (T7), and 24 hours after the operation (T8).
Statistical analysis
The sample size was calculated on the basis of our pre-experimental data: the total dosage of remifentanil in the regular control group was 109 µg, and that in the test group (0.2 mg/kg esketamine, i.v.) was 82.85 µg. Based on the homogeneity of variance, the standard deviation in the two groups was equal: 38.15 µg. Assuming a single-sided α risk of 5% and a power of 80%, we found that the sample size should be 40 per group to detect a decrease by 20% of the total dosage of remifentanil between the regular control group and the test group who also received 0.2 mg/kg esketamine, i.v..
We used a modified per-protocol approach to perform analyses in our study. The missing data was excluded from data analysis. Continuous variables were described as the mean ± SD, compared by ANOVA (one-side) and multiple comparisons; the categorical variables were described as percentages, compared by Pearson chi-square test. All statistical analyses were conducted in SPSS version 25.0 and GraphPad version 8.0 (GraphPad Software, San Diego, CA, USA). A P value no more than 0.05 was considered statistically significant.
Results
Study population
From December 2020 to March 2021, a total of 120 patients from Sun Yat-sen University Cancer Center were randomized to three groups, and 108 were included in the primary outcome analysis (Figure 1): 36 were allocated to Group A (the regular control group), 37 were allocated to Group B (0.1 mg/kg esketamine, i.v.), and 35 were allocated to Group C (0.2 mg/kg esketamine, i.v.). The baseline characteristics were similar in three groups (Tables 1,2).
Table 1
| Characteristics | Group, n (%) | P value | ||
|---|---|---|---|---|
| A | B | C | ||
| Gender | 0.289 | |||
| Male | 26 (72.2) | 32 (86.5) | 29 (82.9) | |
| Female | 10 (27.8) | 5 (13.5) | 6 (17.1) | |
| The origin of the tumor | 0.527 | |||
| Primary tumor | 24 (66.7) | 29 (78.4) | 25 (71.4) | |
| Metastatic tumor | 12 (33.3) | 8 (21.6) | 10 (28.6) | |
| History of ablation | 0.373 | |||
| No | 24 (66.7) | 20 (54.1) | 18 (51.4) | |
| Yes | 12 (33.3) | 17 (45.9) | 17 (48.6) | |
| Type of ablation | 0.410 | |||
| Microwave | 33 (91.7) | 30 (81.1) | 30 (85.7) | |
| Radiofrequency | 3 (8.3) | 7 (18.9) | 5 (14.3) | |
| Number of tumors | 0.081 | |||
| Only one | 24 (66.7) | 30 (81.1) | 20 (57.1) | |
| More than one | 12 (33.3) | 7 (18.9) | 15 (42.9) | |
| The minimum distance from the tumor to the capsule | 0.168 | |||
| d ≤1 cm | 24 (68.6) | 26 (70.0) | 30 (85.7) | |
| d >1 cm | 11 (31.4) | 11 (30.0) | 5 (14.3) | |
| ASA classification | 0.862 | |||
| I | 3 (8.3) | 2 (5.4) | 2 (5.7) | |
| II | 33 (91.7) | 35 (94.6) | 33 (94.3) | |
The baseline characteristics in three groups, including the gender, origin of the tumor, a history of ablation, type of the ablation, number of the tumors, and the minimum distance from the tumor to the capsule, were compared with Pearson chi-square test. All the P values were more than 0.05, so these baseline characteristics in three groups were similar. ASA, American Society of Anesthesiologists.
Table 2
| Characteristics | Group, mean ± SD | P value | ||
|---|---|---|---|---|
| A | B | C | ||
| Age (years) | 51.0±8.5 | 49.5±8.4 | 50.8±10.2 | 0.735 |
| Total time of the operation (minutes) | 51.83±21.72 | 53.81±27.85 | 56.94±28.57 | 0.721 |
| Duration of the ablation (minutes) | 28.22±16.60 | 25.68±19.39 | 25.06±25.42 | 0.792 |
The baseline characteristics in three groups, including the age, total time of the operation, and duration of the ablation, were compared with t-test. All the P values were more than 0.05, so the baseline characteristics in three groups were similar.
Primary outcome
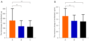
The primary outcome was the total dosage of remifentanil (µg). During percutaneous liver tumor ablation, patients may experience sudden and severe pain as the temperature rises. We recorded and compared the total dosage of remifentanil of each patient in the three groups (Table 3 and Figure 2A).
Table 3
| Consumption of opioids | Group, mean ± SD | P value | ||
|---|---|---|---|---|
| A | B | C | ||
| Maximum dosage (ng/mL) | 1.76±0.62 | 1.37±0.47 | 1.33±0.56 | 0.002** |
| Total dosage (μg) | 179.38±123.37 | 120.31±57.96 | 115.91±62.42 | 0.003** |
| When the minimum distance of the tumor and the capsule (d) was ≤1 cm | ||||
| Maximum dosage (ng/mL) | 1.81±0.66 | 1.36±0.46 | 1.36±0.59 | 0.008** |
| Total dosage (μg) | 173.50±115.01 | 125.82±60.93 | 120.88±65.40 | 0.048* |
| When the minimum distance of the tumor and the capsule (d) was >1 cm | ||||
| Maximum dosage (ng/mL) | 1.61±0.52 | 1.41±0.51 | 1.12±0.27 | 0.188 |
| Total dosage (μg) | 189.26±150.20 | 107.31±50.47 | 86.12±28.43 | 0.104 |
**, P<0.01; *, P<0.05.
The total dosage of remifentanil in Group A (the regular control group), Group B (0.1 mg/kg esketamine, i.v.), and Group C (0.2 mg/kg esketamine, i.v.) was 179.38±123.37, 120.31±57.96, and 115.91±62.42 µg, respectively. We found that the total dosage of remifentanil in Group B and Group C was significantly decreased in comparison with that in Group A (P=0.004, P=0.003, respectively), however it was almost the same in Group B and Group C (P=0.830). Therefore, we concluded that esketamine combined with remifentanil in percutaneous liver tumor ablation could reduce the total dosage of remifentanil and reduce the consumption of opioids, which may be beneficial to patients.
Secondary outcomes
The secondary outcomes included the maximum dosage of remifentanil (ng/mL), the VAS and the Ramsay score.
The maximum dosage of remifentanil in Group A (the regular control group), Group B (0.1 mg/kg esketamine, i.v.), and Group C (0.2 mg/kg esketamine, i.v.) was 1.76±0.62, 1.37±0.47, and 1.33±0.56 ng/mL, respectively (Table 3 and Figure 2B). We found that in Group B and Group C the dosage of remifentanil was significantly decreased comparing with Group A (P=0.003, P=0.001, respectively), however it was almost the same in Group B and Group C (P=0.717), which was consistent with the primary outcome.
The incidence of severe pain during the ablation in Group B was significantly lower than that in Group A (3 vs. 12, P<0.05). Although in Group C, the incidence of severe pain was lower than that in Group A, it was not statistically significant (5 vs. 12, P=0.06). There was no difference between Group B and Group C (3 vs. 5, P>0.05). We interpreted that the use of esketamine in percutaneous liver tumor ablation could reduce the occurrence of severe pain; however the specific difference between group C and group A requires a larger sample size for analysis. In the incidence of severe pain after the operation, there was no significant difference among the three groups (Table 4).
Table 4
| Characteristics | Group, n (%) | Total, n (%) | ||
|---|---|---|---|---|
| A | B | C | ||
| Severe pain during the ablation | 12 (33.3) | 3 (8.1*) | 5 (14.3) | 20 (18.5) |
| Severe pain after the operation | 10 (27.8) | 10 (27.0) | 8 (22.3) | 28 (25.9) |
*, the incidence of severe pain during the ablation in Group B was significantly lower than that in Group A (P<0.05).
A statistical analysis of 108 patients’ Ramsay score showed that only 4 patients were over sedated so that they were unable to cooperate and breathe according to the surgeon’s instructions, and all these 4 patients were in group C (esketamine 0.2 mg/kg, i.v.). A total of 9 patients in group C developed psychiatric symptoms, including a sense of separation of the body and spirit or nonsense. However, patients in Group A and Group B had no similar situation (Table 5). It could be concluded that for conscious patients with intravenous general anesthesia, esketamine 0.2 mg/kg, i.v., may still cause some psychiatric symptoms; while esketamine 0.1 mg/kg, i.v., combined with remifentanil, had an analgesic effect comparable to higher drug doses, but the incidence of psychiatric adverse reactions could be significantly decreased.
Table 5
| The sedative effect | Group, n | Total | ||
|---|---|---|---|---|
| A | B | C | ||
| Quiet | 34 | 34 | 25 | 93 |
| Light sleeping | 2 | 3 | 6 | 11 |
| Over sedative | 0 | 0 | 4 | 4 |
| Psychiatric symptoms | 0 | 0 | 9 | 9 |
Safety outcomes
The safety outcomes included the vital signs and the adverse reactions.
We recorded and compared the vital signs, including the systolic blood pressure (SBP), diastolic blood pressure (DBP), mean blood pressure (MBP), heart rate (HR), respiratory rate (RR), the SpO2 at T0 (before the anesthesia), T1 (at the beginning of the operation), T2 (during the insertion), T3 (at the beginning of the ablation), T4 (5 minutes after the ablation), T5 (at the end of the ablation), T6 (1 hour after the operation), T7 (6 hours after the operation), and T8 (24 hours after the operation). There was no difference among three groups in terms of vital signs (Figure 3A-3F).
Common adverse reactions within 24 hours after liver ablation surgery are nausea and vomiting. A total of 29 patients experienced nausea and vomiting, including 9 in Group A, 9 in Group B, and 11 in Group C (Table 6). There was no statistical difference among the three groups in terms of nausea and vomiting. It is known that percutaneous liver tumor ablation itself can cause some gastrointestinal reactions such as nausea and vomiting. We assumed that the sample size in our experiment was not large enough to determine the difference of the incidence of nausea and vomiting caused by remifentanil.
Table 6
| Group | A | B | C |
|---|---|---|---|
| Nausea and vomiting | 9 | 9 | 11 |
| Percentage of nausea and vomiting (%) | 25.0 | 24.3 | 31.4 |
Hypothesis
It has been reported that in percutaneous liver tumor ablation, the degree of the pain is related to the distance from the tumor to the capsule. However, whether the proximity of the tumor to the capsule can cause a significantly severe pain is still inconclusive. Therefore, according to the distance from the tumor to the capsule, the opioid consumption among three groups was further compared and analyzed in our experiment.
Among the 108 patients included in our analysis, the minimum distance from the tumor to the capsule (d) of 80 patients was no more than 1 cm, including 24 patients in Group A, 26 in Group B, and 30 in Group C; and the d of the other 27 patients was more than 1 cm (Table 1).
When the distance was no more than 1 cm, the total dosage of remifentanil in Group A (the regular control group), Group B (0.1 mg/kg esketamine, i.v.), and Group C (0.2 mg/kg esketamine, i.v.) was 173.50±115.01, 125.82±60.93, and 120.88±65.40 µg, respectively. The maximum dosage of remifentanil in Group A, Group B, and Group C was 1.81±0.66, 1.36±0.46, and 1.36±0.59 ng/mL, respectively (Table 3, Figure 4A,4B). We found that in Group B and Group C, both the total and the maximum dosage of remifentanil were significantly decreased in comparison to Group A (P<0.05); however they were almost the same in Group B and Group C (P>0.05).
However, if the distance from the tumor to capsule was more than 1 cm, we found that both the total and the maximum dosage of remifentanil were not statistically different in three groups (P>0.05) (Table 3, Figure 5A,5B).
Therefore, our hypothesis was that if the minimum distance from the tumor to the capsule was no more than 1 cm, it may cause a significantly severe pain in percutaneous liver tumor ablation. A study involving a larger sample size is required to support this hypothesis.
Discussion
In recent years, with the continuous development of medical technology and equipment, minimally invasive techniques such as microwave ablation (MWA) and RFA have become the main treatment methods for liver tumor patients who cannot or are not suitable for surgical treatment (1-3). Due to the need for ultrasound or CT during the operation, such minimally invasive operations are usually performed in the interventional operating room, the anesthesia equipment of which is relatively simple. Therefore, more attention should be paid to the safety of patients during the operation. In the anesthesia management of percutaneous liver tumor ablation, the requirement of analgesia and sedation is very strict (4), and is aimed at relieving the interoperative pain, and concurrently assuage fear and anxiety of the patients, thus maintaining patient comfort.
Local anesthesia, epidural anesthesia, general anesthesia, intravenous sedation, and other anesthesia methods can be used in percutaneous liver tumor ablation (5,23-25). Each method has its own advantages and disadvantages. Nowadays, intravenous anesthesia is commonly used in our hospital, such as remifentanil combined with sedative drugs (5). Remifentanil has a strong analgesic effect, fast onset, and short half-life (26-28). However, the extensive use of remifentanil in a short time may cause respiratory depression (6-8) and may cause a post-surgical hyperalgesia (29,30). There is a need to discover a medium- or long-term analgesic drug to combine with remifentanil.
We found that the use of esketamine in CT-guided percutaneous liver tumor ablation could reduce the consumption of opioids. However, the psychiatric symptoms caused by esketamine should not be ignored. In clinical practice, the indications and contraindications of esketamine should be strictly followed. We should pay close attention to the mental symptoms caused by esketamine and intervene in time to keep a safe medical environment.
This trial had several limitations. First, it was a single-center trial. The conclusions need to be further confirmed through a multi-center study with a larger sample. Second, the exclusion criteria of our experiment included patients who had undergone ablation procedures more than 3 times in the past. This was because if the patient had used opioids frequently in the past, it may lead to an analgesic tolerance and affect the amounts of opioids required. Other minimally invasive surgeries or open surgeries can also lead to a tolerance to analgesics. We did not exclude patients with other minimally invasive surgeries or open surgeries, which may have led to selection bias.
Conclusions
The use of esketamine can reduce the dosage of opioids in the liver tumor ablation and reduce the occurrence of severe pain. We found that 0.1 mg/kg esketamine, i.v., is more suitable for the ablation.
Acknowledgments
We would like to acknowledge and express our deepest gratitude to all the participants of this study.
Funding: This work was supported by H.O.’s Clinical Medical Scientists Project of Sun Yat-sen University Cancer Center (PT09090101).
Footnote
Reporting Checklist: The authors have completed the CONSORT reporting checklist. Available at https://atm.amegroups.com/article/view/10.21037/atm-22-2756/rc
Trial Protocol: Available at https://atm.amegroups.com/article/view/10.21037/atm-22-2756/tp
Data Sharing Statement: Available at https://atm.amegroups.com/article/view/10.21037/atm-22-2756/dss
Conflicts of Interest: All authors have completed the ICMJE uniform disclosure form (available at https://atm.amegroups.com/article/view/10.21037/atm-22-2756/coif). The authors have no conflicts of interest to declare.
Ethical Statement: The authors are accountable for all aspects of the work in ensuring that questions related to the accuracy or integrity of any part of the work are appropriately investigated and resolved. The study was conducted in accordance with the Declaration of Helsinki (as revised in 2013). The study was approved by the Research Ethics Committee in Sun Yat-sen University Cancer Center (No. B2020-381-01) and informed consent was provided by all individual participants.
Open Access Statement: This is an Open Access article distributed in accordance with the Creative Commons Attribution-NonCommercial-NoDerivs 4.0 International License (CC BY-NC-ND 4.0), which permits the non-commercial replication and distribution of the article with the strict proviso that no changes or edits are made and the original work is properly cited (including links to both the formal publication through the relevant DOI and the license). See: https://creativecommons.org/licenses/by-nc-nd/4.0/.
References
- Zhu F, Rhim H. Thermal ablation for hepatocellular carcinoma: what's new in 2019. Chin Clin Oncol 2019;8:58. [Crossref] [PubMed]
- Shiina S, Sato K, Tateishi R, et al. Percutaneous Ablation for Hepatocellular Carcinoma: Comparison of Various Ablation Techniques and Surgery. Can J Gastroenterol Hepatol 2018;2018:4756147. [Crossref] [PubMed]
- Luo W, Zhang Y, He G, et al. Effects of radiofrequency ablation versus other ablating techniques on hepatocellular carcinomas: a systematic review and meta-analysis. World J Surg Oncol 2017;15:126. [Crossref] [PubMed]
- Sabo B, Dodd GD 3rd, Halff GA, et al. Anesthetic considerations in patients undergoing percutaneous radiofrequency interstitial tissue ablation. AANA J 1999;67:467-8. [PubMed]
- Amornyotin S, Jirachaipitak S, Wangnatip S. Anesthetic management for radiofrequency ablation in patients with hepatocellular carcinoma in a developing country. J Anesth Crit Care Open Access 2015;3:00086.
- Boom M, Niesters M, Sarton E, et al. Non-analgesic effects of opioids: opioid-induced respiratory depression. Curr Pharm Des 2012;18:5994-6004. [Crossref] [PubMed]
- Kiyatkin EA. Respiratory depression and brain hypoxia induced by opioid drugs: Morphine, oxycodone, heroin, and fentanyl. Neuropharmacology 2019;151:219-26. [Crossref] [PubMed]
- Jonkman K, van Rijnsoever E, Olofsen E, et al. Esketamine counters opioid-induced respiratory depression. Br J Anaesth 2018;120:1117-27. [Crossref] [PubMed]
- Barrett W, Buxhoeveden M, Dhillon S. Ketamine: a versatile tool for anesthesia and analgesia. Curr Opin Anaesthesiol 2020;33:633-8. [Crossref] [PubMed]
- Vaessen HHB, Knuttel FM, van Breugel JMM, et al. Moderate-to-deep sedation technique, using propofol and ketamine, allowing synchronised breathing for magnetic resonance high-intensity focused ultrasound (MR-HIFU) treatment for uterine fibroids: a pilot study. J Ther Ultrasound 2017;5:8. [Crossref] [PubMed]
- Niesters M, Martini C, Dahan A. Ketamine for chronic pain: risks and benefits. Br J Clin Pharmacol 2014;77:357-67. [Crossref] [PubMed]
- Hagedorn JM, Monico EC. Ketamine Infusion for Pain Control in Acute Pediatric Sickle Cell Painful Crises. Pediatr Emerg Care 2019;35:78-9. [Crossref] [PubMed]
- Peltoniemi MA, Hagelberg NM, Olkkola KT, et al. Ketamine: A Review of Clinical Pharmacokinetics and Pharmacodynamics in Anesthesia and Pain Therapy. Clin Pharmacokinet 2016;55:1059-77. [Crossref] [PubMed]
- Zhang C, He J, Shi Q, et al. Subanaesthetic dose of esketamine during induction delays anaesthesia recovery a randomized, double-blind clinical trial. BMC Anesthesiol 2022;22:138. [Crossref] [PubMed]
- Kalmoe MC, Janski AM, Zorumski CF, et al. Ketamine and nitrous oxide: The evolution of NMDA receptor antagonists as antidepressant agents. J Neurol Sci 2020;412:116778. [Crossref] [PubMed]
- van de Bunt JA, Veldhoen ES, Nievelstein RAJ, et al. Effects of esketamine sedation compared to morphine analgesia on hydrostatic reduction of intussusception: A case-cohort comparison study. Paediatr Anaesth 2017;27:1091-7. [Crossref] [PubMed]
- Smits GJ, Kuypers MI, Mignot LA, et al. Procedural sedation in the emergency department by Dutch emergency physicians: a prospective multicentre observational study of 1711 adults. Emerg Med J 2017;34:237-42. [Crossref] [PubMed]
- Li X, Xiang P, Liang J, et al. Global Trends and Hotspots in Esketamine Research: A Bibliometric Analysis of Past and Estimation of Future Trends. Drug Des Devel Ther 2022;16:1131-42. [Crossref] [PubMed]
- Harder M, Fiegl-Lechner A, Oberacher H, et al. Stability evaluation of morphine, hydromorphone, metamizole and esketamine containing analgesic mixtures applied for patient-controlled analgesia in hospice and palliative care. Biomed Chromatogr 2022;36:e5340. [Crossref] [PubMed]
- Song X, Wang F, Dong R, et al. Efficacy and Safety of Remimazolam Tosilate Combined With Esketamine for Analgesic Sedation in Mechanically Ventilated ICU Patients: A Single-Arm Clinical Study Protocol. Front Med (Lausanne) 2022;9:832105. [Crossref] [PubMed]
- Xin N, Xu H, Yue C. Comparison between dexmedetomidine and esketamine in pediatric dentistry surgery. Transl Pediatr 2021;10:3159-65. [Crossref] [PubMed]
- Li Y, Zhou X, Shen X. Esketamine may be an ideal substitute for ketamine during cochlear function measurement. Braz J Med Biol Res 2021;54:e11503. [Crossref] [PubMed]
- Lai R, Peng Z, Chen D, et al. The effects of anesthetic technique on cancer recurrence in percutaneous radiofrequency ablation of small hepatocellular carcinoma. Anesth Analg 2012;114:290-6. [Crossref] [PubMed]
- Kuo YH, Chung KC, Hung CH, et al. The impact of general anesthesia on radiofrequency ablation of hepatocellular carcinoma. Kaohsiung J Med Sci 2014;30:559-65. [Crossref] [PubMed]
- Bentley JN, Viswanathan A, Rosenberg WS, et al. Treatment of medically refractory cancer pain with a combination of intrathecal neuromodulation and neurosurgical ablation: case series and literature review. Pain Med 2014;15:1488-95. [Crossref] [PubMed]
- Joung KW, Choi SS, Jang DM, et al. Comparative Effects of Dexmedetomidine and Propofol on US-Guided Radiofrequency Ablation of Hepatic Neoplasm Under Monitored Anesthesia Care: A Randomized Controlled Study. Medicine (Baltimore) 2015;94:e1349. [Crossref] [PubMed]
- Park NS, Bae JI, Park AW, et al. Safety and effectiveness of analgesia with remifentanil for percutaneous transhepatic biliary drainage. AJR Am J Roentgenol 2009;192:1430-3. [Crossref] [PubMed]
- Weibel S, Jelting Y, Afshari A, et al. Patient-controlled analgesia with remifentanil versus alternative parenteral methods for pain management in labour. Cochrane Database Syst Rev 2017;4:CD011989. [Crossref] [PubMed]
- Yi P, Pryzbylkowski P. Opioid Induced Hyperalgesia. Pain Med 2015;16:S32-6. [Crossref] [PubMed]
- Colvin LA, Bull F, Hales TG. Perioperative opioid analgesia-when is enough too much? A review of opioid-induced tolerance and hyperalgesia. Lancet 2019;393:1558-68. [Crossref] [PubMed]
(English Language Editor: J. Jones)

