MALT1 serves as a biomarker for estimating disease risk of lupus nephritis: a prospective case-control study
Introduction
Lupus nephritis (LN) is a common inflammatory kidney disease caused by the deposition of immune complexes (ICs) in the glomeruli, whose clinical features include hematuria and proteinuria (1-3). As a major organ involved in systemic lupus erythematosus (SLE), about 40–50% of SLE is complicated with LN; additionally, LN is more prevalent in females than males with a female-to-male ratio ranging from 6.1:1 to 15:1 (4,5). Notably, once LN occurs, end-stage renal disease occurrence risk is greatly increased in SLE patients, and it might eventually cause death in these patients (6-8). Thus, identifying some feasible biomarkers that will assist clinicians to monitor the disease risk and severity of LN is meaningful.
Mucosa-associated lymphoid tissue lymphoma translocation protein 1 (MALT1) is an important intracellular signaling protein with both scaffold and proteolytic functions, which activates immune and inflammation-related signaling pathways (9,10). On account of the above functions, previous studies observe that MALT1 participates in the development of several autoimmune/inflammatory diseases [e.g., psoriasis and rheumatoid arthritis (RA)] (11-13). For example, a previous study showed that MALT1 triggers a glutaminase 1-mediated glutaminolysis and immune imbalance, which further promotes the skin lesions of psoriasis (11). Another study showed that MALT1 is linked to disease activity in RA patients, and its decrement is related to the treatment response and remission following the administration of a conventional disease‐modifying antirheumatic drug or a biologics‐based regimen (13). In relation to kidney injury, MALT1 binds to B cell lymphoma 10 (BCL-10) and further facilitates renal fibrosis in angiotensin II (Ang II)-induced renal damage (14). Consequently, MALT1 might serve as a useful biomarker in LN management. The previous studies find some biomarkers for monitoring the disease severity and inflammation level of LN, such as urinary galectin-3 binding protein, CD163, etc. (15,16). Nonetheless, the utility of MALT1 serving as an indicator of severity and inflammation biomarker in LN remains unknown in LN.
Hence, the current study sought to investigate the clinical value of MALT1 in indicating LN risk and its link to disease severity and inflammation in LN patients. We present the following article in accordance with the TRIPOD reporting checklist (available at https://atm.amegroups.com/article/view/10.21037/atm-22-3442/rc).
Methods
Subjects
Thirty LN patients treated between January 2019 and June 2021 in The First People’s Hospital of Jingzhou were sequentially included in this study. Patients had to meet the undermentioned inclusion criteria to be eligible for this study: (I) have a diagnosis of LN in accordance with the American College of Rheumatology criteria (17); (II) be aged 16–80 years; and (III) be willing to comply with the protocol of data collection, sample collection, and disease evaluation. Patients who met any of the following exclusion criteria were excluded: (I) had LN complicated with a hematologic malignancy; (II) had LN concomitant with a solid tumor; and/or (III) were a female patient who was pregnant or breast feeding. Additionally, during the same period, 30 SLE patients without LN (non-LN SLE patients) were also recruited as controls. The same exclusion criteria as that for the LN patients also applied to the non-LN SLE patients. The study was conducted in accordance with the Declaration of Helsinki (as revised in 2013). The study was approved by the Ethics Committee of The First People’s Hospital of Jingzhou [No. 22 (2013)]. Written informed consent was obtained from the patients or their parental/legal guardians.
Data collection
After enrollment, the clinical data were obtained from all subjects, including demographics, clinical manifestations, biochemical indexes, SLE features, and histological features. The SLE disease activity index (SLEDAI) was also calculated for all subjects to assess disease activity (18).
Assessment
For LN patients, LN classification was obtained and categorized as per the classification criteria of the International Society of Nephrology/Renal Pathology Society 2003 (19). The LN activity index and LN chronicity index were determined using the method proposed by Austin et al. (20).
Sample collection and detection
Peripheral blood samples of all subjects were collected after enrollment, and the peripheral blood mononuclear cell samples were then isolated to detect MALT1 expression by reverse transcription-quantitative polymerase chain reaction (RT-qPCR). Total ribonucleic acid (RNA) was obtained by RNeasy Protect Mini Kit (Qiagen, Germany); after which, PrimeScript™ RT reagent Kit (Takara, China) was used for RT. Next, the qPCR was finished by KOD SYBR® qPCR Mix (Toyobo, Japan). The 2−ΔΔCt method was used for calculation of MALT1 relative expression, for which glyceraldehyde 3-phosphate dehydrogenase was used as the internal reference. The previous study were referred for the qPCR primer design (13).
Statistical analysis
The data processing (analysis) and graph construction were conducted via SPSS version 22.0 (IBM Corp., USA) and GraphPad Prism version 7.02 (GraphPad Software Inc., USA), respectively. The clinical characteristics and MALT1 expression were compared between the LN and non-LN SLE patients using the Chi-square test, Student’s t-test, Fisher’s exact test, or Mann-Whitney U test. The profile of MALT1 expression in differentiating subjects was estimated using the receiver-operating characteristic (ROC) curve. Factors affecting the risk of LN were investigated using a multivariate logistic regression model analysis and nomogram (all the collected factors were included in the analysis by the forward stepwise method). The correlation of MALT1 expression with clinical features in LN patients was determined through the Kruskal-Wallis H rank-sum test, Mann-Whitney U-test or Spearman r test. All tests were two-sided, and a P value <0.05 was considered statistically significant.
Results
Clinical features
A total of 37 LN patients were invited, then 5 of them were excluded because of being ineligible for inclusion and 2 of them disagreement to participate. The remaining 30 patients were recruited. In total, 30 LN patients and 30 non-LN SLE patients were recruited with mean ages of 42.1±19.4 and 51.0±15.7 years, respectively (see Table 1). The LN group comprised 4 (13.3%) males and 26 (86.7%) females, while the non-LN SLE group comprised 3 (10.0%) males and 27 (90.0%) females. The median SLE duration of the LN and non-LN SLE patients was 48.0 [interquartile range (IQR), 2.0–140.0] months and 24.0 (IQR, 2.2–48.0) months, and their median SLEDAI scores were 9.0 (IQR, 6.0–14.0) and 9.5 (IQR, 7.0–11.0), respectively. Notably, there was no difference in most of the clinical characteristics of patients between the 2 groups (all P>0.050), except for arthritis manifestation (P=0.010), albumin (P<0.001), 24 h proteinuria (P<0.001), serum creatinine (Scr) (P<0.001), blood urea nitrogen (BUN) (P=0.005), and immunoglobulin G (P=0.006). Additionally, 3 (10.0%), 3 (10.0%), 14 (46.7%), 3 (10.0%), 2 (6.7%), and 5 (16.7%) LN patients were assessed as class II, class III, class IV, class V, class V + III, and class V + IV, correspondingly. The median LN activity index and chronicity index of the LN patients were 7.5 (IQR, 4.0–10.0) and 3.0 (IQR, 2.0–4.0), respectively. The specific clinical features were set out in Table 1.
Table 1
| Items | Non-LN SLE (N=30) | LN (N=30) | P value |
|---|---|---|---|
| Demographics | |||
| Age (years), mean ± SD | 51.0±15.7 | 42.1±19.4 | 0.057 |
| Gender, n (%) | 0.688 | ||
| Male | 3 (10.0) | 4 (13.3) | |
| Female | 27 (90.0) | 26 (86.7) | |
| Clinical manifestations, n (%) | |||
| Affected nervous system | 3 (10.0) | 6 (20.0) | 0.472 |
| Affected cardiovascular system | 3 (10.0) | 5 (16.7) | 0.706 |
| Affected blood system | 15 (50.0) | 15 (50.0) | 1.000 |
| Photo allergy | 2 (6.7) | 3 (10.0) | 1.000 |
| Acropachia | 1 (3.3) | 0 (0.0) | 1.000 |
| Arthritis | 21 (70.0) | 11 (36.7) | 0.010 |
| Reynold’s phenomenon | 4 (13.3) | 0 (0.0) | 0.112 |
| Alopecia | 10 (33.3) | 11 (36.7) | 0.787 |
| Rash | 15 (50.0) | 14 (46.7) | 0.796 |
| Oral ulcer | 3 (10.0) | 3 (10.0) | 1.000 |
| Velcro rales | 3 (10.0) | 1 (3.3) | 0.612 |
| Chest tightness | 2 (6.7) | 1 (3.3) | 1.000 |
| Tussiculation | 4 (13.3) | 0 (0.0) | 0.112 |
| Chest pain | 0 (0.0) | 0 (0.0) | – |
| Fever | 6 (20.0) | 6 (20.0) | 1.000 |
| Biochemical indexes | |||
| WBC (×109/L), median (IQR) | 3.92 (3.14–5.78) | 5.56 (4.02–8.53) | 0.051 |
| Hb (g/L), median (IQR) | 108.5 (97.2–117.8) | 99.0 (86.5–109.8) | 0.099 |
| Platelet (×109/L), mean ± SD | 221.6±125.5 | 197.8±108.0 | 0.433 |
| ALB (g/L), mean ± SD | 34.5±4.6 | 27.7±6.9 | <0.001 |
| ALT (U/L), median (IQR) | 18.0 (11.2–31.2) | 18.5 (11.0–30.2) | 0.923 |
| 24 h proteinuria (g), median (IQR) | 0.078 (0.052–0.144) | 2.045 (0.180–3.622) | <0.001 |
| Scr (µmol/L), median (IQR) | 57.2 (53.4–68.3) | 84.7 (68.2–114.4) | <0.001 |
| BUN (mmol/L), median (IQR) | 4.18 (3.34–5.39) | 5.77 (4.26–10.59) | 0.005 |
| CRP (mg/L), median (IQR) | 3.67 (1.14–11.09) | 7.66 (3.35–21.46) | 0.099 |
| ESR (mm/h), median (IQR) | 44.0 (30.0–62.8) | 44.5 (30.9–65.8) | 0.923 |
| C3 (g/L), median (IQR) | 0.70 (0.45–0.85) | 0.48 (0.38–0.68) | 0.099 |
| C4 (g/L), median (IQR) | 0.14 (0.09–0.18) | 0.12 (0.08–0.18) | 0.668 |
| IgA (g/L), median (IQR) | 2.48 (2.14–3.05) | 2.08 (1.53–2.91) | 0.107 |
| IgG (g/L), median (IQR) | 18.81 (16.01–20.82) | 14.08 (9.13–18.66) | 0.006 |
| IgM (g/L), median (IQR) | 0.94 (0.72–1.33) | 0.80 (0.60–1.21) | 0.325 |
| ANA positive, n (%) | 30 (100.0) | 29 (96.7) | 1.000 |
| Anti-dsDNA positive, n (%) | 14 (46.7) | 16 (53.3) | 0.606 |
| Anti-Sm positive, n (%) | 9 (30.0) | 8 (26.7) | 0.774 |
| Anti-SSA positive, n (%) | 20 (66.7) | 22 (73.3) | 0.573 |
| Anti-SSB positive, n (%) | 6 (20.0) | 4 (13.3) | 0.488 |
| Anti-nRNP positive, n (%) | 19 (63.3) | 14 (46.7) | 0.194 |
| SLE features, median (IQR) | |||
| Disease duration (months) | 24.0 (2.2–48.0) | 48.0 (2.0–140.0) | 0.213 |
| SLEDAI score | 9.5 (7.0–11.0) | 9.0 (6.0–14.0) | 0.976 |
| Histological features | |||
| LN classification, n (%) | – | ||
| Class II | – | 3 (10.0) | |
| Class III | – | 3 (10.0) | |
| Class IV | – | 14 (46.7) | |
| Class V | – | 3 (10.0) | |
| Class V + III | – | 2 (6.7) | |
| Class V + IV | – | 5 (16.7) | |
| LN activity index, median (IQR) | – | 7.5 (4.0–10.0) | – |
| LN chronicity index, median (IQR) | – | 3.0 (2.0–4.0) | – |
LN, lupus nephritis; SLE, systemic lupus erythematosus; SD, standard deviation; IQR, interquartile range; WBC, white blood cell; Hb, hemoglobin; ALB, albumin; ALT, alanine aminotransferase; Scr, serum creatinine; BUN, blood urea nitrogen; CRP, C-reactive protein; ESR, erythrocyte sedimentation rate; C3, complement C3; C4, complement C4; IgA, immunoglobulin A; IgG, immunoglobulin G; IgM, immunoglobulin M; ANA, Anti-nuclear antibody; Anti-dsDNA, anti-double-stranded DNA antibody; Anti-Sm, anti-Smith antibody; Anti-SSA, Anti-Sjögren’s-syndrome-related antigen A antibody; Anti-SSB, Anti-Sjögren’s-syndrome-related antigen B antibody; Anti-nRNP, anti-nuclear ribonucleoprotein antibody; SLEDAI, systemic lupus erythematosus disease activity index.
MALT1 expression and its link to LN risk
MALT1 in LN patients was more increased than that in non-LN SLE patients [2.26 (IQR, 1.38–3.54) vs. 1.04 (IQR, 0.60–1.62); P<0.001; see Figure 1A]. Additionally, MALT1 was positively correlated with LN risk and had an AUC of 0.811 (95% CI: 0.705–0.917), while MALT1 expression was 1.860 at the best cut-off point and had a sensitivity of 63.3% and a specificity of 83.3% (see Figure 1B).
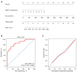
To further validate the correlation between MALT1 and LN risk, a multivariate logistic regression model analysis was conducted, which showed that higher MALT1 was independently related to high LN risk [OR: 3.097, 95% CI: 1.292–7.425; P=0.011; see Table 2]. Additionally, higher Scr was also independently linked to elevated LN risk (OR: 1.055, 95% CI: 1.012–1.099; P=0.011). Subsequently, MALT1 and Scr were used to develop a LN risk estimation nomogram (see Figure 2A), which had a good value for estimating LN risk and had an AUC of 0.873 (95% CI: 0.787–0.960; see Figure 2B). The calibration plots also disclosed good consistency between the observed probabilities and the nomogram’s predictions in relation to LN risk (see Figure 2C).
Table 2
| Items | P value | OR | 95% CI | |
|---|---|---|---|---|
| Lower | Upper | |||
| Higher MALT1 | 0.011 | 3.097 | 1.292 | 7.425 |
| Higher Scr | 0.011 | 1.055 | 1.012 | 1.099 |
LN, lupus nephritis; OR, odds ratio; CI, confidence interval; MALT1, mucosa-associated lymphoid tissue lymphoma translocation protein 1; Scr, serum creatinine.
Comparison of MALT1 with different LN classifications
MALT1 did not differ among LN patients with class II, class III, class IV, class V, class V + III, and class V + IV (P=0.131; see Figure 3A). Further, considering that class V LN might occur in combination with class III or IV, we mixed the class III patients with the class V + III patients, and the class IV patients with the class V + IV patients, and found that MALT1 varied among class II, III (accompanied by V or not), IV (accompanied by V or not), and V patients (P=0.046; see Figure 3B). Further, MALT1 was highest in class IV (accompanied by V or not) patients, followed by class V and class III (accompanied by V or not) patients, and lowest in class II patients.
Association of MALT1 with renal injury and inflammation in LN patients
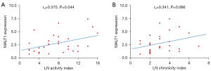
MALT1 was positively linked to the LN activity index in LN patients (rs=0.370, P=0.044; see Figure 4A). However, while MALT1 was positively associated with the LN chronicity index, this did not reach statistical significance in LN patients (rs=0.341, P=0.066; see Figure 4B).
In relation to the renal function indexes, MALT1 was positively linked to 24 h proteinuria (rs=0.473, P=0.008; see Figure 5A) and Scr (rs=0.378, P=0.039; see Figure 5B) in LN patients. It also showed a positive correlating trend (which lacked statistical significance) with BUN (rs=0.350, P=0.058; see Figure 5C). In relation to the inflammation indexes, MALT1 was positively associated with C-reactive protein (CRP) (rs=0.410, P=0.025; see Figure 5D) and showed a positive association trend (without statistical significance) with the erythrocyte sedimentation rate (ESR) (rs=0.299, P=0.108; see Figure 5E).
Discussion
MALT1, which is known for its proteolytic activity and scaffold function, is an important signal-transmitting protein that modulates immune response and inflammation in some autoimmune diseases (21-23). For example, a previous study showed that MALT1 binds to BCL-10 and they form a complex, whose aberrant expression leads to psoriasis or inflammatory bowel disease (IBD) (21). Another study reported that MALT1 is more upregulated in IBD patients than healthy controls, and that MALT1 is positively correlated with the disease risk of IBD (22). The current study showed that MALT1 in LN patients was more elevated than that in non-LN SLE patients, and higher MALT1 was independently related to an increased risk of LN. Some possible explanations include that: (I) MALT1 formed the CARD9-BCL10-MALT1 (CBM) complex, which induces the over-production of ICs; and IC deposition is the main etiology of LN (24-26); thus, higher MALT1 is independently associated with elevated LN risk; and (II) MALT1 induces Ang II, which serves as an important renin-angiotensin and accelerates kidney damage (14,27). Thus, higher MALT1 is independently linked to an increased risk of LN.
In addition to the correlation of MALT1 with LN risk, this study also observed that MALT1 is positively linked to the LN activity index, 24 h proteinuria, and Scr in LN patients, which implies that MALT1 is positively associated with LN severity. It could be that MALT1 facilitates the secretion of pro-inflammatory cytokines and interferon production by triggering the nuclear factor-κB (NF-κB) signaling pathway, which aggravates kidney injury and elevates the disease severity of LN (28,29). Thus, upregulated MALT1 is related to increased LN severity. We also found that MALT1 is highest in class IV (accompanied by V or not) patients, followed by class V and class III (accompanied by V or not) patients, and lowest in class II patients. This may be because the ICs in the class IV or V + IV patients involved ≥50% of the glomerulus [with or without glomerular basement membrane (GBM) involvement] (30). Conversely, in class V patients, the GBM was involved by ICs; and ICs in class III or V + III patients involved <50% of the glomerulus (with or without GBM involvement) (31). Further, the ICs were purely involved in the mesangial matrix in class II patients (32). Additionally, as mentioned above, MALT1 is positively linked to ICs in LN patients. Thus, MALT1 is highest in class IV (accompanied by V or not) patients, followed by class V and class III (accompanied by V or not) patients, and lowest in class II patients.
As to the association of MALT1 with inflammation, a previous study showed that MALT1 could develop multi-organ inflammation due to its dual scaffold and proteolytic functions (33). Moreover, another study revealed that MALT1 serves as a pro-inflammation factor in psoriasis, which is positively correlated with interleukin (IL)-1β, interferon-gamma, etc. (12). Similarly, this study showed that upregulated MALT1 is associated with increased CRP in LN patients, which implies that MALT1 is linked to elevated inflammation in LN patients. This may be because MALT1 promotes pro-inflammatory cytokine production, which leads to inflammation flare in LN; thus, MALT1 is correlated with upregulated inflammation in LN patients (34,35).
The current study had some limitations. First, the sample size was relatively small. Thus, large-scale studies need to be conducted to validate these findings. Second, according to previous studies, MALT1 is closely linked to T cells, natural killer cells, and B cells in some autoimmune diseases, but their relationship to LN remains unknown (36-38). In future studies, health subjects should be enrolled as health controls. The value of MALT1 as a prognostic factor in LN patients is also worthy of further study.
In conclusion, MALT1 might serve as a useful biomarker to estimate the disease risk of LN; however, in the future, large-sample size studies need to be conducted to validate our findings.
Acknowledgments
Funding: None.
Footnote
Reporting Checklist: The authors have completed the TRIPOD reporting checklist. Available at https://atm.amegroups.com/article/view/10.21037/atm-22-3442/rc
Data Sharing Statement: Available at https://atm.amegroups.com/article/view/10.21037/atm-22-3442/dss
Conflicts of Interest: All authors have completed the ICMJE uniform disclosure form (available at https://atm.amegroups.com/article/view/10.21037/atm-22-3442/coif). The authors have no conflicts of interest to declare.
Ethical Statement: The authors are accountable for all aspects of the work in ensuring that questions related to the accuracy or integrity of any part of the work are appropriately investigated and resolved. The study was conducted in accordance with the Declaration of Helsinki (as revised in 2013). The study was approved by the Ethics Committee of The First People’s Hospital of Jingzhou [No. 22 (2013)]. Written informed consent was obtained from the patients or their parental/legal guardians.
Open Access Statement: This is an Open Access article distributed in accordance with the Creative Commons Attribution-NonCommercial-NoDerivs 4.0 International License (CC BY-NC-ND 4.0), which permits the non-commercial replication and distribution of the article with the strict proviso that no changes or edits are made and the original work is properly cited (including links to both the formal publication through the relevant DOI and the license). See: https://creativecommons.org/licenses/by-nc-nd/4.0/.
References
- Wenderfer SE, Eldin KW. Lupus Nephritis. Pediatr Clin North Am 2019;66:87-99. [Crossref] [PubMed]
- Anders HJ, Saxena R, Zhao MH, et al. Lupus nephritis. Nat Rev Dis Primers 2020;6:7. [Crossref] [PubMed]
- Davidson A, Aranow C, Mackay M. Lupus nephritis: challenges and progress. Curr Opin Rheumatol 2019;31:682-8. [Crossref] [PubMed]
- Almaani S, Meara A, Rovin BH. Update on Lupus Nephritis. Clin J Am Soc Nephrol 2017;12:825-35. [Crossref] [PubMed]
- Schwartzman-Morris J, Putterman C. Gender differences in the pathogenesis and outcome of lupus and of lupus nephritis. Clin Dev Immunol 2012;2012:604892. [Crossref] [PubMed]
- Mahajan A, Amelio J, Gairy K, et al. Systemic lupus erythematosus, lupus nephritis and end-stage renal disease: a pragmatic review mapping disease severity and progression. Lupus 2020;29:1011-20. [Crossref] [PubMed]
- Parodis I, Tamirou F, Houssiau FA. Prediction of prognosis and renal outcome in lupus nephritis. Lupus Sci Med 2020;7:e000389. [Crossref] [PubMed]
- Gasparotto M, Gatto M, Binda V, et al. Lupus nephritis: clinical presentations and outcomes in the 21st century. Rheumatology (Oxford) 2020;59:v39-51. [Crossref] [PubMed]
- Frizinsky S, Rechavi E, Barel O, et al. Novel MALT1 Mutation Linked to Immunodeficiency, Immune Dysregulation, and an Abnormal T Cell Receptor Repertoire. J Clin Immunol 2019;39:401-13. [Crossref] [PubMed]
- Hachmann J, Salvesen GS. The Paracaspase MALT1. Biochimie 2016;122:324-38. [Crossref] [PubMed]
- Xia X, Cao G, Sun G, et al. GLS1-mediated glutaminolysis unbridled by MALT1 protease promotes psoriasis pathogenesis. J Clin Invest 2020;130:5180-96. [Crossref] [PubMed]
- Hailfinger S, Schulze-Osthoff K. The paracaspase MALT1 in psoriasis. Biol Chem 2021;402:1583-9. [Crossref] [PubMed]
- Ye Z, Chen L, Fang Y, et al. Blood MALT1, Th1, and Th17 cells are dysregulated, inter-correlated, and correlated with disease activity in rheumatoid arthritis patients; meanwhile, MALT1 decline during therapy relates to treatment outcome. J Clin Lab Anal 2022;36:e24112. [Crossref] [PubMed]
- Markó L, Park JK, Henke N, et al. B-cell lymphoma/leukaemia 10 and angiotensin II-induced kidney injury. Cardiovasc Res 2020;116:1059-70. [PubMed]
- Ding H, Shen Y, Lin C, et al. Urinary galectin-3 binding protein (G3BP) as a biomarker for disease activity and renal pathology characteristics in lupus nephritis. Arthritis Res Ther 2022;24:77. [Crossref] [PubMed]
- Gupta R, Yadav A, Aggarwal A. Urinary soluble CD163 is a good biomarker for renal disease activity in lupus nephritis. Clin Rheumatol 2021;40:941-8. [Crossref] [PubMed]
- Hochberg MC. Updating the American College of Rheumatology revised criteria for the classification of systemic lupus erythematosus. Arthritis Rheum 1997;40:1725. [Crossref] [PubMed]
- Bombardier C, Gladman DD, Urowitz MB, et al. Derivation of the SLEDAI. A disease activity index for lupus patients. The Committee on Prognosis Studies in SLE. Arthritis Rheum 1992;35:630-40. [Crossref] [PubMed]
- Weening JJ, D'Agati VD, Schwartz MM, et al. The classification of glomerulonephritis in systemic lupus erythematosus revisited. Kidney Int 2004;65:521-30. [Crossref] [PubMed]
- Austin HA 3rd, Muenz LR, Joyce KM, et al. Diffuse proliferative lupus nephritis: identification of specific pathologic features affecting renal outcome. Kidney Int 1984;25:689-95. [Crossref] [PubMed]
- Ruland J, Hartjes L. CARD-BCL-10-MALT1 signalling in protective and pathological immunity. Nat Rev Immunol 2019;19:118-34. [Crossref] [PubMed]
- Wu Z, Bi Y. Potential role of MALT1 as a candidate biomarker of disease surveillance and treatment response prediction in inflammatory bowel disease patients. J Clin Lab Anal 2022;36:e24130. [Crossref] [PubMed]
- Lee CH, Bae SJ, Kim M. Mucosa-associated lymphoid tissue lymphoma translocation 1 as a novel therapeutic target for rheumatoid arthritis. Sci Rep 2017;7:11889. [Crossref] [PubMed]
- Rhoads JP, Lukens JR, Wilhelm AJ, et al. Oxidized Low-Density Lipoprotein Immune Complex Priming of the Nlrp3 Inflammasome Involves TLR and FcγR Cooperation and Is Dependent on CARD9. J Immunol 2017;198:2105-14. [Crossref] [PubMed]
- Papa V, Brainer J, Henriksen KJ, et al. Extraglomerular immune complex deposition in lupus nephritis. Lupus 2022;31:19-27. [Crossref] [PubMed]
- Chang A, Clark MR, Ko K. Cellular aspects of the pathogenesis of lupus nephritis. Curr Opin Rheumatol 2021;33:197-204. [Crossref] [PubMed]
- Ren J, Crowley SD. A complex role for Bcl10 in kidney injury. Cardiovasc Res 2020;116:882-4. [Crossref] [PubMed]
- Dumont C, Sivars U, Andreasson T, et al. A MALT1 inhibitor suppresses human myeloid DC, effector T-cell and B-cell responses and retains Th1/regulatory T-cell homeostasis. PLoS One 2020;15:e0222548. [Crossref] [PubMed]
- Obrișcă B, Sorohan B, Tuță L, et al. Advances in Lupus Nephritis Pathogenesis: From Bench to Bedside. Int J Mol Sci 2021;22:3766. [Crossref] [PubMed]
- Bajema IM, Wilhelmus S, Alpers CE, et al. Revision of the International Society of Nephrology/Renal Pathology Society classification for lupus nephritis: clarification of definitions, and modified National Institutes of Health activity and chronicity indices. Kidney Int 2018;93:789-96. [Crossref] [PubMed]
- Almaani S, Parikh SV. Membranous Lupus Nephritis: A Clinical Review. Adv Chronic Kidney Dis 2019;26:393-403. [Crossref] [PubMed]
- Alsuwaida AO, Bakhit AA, Alsuwaida FA, et al. The long-term outcomes and histological transformation in class II lupus nephritis. Saudi Med J 2018;39:990-3. [Crossref] [PubMed]
- Demeyer A, Staal J, Beyaert R. Targeting MALT1 Proteolytic Activity in Immunity, Inflammation and Disease: Good or Bad? Trends Mol Med 2016;22:135-50. [Crossref] [PubMed]
- Bornancin F, Renner F, Touil R, et al. Deficiency of MALT1 paracaspase activity results in unbalanced regulatory and effector T and B cell responses leading to multiorgan inflammation. J Immunol 2015;194:3723-34. [Crossref] [PubMed]
- Nozaki Y. The Network of Inflammatory Mechanisms in Lupus Nephritis. Front Med (Lausanne) 2020;7:591724. [Crossref] [PubMed]
- Brüstle A, Brenner D, Knobbe-Thomsen CB, et al. MALT1 is an intrinsic regulator of regulatory T cells. Cell Death Differ 2017;24:1214-23. [Crossref] [PubMed]
- Ho L, Davis RE, Conne B, et al. MALT1 and the API2-MALT1 fusion act between CD40 and IKK and confer NF-kappa B-dependent proliferative advantage and resistance against FAS-induced cell death in B cells. Blood 2005;105:2891-9. [Crossref] [PubMed]
- Gross O, Grupp C, Steinberg C, et al. Multiple ITAM-coupled NK-cell receptors engage the Bcl10/Malt1 complex via Carma1 for NF-kappaB and MAPK activation to selectively control cytokine production. Blood 2008;112:2421-8. [Crossref] [PubMed]
(English Language Editor: L. Huleatt)

