Elevated serum human epididymis protein 4 is associated with disease severity and worse survival in idiopathic pulmonary fibrosis: a cohort study
Introduction
Idiopathic pulmonary fibrosis (IPF), which is characterized by decreasing lung volumes and hypoxemic respiratory failure, has a median survival time of 2–5 years and a 5-year survival rate of 20–40% (1). As the primary cause of death in IPF patients, acute exacerbation (AE) is defined as an acute respiratory deterioration that presents clinically as sudden aggravation of dyspnea and new consolidation or bilateral ground-glass opacity (GGO) on chest imaging (2,3). The annual incidence of AE-IPF is as high as 20%, median survival after AE-IPF is generally no more than 3 months, and in-hospital mortality after AE-IPF usually exceeds 50% (4,5). Evidence suggests that AE of IPF is a typical alveolar inflammation involving diffuse alveolar damage and aggravated epithelial injury superimposed on the background of a chronic and fibrosing interstitial lung disease (6,7). However, the exact mechanism of AE-IPF remains unclear. Krebs von den Lungen-6 (KL-6), surfactant protein-A (SP-A), and SP-D are type II pneumocyte-derived molecules which have been well described for their usefulness as serum biomarkers of IPF (8-10). Elevated serum levels of these markers in patients with IPF were shown to be associated with poorer survival in IPF. Recently, alveolar macrophages-derived molecules such as matrix metalloproteinase-7 (MMP-7) and CC-chemokine ligand 18 (CCL18) are considered potential diagnostic and prognostic markers of IPF (9). Although there is increasing interest in exploring circulating serum biomarkers for evaluating the severity of disease and predicting IPF-related mortality, few biomarkers have been used in clinical practice.
Human epididymis protein 4 (HE4), also named WFDC2, has been found in the distal human epididymis and renal tubular epithelial, as well as in the respiratory tract (11-13), and is widely utilized as a biomarker in ovarian and endometrial cancer (14,15), with measurement of serum HE4 recently included in the tumor biomarker screening panel of females in clinical practice. Under normal physiological conditions, redundant deposition of extracellular matrix (ECM) components could be degraded by MMPs. Considered to be a crucial protein responsible for the deposition of ECM (16), HE4 inhibits the function of various proteases, such as MMPs and serine proteases, suppresses the degradation of type I collagen (13), and plays a crucial role in the pathogenesis of fibrosis. In a mice model of renal fibrosis, elevated expression of HE4 inhibited the activation of MMPs by upregulation of tissue inhibitor metalloproteinases (TIMPs), accelerating the process of fibrosis (16,17). Overexpression of HE4 has been reported in fibrotic diseases, such as cardiac fibrosis (18), renal fibrosis (13), cystic fibrosis (CF) (19), and progressive fibrosing interstitial lung diseases (PF-ILDs) (20). Recent studies further showed that serum HE4 was increased in connective tissue diseases (CTDs), including systemic sclerosis (SSc) (21), rheumatoid arthritis (RA) (22), and primary Sjögren’s Syndrome (pSS) (23), and elevated HE4 levels were associated with the complication of ILD. Although the precise mechanism is uncertain, we speculated that the abnormal expression of HE4 was closely related to the formation of fibrosis and inflammatory response.
In this study, we investigated the expression of HE4 in IPF patients and evaluated its correlations with indicators of disease severity. We further compared HE4 levels between AE-IPF and stable IPF, and assessed whether serum HE4 could be utilized as a promising biomarker to predict poor prognosis of IPF. We present the following article in accordance with the STARD reporting checklist (available at https://atm.amegroups.com/article/view/10.21037/atm-22-4042/rc).
Methods
Study subjects
A total of 27 AE-IPF and 32 S-IPF patients hospitalized in Nanjing Drum Tower Hospital between November 2017 and April 2018 were retrospectively included in this cohort study. In the Center of Physical Examination, 29 healthy subjects with no evidence of comorbidities were included as controls. The three cohorts were well matched for age, sex, and smoking history. The American Thoracic Society (ATS)/European Respiratory Society (ERS)/Japanese Respiratory Society (JRS)/Latin American Thoracic Society (ALAT) guidelines were used to diagnose IPF (24). The definition of AE was according to the updated criteria of AE-IPF in 2016 (3). Briefly, exacerbation of dyspnea typically occurred in the past month, there is new bilateral GGO and/or consolidation superimposed on the typical background of usual interstitial pneumonia (UIP) or possible UIP pattern on chest imaging, and deterioration cannot be explained entirely through fluid overload or heart failure. Medical records were reviewed to exclude participants with concurrent malignancy, kidney disease, and other known causes of ILD, such as CTD with autoimmune characteristics, drug toxicity, or occupational environmental exposure. The study was conducted in accordance with the Declaration of Helsinki (as revised in 2013) and was approved by ethics committee of Nanjing Drum Tower Hospital (No. 2016-138-01). Written informed consent to take part in this study and authorization to utilize their lung tissues and serum samples for research purposes were obtained from all participants.
Clinical data collection
Clinical features, demographics, and laboratory findings were retrospectively collected from medical records, and survival data were obtained through telephone interviews. The gender-age-physiology (GAP) index was introduced in our study on the basis of previous practice (25,26). Pulmonary function tests (PFTs) were conducted as recommended by ATS, and the reports were described as percentages of the predicted values according to the participants’ height, age, and sex (27). The endpoint of follow-up was March 1st, 2022, and survival time was determined from the time of enrollment in our study to censoring or time of death.
Measurement of serum HE4 and KL-6
Blood samples were collected using conventional methods and immediately centrifuged, with the serum aliquoted and frozen at −70 ℃ until measurement. An enzyme-linked immunosorbent assay (Fujirebio Diagnostics, Gothenburg, Sweden) was used according to the manufacturer’s instructions to quantitatively detect serum concentrations of HE4. Concentrations of KL-6 were measured using a KL-6 kit (Fujirebio, Inc., Tokyo, Japan) on an automatic LUMIPULSE G1200 immune analyzer (Fujirebio). Lactate dehydrogenase (LDH) and C-reactive protein (CRP) were measured by Beckman Coulter AU5800 automatic biochemical analyzer (Beckman, Germany) at Drum Tower Hospital.
Human lung tissues
Lung specimens from 6 IPF patients [2 females, 4 males; mean age ± standard deviation (SD): 58.7±7.9 years] undergoing lung transplantation surgery at the Key Laboratory of Organ Transplantation of Wuxi People’s Hospital (Wuxi, China) were collected, and noncancerous lung specimens resected from 6 early-stage lung cancer patients (2 females, 4 males, mean age ± SD: 62.8±5.0 years) matched with sex and age at the department of thoracic surgery were included as controls.
Immunohistochemistry (IHC) staining
IHC staining was performed in lung specimens fixed with 10% formalin and embedded in paraffin before being cut into 5-µm-thick sections. After dewaxing and rehydration, the sections were incubated with 3% H2O2 for 5 minutes to block the activity of peroxidase. The sections were then incubated with rabbit monoclonal HE4 antibody (ab200828; Abcam, Tokyo, Japan) at 4 ℃ overnight, followed by secondary antibody (Vector Laboratories, Burlingame, CA, USA) at 25 ℃ for 60 minutes. Subsequently, the visualization of immunoreaction was conducted by 3,3-diaminobenzidine (DAB) chromogen solution (DAB substrate kit; Vector Laboratories) and then counterstained with hematoxylin.
Western blot
Total protein from the lung specimens was extracted using radioimmunoprecipitation assay (RIPA) buffer supplemented with protease inhibitor cocktail. Equal amounts (10–20 µg) protein of each sample were separated on a 10% sodium dodecyl sulphate-polyacrylamide gel electrophoresis (SDS-PAGE) gel, transferred onto polyvinylidene difluoride (PVDF) membranes, and incubated with the primary antibody at 4 ℃ overnight (anti-HE4, 1:100, Abcam), followed by horseradish peroxidase-conjugated anti-rabbit secondary antibody (diluted 1:5,000; Santa Cruz Biotechnology, Santa Cruz, CA, USA). Western blot for glyceraldehyde 3-phosphate dehydrogenase (GAPDH; Bioworld Technology, St Louis Park, MN, USA) was performed to normalize the level of HE4.
Statistical analysis
Continuous variables are expressed as the median [interquartile range (IQR)] or mean ± SD based on the normality test, and differences between the groups were compared by the Mann-Whitney U test or t-test. Spearman or Pearson correlations were performed to analyze the relationships between variables. Receiver operator characteristic (ROC) analyses were conducted to determine the area under the ROC curves (AUCs) of variables for discriminating AE-IPF from S-IPF. Kaplan-Meier curves were compared by log-rank test. Cox proportional hazard models were carried out to determine the significance of variables in the prognosis of IPF patients. Variables with P value less than 0.05 in univariate analysis were successfully included in multivariate regression analysis. Age, sex, and PFTs largely determined the GAP index. Therefore, these variables were not included in the multivariate regression model to avoid multicollinearity. GraphPad Prism version 8 (GraphPad Software Inc., La Jolla, CA, USA) was employed for statistical analysis and creating figures. A two-sided P<0.05 was defined as statistically significant.
Results
Clinical features of the enrolled patients
The demographic and clinical features of IPF patients, including 27 AE-IPF and 32 S-IPF, and 29 healthy controls, with no difference in the proportions of age, sex, as well as smoking history, are summarized in Table 1. Elevated levels of CRP, LDH, and GAP index along with decreased percent predicted diffusing capacity of the lung for carbon monoxide (DLCO%), percent predicted forced vital capacity (FVC%), percent predicted total lung capacity (TLC%), and oxygenation index were generally observed in AE-IPF patients compared with S-IPF. Almost all of the AE-IPF patients (92.6%) were treated with corticosteroids, whereas only 15.6% of S-IPF patients patients received corticosteroid treatment.
Table 1
| Clinical characteristics | Controls (n=29) | AE-IPF patients (n=27) | S-IPF patients (n=32) | P value AE-IPF vs. S-IPF |
|---|---|---|---|---|
| Age, years | 64.3±5.9 | 69.0±8.1 | 65.7±7.8 | 0.115 |
| Male, n (%) | 22 (75.9) | 24 (88.9) | 31(96.9) | 0.486 |
| Corticosteroids, n (%) | 0 (0) | 25 (92.6) | 5 (15.6) | <0.001*** |
| Smoking history, n (%) | 14 (48.3) | 17 (63.0) | 14 (43.8) | 0.141 |
| LDH, U/L | NA | 381.0 (277.0, 500.0) | 222.0 (202.0, 253.0) | <0.001*** |
| CRP, mg/L | NA | 35.4 (13.6, 82.2) | 4.1 (2.4, 11.0) | <0.001*** |
| FVC% predicted | NA | 49.2 (41.8, 63.4) | 68.9 (59.1, 78.0) | 0.001** |
| DLCO% predicted | NA | 29.9 (22.7, 36.8) | 49.0 (38.7, 69.9) | 0.002** |
| TLC% predicted | NA | 51.4 (43.8, 55.1) | 65.2 (58.4, 77.5) | <0.001*** |
| PaO2, mmHg | NA | 71.0 (56.0, 84.0) | 76.5 (67.5, 83.0) | 0.171 |
| PaCO2, mmHg | NA | 39.9 (33.2, 43.4) | 40.2 (38.9, 43.2) | 0.563 |
| Oxygenation index | NA | 209.0 (141.0, 245.0) | 362.0 (319.0, 395.0) | <0.001*** |
| GAP index | NA | 5.6±0.9 | 4.1±1.7 | 0.007** |
Data are expressed as mean ± standard deviation or median (interquartile range), if not otherwise specified. **, P<0.01; ***, P<0.001. AE, acute exacerbation; IPF, idiopathic pulmonary fibrosis; S-IPF, stable IPF; LDH, lactate dehydrogenase; CRP, C-reactive protein; FVC, forced vital capacity; DLCO, diffusing capacity of the lung for carbon monoxide; TLC, total lung capacity; PaO2, arterial oxygen pressure; PaCO2, arterial partial pressure of carbon dioxide; GAP index, gender-age-physiology index.
Serum levels of HE4 and KL-6 in the IPF patients
As shown in Figure 1, elevated median levels of both serum HE4 and KL-6 were observed in AE-IPF compared with S-IPF subjects [296.4 (231.1, 454.7) vs. 178.1 (126.9, 220.0) pmol/L for HE4, P<0.001; 2,007.0 (1,254.0, 2,687.0) vs. 990.5 (584.3, 1,362.3) IU/mL for KL-6, P<0.001) or the healthy controls [296.4 (231.1, 454.7) vs. 51.8 (45.2, 73.5) pmol/L for HE4, P<0.001; 2,007.0 (1,254.0, 2,687.0) vs. 181.0 (129.0, 261.5) IU/mL for KL-6, P<0.001).
Comparison of HE4 expression in lung specimens from IPF patients and controls
The pulmonary expression of HE4 in IPF patients and controls was detected by IHC and Western blot. As illustrated in Figure 2A,2B, the bronchial mucosa and corresponding adjacent alveolar tissues were observed in controls, and the expression of HE4 was only scattered in the bronchial epithelium with focal distribution. In contrast, IPF lung tissues showed strong and relatively continuous HE4 expression in the mucosal epithelium of dilated bronchi, which formed the structure of honeycombing on the fibrous interstitial background (Figure 2C,2D). The expression of HE4 was further quantitatively analyzed in explanted lung specimens by Western blot. As shown in Figure 2E,2F, the expression of HE4 in IPF was significantly elevated compared with the controls (P=0.02).
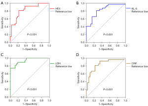
ROC analysis for discriminating AE-IPF from S-IPF based on serum biomarkers
To determine the probable value of serum HE4 levels for discriminating AE-IPF from S-IPF, ROC curves were analyzed. The AUCs of serum HE4, KL-6, LDH, and CRP were 0.830 [95% confidence interval (CI): 0.725–0.935; P<0.001], 0.822 (95% CI: 0.715–0.929; P<0.001), 0.935 (95% CI: 0.876–0.993; P<0.001), and 0.843 (95% CI: 0.739–0.948; P<0.001), respectively, with serum LDH showing the greatest area (Figure 3).
Correlations between serum HE4 levels and the severity of IPF
Correlations between HE4 and indicators of severity, including PFTs (DLCO%, FVC%), oxygenation index, and GAP index, were evaluated in IPF patients. Serum HE4 levels inversely correlated with DLCO% (r=−0.526, P<0.001), FVC% (r=−0.344, P=0.024), and oxygenation index (r=−0.550, P<0.001). In addition, significant correlations between HE4 and GAP index (r=0.535, P<0.001), CRP (r=0.558, P<0.001), and KL-6 were also observed in IPF patients (Figure 4).
Survival analysis based on serum HE4 and KL-6
The median follow-up period in our study was 382 [35, 1,355] days, during which 52 (88.1%) patients with IPF died. To determine the discriminating ability of HE4 levels for distinguishing decedents from survivors, ROC analysis was conducted, and the AUC of HE4 was 0.764 (95% CI: 0.622–0.906) (Figure 5A). The optimal cutoff levels for serum HE4 and KL-6 were 191.9 pmol/L and 772 IU/mL, respectively, which were confirmed by the ROC curve with the highest Youden index. The Kaplan-Meier survival curves indicated worse survival in patients with AE-IPF compared with S-IPF (P<0.001; Figure 5B). The serum levels of HE4/KL-6 were classified into low/high levels according to respective cutoff values, and IPF patients with higher serum HE4 (≥191.9 pmol/L) levels had worse survival compared with patients whose HE4 levels were <191.9 pmol/L (P=0.003; Figure 5C). Similarly, worse survival was observed in patients with higher KL-6 (≥772 IU/mL) levels compared with lower levels (P=0.001; Figure 5D).
Serum HE4 was an independent predictor of worse survival in IPF patients
To further determine the prognostic value of HE4 in all IPF patients, univariate and multivariate Cox regression analyses were performed (Table 2). We found that elevated age [hazard ratio (HR) =1.038, 95% CI: 1.002–1.075, P=0.040], LDH (HR =1.007, 95% CI: 1.005–1.010, P<0.001), CRP (HR =1.016, 95% CI: 1.008–1.025, P<0.001), HE4 (HR =1.004, 95% CI: 1.002–1.006, P<0.001), GAP index (HR =1.445, 95% CI: 1.164–1.793, P=0.001), along with decreased FVC% (HR =0.973, 95% CI: 0.950–0.998, P=0.030 and DLCO% (HR =0.972, 95% CI: 0.953–0.992, P=0.005) were related to poor outcomes in univariate analysis. Multivariate regression analysis revealed that elevated levels of HE4 and GAP index remained indicators associated with worse prognosis (HR =1.004, 95% CI: 1.000–1.007, P=0.042; HR =1.374, 95% CI: 1.080–1.747, P=0.010).
Table 2
| Parameters | Univariate analysis | Multivariate analysis | |||||
|---|---|---|---|---|---|---|---|
| HR | 95% CI | P value | HR | 95% CI | P value | ||
| Age, years | 1.038 | 1.002–1.075 | 0.040* | – | – | – | |
| Male patient | 0.463 | 0.165–1.299 | 0.143 | – | – | – | |
| Smokers | 0.752 | 0.430–1.315 | 0.317 | – | – | – | |
| FVC% | 0.973 | 0.950–0.998 | 0.030* | – | – | – | |
| DLCO% | 0.972 | 0.953–0.992 | 0.005** | – | – | – | |
| LDH | 1.007 | 1.005–1.010 | <0.001*** | 0.999 | 0.992–1.008 | 0.902 | |
| CRP | 1.016 | 1.008–1.025 | <0.001*** | 0.997 | 0.979–1.015 | 0.731 | |
| HE4 (continuous) | 1.004 | 1.002–1.006 | <0.001*** | 1.004 | 1.000–1.007 | 0.042* | |
| KL-6 (continuous) | 1.000 | 1.000–1.001 | 0.170 | 1.000 | 1.000–1.000 | 0.964 | |
| GAP index | 1.445 | 1.164–1.793 | 0.001** | 1.374 | 1.080–1.747 | 0.010* | |
*, P<0.05; **, P<0.01; ***, P<0.001. DLCO, diffusing capacity of the lung for carbon monoxide; FVC, forced vital capacity; LDH, lactate dehydrogenase; CRP, C-reactive protein; HE4, human epididymis protein 4; KL-6, Krebs von den Lungen-6; GAP index, gender-age-physiology index; HR, hazard ratio; CI, confidence interval.
Discussion
Aberrant expression of HE4 in serum or lung sections has been well documented in CTD-ILD (17,21-23), and elevated HE4 has been associated with disease activity and systemic involvement (22,23), as well as disease severity and poor prognosis (17,21). However, the clinical value of HE4 in IPF, a progressive fibrotic pulmonary disease of unknown cause, has not been described. Our study found that the expression of HE4 in both lung tissues and serum was elevated in IPF patients. IPF patients with AE status had significantly higher levels of HE4 compared with stable subjects, which was also associated with a higher risk of mortality. In addition, serum HE4 was correlated with indicators of disease severity, and elevated HE4 levels, as well as GAP index, were associated with a worse prognosis.
HE4 is a secreted protein initially described as epididymis-specific protein and subsequently identified in multiple tissues including renal tubular epithelial cells, the oral cavity, and the respiratory tract (11,13). There is evidence that MMPs can degrade redundant deposition of ECM components under normal conditions, while HE4 inhibits the activity of several proteases, including MMP2 and MMP9, which play pivotal roles in the progression of fibrosis (13,16). The above evidence indicated that HE4 likely plays pathogenic roles in the progression of fibrosis. Although recent studies on HE4 have predominantly concentrated on its clinical value as a tumor biomarker, cumulative studies have described the important clinical significance of HE4 in other clinical settings, including CF (19), lung adenocarcinomas (11), pulmonary tuberculosis (28), as well as CTD-ILDs (17,21-23). Lin et al. and Zhang et al. reported that serum HE4 levels were obviously elevated in RA and SSc patients complicated with ILD compared with those without ILD (21,22). Chen et al. subsequently validated that elevated serum HE4 was associated with disease activity and pulmonary/renal involvement in pSS, with the optimal cutoff values of 104 and 128.05 pmol/L (23). Recently, elevated serum HE4 level in IPF was reported in a prospective, case-controlled study (29), which prompted us to explore the clinical value of this biomarker in IPF patients.
Previous studies have shown that HE4 can be used as a severity indicator of CTD-ILD (17,21). As expected, our study showed that serum HE4 was elevated in AE-IPF compared with S-IPF, and elevated HE4 inversely correlated with PFTs (e.g., DLCO%, FVC%) and oxygenation index in IPF, indicating that HE4 may be involved in the progression of fibrosis and the occurrence of AE in IPF patients. Consistent with previous observations in PF-ILD (20) and CTD-ILD (17), our study demonstrated that serum HE4 could be considered an independent indicator to predict the prognosis of IPF. As a biomarker of lung epithelium-specific proteins, KL-6 can reflect well the degree of injury and regeneration of type II pneumocytes (17,30) and has been considered a promising predictor of the occurrence of AE-IPF and worse survival (31,32). In contrast, our study found that KL-6 could differentiate AE-IPF from S-IPF to some extent but was not an independent factor for the prognosis of IPF, which was consistent with previous research in other ILDs (17,20).
Previously described biomarkers reflecting the severity and prognosis of fibrosing lung diseases, including SP-A and SP-D, napsin A, as well as KL-6 (8-10), are mainly secreted by type II pneumocytes, which play pivotal roles in host defense, fibro-proliferative response, and repair/regeneration (10,33). In normal lung specimens, however, the expression of HE4 has been identified in the bronchial epithelium of the airway instead of the alveolar epithelium (11). Subsequently, overexpression of HE4 in bronchiolar epithelium from nonspecific interstitial pneumonia (NSIP) patients was detected by Nishiyama et al. (20). Our previous immunohistochemical analysis of RA-associated UIP (UIP-RA) patients indicated that HE4 was also primarily expressed in bronchiole epithelium instead of peripheral lung (17). In the present study, strong and relatively continuous expression of HE4 was only observed in dilated bronchi, still expressed in the mucosal epithelium, indicating the common pathological roles that HE4 may play in the pathogenesis of ILD with different diagnoses.
The GAP index and GAP staging system is a multidimensional prediction model of mortality initially established by Ryerson et al. based on the North American population and is composed of sex, age, DLCO%, and FVC% (26). Our previous study showed that serum HE4 levels were significantly proportional to GAP stage, and shorter survival was observed in UIP-CTD patients with an advanced GAP stage compared to a lower stage (17). In the present study, HE4 level was positively correlated with the GAP index, and worse survival in IPF patients with higher GAP index were also observed. Notably, age and PFTs, including DLCO% and FVC%, largely determined the GAP index. Therefore, these variables were not included in the multivariate regression model to avoid multicollinearity.
Previous observations have described the important roles of CRP and LDH in the detection of AE status and prediction of mortality in IPF patients (31,32). As a cytoplasmatic enzyme that well reflects cell destruction or death, LDH has also been a biomarker of disease activity in various subtypes of fibrosing lung diseases, with high sensitivity but low specificity (34). The present study demonstrated that LDH was the most significant factor in identifying AE-IPF from S-IPF, with an AUC of 0.935. Consistent with Nagy et al. in CF (19), our study showed that serum HE4 was positively correlated with CRP and LDH, and elevated HE4 levels could also be used to detect the occurrence of AE-IPF. A growing number of studies have demonstrated that acute alveolar epithelial damage and unknown infection may play essential roles in AE of lung fibrosis (6,32), which may explain the evidently increased levels of CRP and LDH in AE-IPF. In addition, these results suggest that HE4 may be involved in the inflammatory response, except for the formation of fibrosis.
Several limitations should be considered in our study. First, this study was performed retrospectively in a small population from a single center, thus selection bias was introduced. Second, patients with inconsistent treatment regimens, such as whether they were treated with corticosteroids during hospitalization or subsequent anti-fibrosis drugs, may have affected the prognosis of disease. Third, we did not perform a longitudinal analysis of HE4 before and after treatment. Finally, overexpression of HE4 has been described in other types of ILDs, and further studies are needed to clarify whether serum HE4 can distinguish IPF from other ILDs.
In summary, our observations showed that HE4 was obviously elevated in serum and lung specimens of IPF patients and significantly correlated with indicators of disease severity. Moreover, our findings also suggested that measurement of serum HE4 was valuable for pulmonologists to evaluate the risk of AE-IPF occurrence and predict the prognosis of IPF. These findings are worthy of further validation in larger, multi-center, and longitudinal cohorts.
Acknowledgments
Funding: This work was supported by the National Natural Science Foundation of China (grant Nos. 81970063, 82170077, and 81900062); Jiangsu Provincial Key Research and Development (No. BE2016611); and Key Project supported by Medical Science and Technology Development Foundation, Nanjing Department of Health (No. YKK20051).
Footnote
Reporting Checklist: The authors have completed the STARD reporting checklist. Available at https://atm.amegroups.com/article/view/10.21037/atm-22-4042/rc
Data Sharing Statement: Available at https://atm.amegroups.com/article/view/10.21037/atm-22-4042/dss
Conflicts of Interest: All authors have completed the ICMJE uniform disclosure form (available at https://atm.amegroups.com/article/view/10.21037/atm-22-4042/coif). The authors have no conflicts of interest to declare.
Ethical Statement: The authors are accountable for all aspects of the work in ensuring that questions related to the accuracy or integrity of any part of the work are appropriately investigated and resolved. The study was conducted in accordance with the Declaration of Helsinki (as revised in 2013) and was approved by ethics committee of Nanjing Drum Tower Hospital (No. 2016-138-01). Written informed consent to take part in this study and authorization to utilize their lung tissues and serum samples for research purposes were obtained from all participants.
Open Access Statement: This is an Open Access article distributed in accordance with the Creative Commons Attribution-NonCommercial-NoDerivs 4.0 International License (CC BY-NC-ND 4.0), which permits the non-commercial replication and distribution of the article with the strict proviso that no changes or edits are made and the original work is properly cited (including links to both the formal publication through the relevant DOI and the license). See: https://creativecommons.org/licenses/by-nc-nd/4.0/.
References
- Ley B, Collard HR, King TE Jr. Clinical course and prediction of survival in idiopathic pulmonary fibrosis. Am J Respir Crit Care Med 2011;183:431-40. [Crossref] [PubMed]
- Collard HR, Moore BB, Flaherty KR, et al. Acute exacerbations of idiopathic pulmonary fibrosis. Am J Respir Crit Care Med 2007;176:636-43. [Crossref] [PubMed]
- Collard HR, Ryerson CJ, Corte TJ, et al. Acute Exacerbation of Idiopathic Pulmonary Fibrosis. An International Working Group Report. Am J Respir Crit Care Med 2016;194:265-75. [Crossref] [PubMed]
- Kreuter M, Polke M, Walsh SLF, et al. Acute exacerbation of idiopathic pulmonary fibrosis: international survey and call for harmonisation. Eur Respir J 2020;55:1901760. [Crossref] [PubMed]
- Ryerson CJ, Cottin V, Brown KK, et al. Acute exacerbation of idiopathic pulmonary fibrosis: shifting the paradigm. Eur Respir J 2015;46:512-20. [Crossref] [PubMed]
- Gui X, Qiu X, Tian Y, et al. Prognostic value of IFN-γ, sCD163, CCL2 and CXCL10 involved in acute exacerbation of idiopathic pulmonary fibrosis. Int Immunopharmacol 2019;70:208-15. [Crossref] [PubMed]
- Parambil JG, Myers JL, Ryu JH. Histopathologic features and outcome of patients with acute exacerbation of idiopathic pulmonary fibrosis undergoing surgical lung biopsy. Chest 2005;128:3310-5. [Crossref] [PubMed]
- Samukawa T, Hamada T, Uto H, et al. The elevation of serum napsin A in idiopathic pulmonary fibrosis, compared with KL-6, surfactant protein-A and surfactant protein-D. BMC Pulm Med 2012;12:55. [Crossref] [PubMed]
- Hamai K, Iwamoto H, Ishikawa N, et al. Comparative Study of Circulating MMP-7, CCL18, KL-6, SP-A, and SP-D as Disease Markers of Idiopathic Pulmonary Fibrosis. Dis Markers 2016;2016:4759040. [Crossref] [PubMed]
- Ichiyasu H, Ichikado K, Yamashita A, et al. Pneumocyte biomarkers KL-6 and surfactant protein D reflect the distinct findings of high-resolution computed tomography in nonspecific interstitial pneumonia. Respiration 2012;83:190-7. [Crossref] [PubMed]
- Bingle L, Cross SS, High AS, et al. WFDC2 (HE4): a potential role in the innate immunity of the oral cavity and respiratory tract and the development of adenocarcinomas of the lung. Respir Res 2006;7:61. [Crossref] [PubMed]
- Kirchhoff C, Habben I, Ivell R, et al. A major human epididymis-specific cDNA encodes a protein with sequence homology to extracellular proteinase inhibitors. Biol Reprod 1991;45:350-7. [Crossref] [PubMed]
- LeBleu VS, Teng Y, O'Connell JT, et al. Identification of human epididymis protein-4 as a fibroblast-derived mediator of fibrosis. Nat Med 2013;19:227-31. [Crossref] [PubMed]
- Terry KL, Schock H, Fortner RT, et al. A Prospective Evaluation of Early Detection Biomarkers for Ovarian Cancer in the European EPIC Cohort. Clin Cancer Res 2016;22:4664-75. [Crossref] [PubMed]
- Behrouzi R, Barr CE, Crosbie EJ. HE4 as a Biomarker for Endometrial Cancer. Cancers (Basel) 2021;13:4764. [Crossref] [PubMed]
- Zhang L, Liu L, Bai M, et al. Hypoxia-induced HE4 in tubular epithelial cells promotes extracellular matrix accumulation and renal fibrosis via NF-κB. FASEB J 2020;34:2554-67. [Crossref] [PubMed]
- Meng K, Tian M, Gui X, et al. Human epididymis protein 4 is associated with severity and poor prognosis of connective tissue disease-associated interstitial lung disease with usual interstitial pneumonia pattern. Int Immunopharmacol 2022;108:108704. [Crossref] [PubMed]
- Yamamoto M, Hanatani S, Araki S, et al. HE4 Predicts Progressive Fibrosis and Cardiovascular Events in Patients With Dilated Cardiomyopathy. J Am Heart Assoc 2021;10:e021069. [Crossref] [PubMed]
- Nagy B Jr, Nagy B, Fila L, et al. Human Epididymis Protein 4: A Novel Serum Inflammatory Biomarker in Cystic Fibrosis. Chest 2016;150:661-72. [Crossref] [PubMed]
- Nishiyama N, Masuo M, Nukui Y, et al. Human epididymis protein 4 is a new biomarker to predict the prognosis of progressive fibrosing interstitial lung disease. Respir Investig 2021;59:90-8. [Crossref] [PubMed]
- Zhang M, Zhang L, E L, et al. Increased levels of HE4 (WFDC2) in systemic sclerosis: a novel biomarker reflecting interstitial lung disease severity? Ther Adv Chronic Dis 2020;11:2040622320956420. [Crossref] [PubMed]
- Lin T, Xu S, Wang Y, et al. Human epididymis protein 4 as a new diagnostic biomarker for rheumatoid arthritis-associated interstitial lung disease. Clin Exp Rheumatol 2022; Epub ahead of print. [Crossref] [PubMed]
- Chen J, Sun F, Bao H, et al. Elevated Serum Human Epididymis Protein 4 Is Associated With Disease Activity and Systemic Involvements in Primary Sjögren's Syndrome. Front Immunol 2021;12:670642. [Crossref] [PubMed]
- Raghu G, Remy-Jardin M, Myers JL, et al. Diagnosis of Idiopathic Pulmonary Fibrosis. An Official ATS/ERS/JRS/ALAT Clinical Practice Guideline. Am J Respir Crit Care Med 2018;198:e44-68. [Crossref] [PubMed]
- Ley B, Ryerson CJ, Vittinghoff E, et al. A multidimensional index and staging system for idiopathic pulmonary fibrosis. Ann Intern Med 2012;156:684-91. [Crossref] [PubMed]
- Ryerson CJ, Vittinghoff E, Ley B, et al. Predicting survival across chronic interstitial lung disease: the ILD-GAP model. Chest 2014;145:723-8. [Crossref] [PubMed]
- Standardization of Spirometry. 1994 Update. American Thoracic Society. Am J Respir Crit Care Med 1995;152:1107-36. [Crossref] [PubMed]
- Li L, Yao Y, Liang J, et al. Serum human epididymis protein 4 concentrations are associated with severity of patients with pulmonary tuberculosis. Clin Chim Acta 2020;502:255-60. [Crossref] [PubMed]
- Raghu G, Richeldi L, Jagerschmidt A, et al. Idiopathic Pulmonary Fibrosis: Prospective, Case-Controlled Study of Natural History and Circulating Biomarkers. Chest 2018;154:1359-70. [Crossref] [PubMed]
- Yokoyama A, Kondo K, Nakajima M, et al. Prognostic value of circulating KL-6 in idiopathic pulmonary fibrosis. Respirology 2006;11:164-8. [Crossref] [PubMed]
- Zou R, Gui X, Zhang J, et al. Association of serum macrophage-mannose receptor CD206 with mortality in idiopathic pulmonary fibrosis. Int Immunopharmacol 2020;86:106732. [Crossref] [PubMed]
- Gui X, Qiu X, Xie M, et al. Prognostic Value of Serum Osteopontin in Acute Exacerbation of Idiopathic Pulmonary Fibrosis. Biomed Res Int 2020;2020:3424208. [Crossref] [PubMed]
- Ruaro B, Salton F, Braga L, et al. The History and Mystery of Alveolar Epithelial Type II Cells: Focus on Their Physiologic and Pathologic Role in Lung. Int J Mol Sci 2021;22:2566. [Crossref] [PubMed]
- Cobben NA, Drent M, Schols AM, et al. Serum lactate dehydrogenase and its isoenzyme pattern in ex-coalminers. Respir Med 1997;91:616-23. [Crossref] [PubMed]

