Percutaneous endovenous intervention versus anticoagulation in the treatment of lower extremity deep vein thrombosis: a systematic review and meta-analysis
Introduction
Deep vein thrombosis (DVT) is a common disease with an incidence of 71–117 patients per 100,000 population and results in significant morbidity and mortality (1). It commonly affects the lower extremities, and has a high risk of life-threatening pulmonary embolism (PE) in the acute stage. The incidence of PE can reach 40–50% among patients with proximal DVT (2). Post-thrombotic syndrome (PTS) is the most frequent chronic complication of lower limb DVT, which manifests as pain, edema, skin change, and venous ulceration, and affects the patient’s capacity to work and quality of life (3). The incidence of PTS is up to 20–50% within 2 years after DVT (3,4), and severe PTS, including venous ulcers, will develop in 5–10% of cases (4,5).
Systemic anticoagulation is the mainstay of DVT therapy. Anticoagulation prevents thrombus propagation, inhibits recurrent thrombosis, and reduces the incidence of PE. However, it cannot eliminate established thrombi, and the restoration of venous patency depends on endogenous fibrinolysis (6). Percutaneous endovenous intervention (PEVI) including catheter-directed thrombolysis (CDT) and pharmacomechanical thrombolysis (PMT) has been developed for early removal of thrombus. Although CDT achieves thrombus dissolution by means of the infusion of a thrombolytic drug directly into thrombus, it bears the potential risk of major bleeding complication (7). The infusion time of CDT is long, with an average of 53.4 hours, causing significant patient discomfort during treatment (7). Meanwhile, PMT uses a mechanical device to aspirate, fragment, macerate, or disrupt venous thrombus in combination with a thrombolytic infusion. The potential advantages of PMT include shorter operation time, lower thrombolytic dosage, less bleeding complication, and more complete resolution of the thrombus (8-11). It can be used as an adjunct to or in place of CDT.
Several studies have supported the advantages of PMT or CDT against anticoagulation. The PMT and anticoagulation provides greater thrombus resolution and earlier recanalization relative to anticoagulation alone, which preserves venous function and further prevents PTS (12). The CDT and anticoagulation results in higher venous patency rate, less PTS development, although a relatively larger number of bleeding events in comparison with anticoagulation alone (13). An earlier randomized controlled trial (RCT), including 209 patients, indicated that CDT and anticoagulation decreased the PTS occurrence and improved iliofemoral patency (14). The benefit of early clot removal by CDT and/or PMT had largely been recognized by most clinicians until recent RCTs presented different perspectives. An RCT, involving 391 patients with acute iliofemoral DVT, indicated that either PMT or CDT did not influence the occurrence of PTS or recurrent venous thromboembolism, although they did decrease moderate-to-severe PTS development (15). A smaller RCT, with a sample size of 300 patients, demonstrated that the addition of PEVI to anticoagulation did not decrease the risk of PTS but did increase bleeding in femoral-popliteal DVT (16).
There have been a few published RCTs of CDT, PMT, or PMT plus CDT versus anticoagulation for LE DVT, but a systemic meta-analysis has yet to be reported. Current evidence on the effectiveness of PEVI mainly compared effectiveness and safety of PMT ± CDT with CDT alone in patients with acute iliofemoral DVT. Therefore, we conducted an updated meta-analysis of available RCTs aiming to compare the efficacy and safety of PEVI plus anticoagulation versus anticoagulation alone for treatment of acute proximal DVT. We present the following article in accordance with the PRISMA reporting checklist (available at https://atm.amegroups.com/article/view/10.21037/atm-22-4334/rc).
Methods
Search strategy
An electronic search was conducted in the databases of PubMed, Embase, and the Cochrane Library from inception up to August 2022. The search strategy used the following keywords and text in combination as medical subject heading (MeSH) terms: “deep vein thrombosis” OR “deep venous thrombosis” OR “venous thromboembolism” and “percutaneous mechanical thrombectomy” OR “pharmacomechanical thrombectomy” OR “pharmacomechanical thrombolysis” and “catheter-directed thrombolysis” OR “catheter-directed therapy” OR “catheter-directed treatment” and “thrombolysis” OR “thrombectomy” OR “endovenous” OR “endovascular”. No language restriction was enforced, with no time restrictions on the year of publication. The reference lists of the retrieved articles and meta-analysis were also examined for potentially additional relevant studies.
Eligibility criteria
Titles and abstracts were screened for initial study inclusion by 2 reviewers who subsequently reviewed full-text versions for selection of relevant studies. The inclusion criteria were as follows: RCTs, studies comparing PMT, CDT, or PMT plus CDT with anticoagulation alone, DVT of the lower extremities, size of study population ≥20 cases. Conferences abstracts, letters, and articles without available full text were excluded. Studies performed by the same or different authors that involved the same objects of patients were also excluded. However, if there was no overlap between the samples, the two studies were included. Non-randomized comparative observational studies were not included into the analysis for high quality of the study. Inclusion criteria was constructed according to the PICOS (patients, intervention, comparison, outcomes, and study design) principles.
Data extraction
Two investigators independently extracted the following information from each retrieved article: the first author’s name, publication year, country, number of patients, the involved segment of venous thrombosis, mean age, gender, duration of follow-up, and efficacy and safety outcomes. Efficacy outcomes included PTS, moderate-to-severe PTS, and venous patency. Safety outcomes mainly included recurrent thromboembolism, bleeding complications and PE. We compared the efficacy and safety outcomes between the PEVI plus anticoagulation group and the anticoagulation alone group. We also conducted a single-arm meta-analysis to clarify the efficacy and safety outcomes of PEVI or anticoagulation alone. If agreement could not be reached after discrepancies were discussed, a third investigator was involved to reach a consensus. Venous patency referred to the absence of recurrent diameter stenosis of ≥30% (17) or ≥50% (18). Specifically, the severity of PTS was evaluated with the use of the Villalta scale considering 5 patient-reported symptoms (pain, cramps, heaviness, paresthesia, pruritus) and 6 clinician-observed signs (pretibial edema, skin induration, hyperpigmentation, redness, venous ectasia, pain on calf compression), with each item scored from 0 to 3. Points for symptoms and signs were summed into a total score (range 0 to 33), and patients can be categorized as having no PTS (score 0–4), mild PTS (score 5–9), moderate PTS (score 10–14), or severe PTS (score ≥15, or presence of ulcer).
The risk of bias assessment of included studies
A risk of bias assessment was conducted for each included study, including masking of participants, intention-to-treat analysis, incomplete or unclear data, and time to clinical follow-up. The risk of bias for RCTs were assessed and graded independently by two authors according to the criteria described in the Cochrane Handbook of Systematic Reviews 5.1.0. The overall quality of the evidence leading to the final meta-analysis results was judged using the “GRADE” (Grading of Recommendations Assessment, Development and Evaluation) classification system, with a judgement of either high, moderate, low or very low quality. Disagreements between the two reviewers were resolved by consensus.
Statistical analysis
A separate meta-analysis was conducted for each of the outcomes. The single-arm meta-analysis was performed using R 3.4.0 (R Foundation for Statistical Computing, Vienna, Austria). The study-specific risk estimates were pooled by random-or fixed-effects model and described as event rates with corresponding 95% confidence intervals (CIs). The comparative meta-analysis of efficacy and safety outcomes was processed using software StatsDirect Statistics (Version 2.7.9; StatsDirect Ltd., Cambridge, UK). The indicators were reported as odd ratios (ORs) with 95% CI. A random effects model was utilized if significant heterogeneity was evident. Otherwise, the fixed-effects model was used. For trials which had zero events in endpoints, OR and 95% CI values were calculated using a 0.5 cell correction (19). The I2 test was used to measure statistical heterogeneity within comparison groups. The level of heterogeneity was defined as not (I2<25%), low (I2=25–50%), moderate (I2=50–75%), high (I2>75%).
Results
Literature search
We initially identified and retrieved 3,050 articles, of which 1,034 duplicates were excluded. Of the remaining 2,014 studies, 1,979 were removed following the initial title and abstract screening as they were laboratory studies, review articles, non-randomized controlled trials, or irrelevant to our research purpose. The full texts of the remaining 35 studies were read in detail, of which 29 articles were excluded because they could not extract data for analysis or were duplication of trials with different patient size or follow-up period. Finally, 6 studies (20-25) were included into the present meta-analysis. A flow chart of the study selection process is presented in Figure 1.
Study characteristics
Overall, 6 RCTs comprising 1,266 patients were eligible for this meta-analysis. The primary characteristics of RCTs are presented in Table 1. The included articles were published between September 2002 and January 2020, of which 2 were from Europe, 2 were from USA, 1 was from Turkey, and 1 was from Egypt. Study size ranged from 35 to 692 participants. PEVI and anticoagulation alone were carried out in 628 and 638 patients, respectively. The average age of patients in the enrolled studies varied from 46.5 to 61 years. The anatomical site of DVT was identified in ilio-femoral or common femoral veins.
Table 1
| Study | Study design | Country | Number of cases | Embolization segment | Mean age (y) | Male (%) | Duration of follow-up (m) | PTS | Venous patency | Recurrent thromboembolism | Bleeding | Pulmonary embolism | ||||||||||
|---|---|---|---|---|---|---|---|---|---|---|---|---|---|---|---|---|---|---|---|---|---|---|
| A | B | A | B | A | B | A | B | A | B | A | B | |||||||||||
| Notten 2020 (20) | RCT | Netherlands | 77 | 75 | Iliofemoral | 50.5 | 51.0 | 12 | Moderate/ Severe 12; All 22 |
Moderate/ Severe 16; All 26 |
NA | NA | 5 | 4 | 4 | 0 | 0 | 2 | ||||
| Vedantham 2017 (21) | RCT | USA | 337 | 355 | Femoral or more proximal | 53 | 61.5 | 24 | Moderate/ Severe 60; All 157 |
Moderate/ Severe 84; All 171 |
NA | NA | 42 | 30 | 46 | 38 | NA | NA | ||||
| Haig 2016 (22) | RCT | Norway | 87 | 89 | Iliofemoral | 55.5 | 62.5 | 60 | Mild 31; Moderate 2; Severe 4; All 37 |
Mild 49; Moderate 13; Severe 1; All 63 |
68 | 61 | 13 | 21 | 0 | 0 | 1 | 8 | ||||
| Sharifi 2010 (23) | RCT | USA | 88 | 81 | Femoropopliteal or more proximal | 61 | 56.3 | 30 | Mild 4; Moderate 1; Severe 1; All 6 |
Mild 15; Moderate 6; Severe 3; All 24 |
NA | NA | 4 | 13 | NA | NA | 1 | 7 | ||||
| Cakir 2014 (24) | RCT | Turkey | 21 | 21 | Iliofemoral | 56.0 | 69.0 | 12 | NA | NA | 12 | 1 | NA | NA | NA | NA | 1 | 4 | ||||
| Elsharawy 2002 (25) | RCT | Egypt | 18 | 17 | Iliofemoral | 46.5 | 31.4 | 6 | NA | NA | 13 | 2 | NA | NA | 0 | 0 | 0 | 1 | ||||
A, percutaneous endovenous intervention; B, anticoagulation; PTS, post thrombotic syndrome; RCT, randomized controlled trial; NA, not available.
The Cochrane bias assessment results are shown in Figure 2. The green bars (low risk) plus yellow bars (unclear risk) were significantly more than the red bars (high risk), suggesting that the overall risk of bias in this study was small and the included studies were of relatively high quality. In general, the 6 included studies belonged to RCTs and had a low or unclear risk of selection, performance, detection, and reporting bias. One enrolled RCT (22) reported all 6 concerned endpoints and had a low risk of attrition bias on incomplete outcome data.
Efficacy outcomes
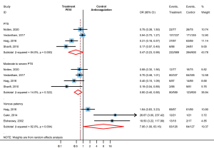
The forest plot of PEVI versus anticoagulation for PTS, moderate-to-severe PTS, and venous patency (comparative meta-analysis) is presented in Figure 3.
PTS
Four studies (20-23) reported the occurrence rate of PTS during an average follow-up period of 6 months to 5 years. There were 589 patients in the PEVI group and 600 patients in the anticoagulation group, and patients developing PTS in the PEVI and the anticoagulation groups were 222 and 284, respectively. There was high heterogeneity among the studies (I2=84.0%, P=0.00), so the random-effects model was chosen. PEVI had the statistically lower incidence of PTS in comparison with the anticoagulation (OR 0.47, 95% CI: 0.23 to 0.99).
The forest plot of PTS (single-arm meta-analysis) is shown in Figure 4. Considerable heterogeneity among the studies existed in the PEVI group (I2=96%, P<0.01) and in the anticoagulation group (I2=92%, P<0.01), and a random-effects model was used. Pooled proportions of PTS were 0.295 (95% CI: 0.123 to 0.505) in the PEVI group and 0.459 (95% CI: 0.306 to 0.616) in the anticoagulation group, respectively.
Moderate-to-severe PTS
Four studies (20-23) with 589 patients in the PEVI group and 600 in the anticoagulation group were included. The average follow-up period of the included studies ranged from 6 months to 5 years. Patients with moderate to severe PTS in the PEVI and the anticoagulation groups were 80 and 123, respectively. There was no significant heterogeneity among the studies (I2=14%, P=0.322). The occurrences of moderate-to-severe PTS in the PEVI group was substantially less than those in the anticoagulation group (OR 0.60, 95% CI: 0.40 to 0.88).
The forest plot of moderate and severe PTS (single-arm meta-analysis) is shown in Figure 5. Pool proportions of moderate to severe PTS were 0.098 (95% CI: 0.033 to 0.191) in the PEVI group with substantial heterogeneity (I2=89%, P<0.01) and 0.183 (95% CI: 0.126 to 0.247) in the anticoagulation group with moderate heterogeneity (I2=66%, P=0.03), respectively.
Venous patency
The venous patency rates at 12 to 60 months were reported in 3 studies (22,24,25) including 126 patients in the PEVI group and 127 patients in the anticoagulation group. Patients with patent veins in the PEVI and the anticoagulation groups were 93 and 64, respectively. There was high heterogeneity among the studies (I2=82%, P=0.004), and venous patency rate was significantly higher in the PEVI group than in the anticoagulation group (OR 7.95, 95% CI: 1.00 to 63.16).
Safety outcomes
The forest plot of PEVI versus anticoagulation for recurrent thromboembolism, bleeding, and PE (comparative meta-analysis) is presented in Figure 6.
Recurrent thromboembolism
In total, 589 patients in the PEVI group and 600 patients in the anticoagulation group of 4 studies (20-23) were included. Recurrent thromboembolisms were identified in 64 patients in the PEVI group and 68 patients in the anticoagulation group. There was moderate heterogeneity among the studies (I2=71.7%, P=0.014), and difference on recurrent thromboembolism between 2 groups was not significant (OR 0.76, 95% CI: 0.34 to 1.73).
The forest plot of recurrent thromboembolism (single-arm meta-analysis) is shown in Figure 7. There was moderate heterogeneity (I2=67%, P=0.03) in the PEVI group, and a fixed-effects model identified the pooled proportion of recurrent thromboembolism as 0.095 (95% CI: 0.054 to 0.146). The recurrent thromboembolism in the anticoagulation group was analyzed using a random-effects model for substantial heterogeneity (I2=83%, P<0.01), with a pooled proportion of 0.124 (95% CI: 0.061 to 0.206).
Bleeding
Four studies (20,21,22,25) reported the incidence of bleeding events, and comprised 519 patients in the PEVI group and 536 patients in the anticoagulation group. Bleeding complication occurred in 52 patients of the PEVI group and 40 patients of the anticoagulation group. No heterogeneity was present among the studies (I2=0%, P=0.619). The reported bleeding events did not differ statistically between the PEVI group and the anticoagulation group (OR 1.36, 95% CI: 0.87 to 2.11).
The forest plot of bleeding (single-arm meta-analysis) is shown in Figure 8. Pooled proportion of bleeding was 0.026 (95% CI: 0.00 to 0.131) in the PEVI group and 0.008 (95% CI: 0.00 to 0.094) in the anticoagulation group with considerable heterogeneity with each group (I2=94%, P<0.01 and I2=94%, P<0.01, respectively).
PE
The rates of PE were shown in 5 studies (20,22-25) involving 291 patients of the PEVI group and 285 patients of the anticoagulation group. Patients with PE in the PEVI group and the anticoagulation group were 3 and 22, respectively. There was not significant heterogeneity (I2=0.0%, P=0.987). The PE of the PEVI group was markedly less than that of the anticoagulation group (OR 0.16, 95% CI: 0.05 to 0.48).
The forest plot of PE (single-arm meta-analysis) is shown in Figure 9. Pooled proportion of PE was 0.006 (95% CI: 0.00 to 0.020) in the PEVI group with evidence of low heterogeneity (I2=13%, P=0.33) and 0.075 (95% CI: 0.038 to 0.122) in the anticoagulation group with evidence of moderate heterogeneity (I2=41%, P=0.15), respectively.
Discussion
This meta-analysis included 6 high-quality RCTs involving 1,266 patients, and aimed to compare efficacy and safety outcomes of CDT, PMT, or PMT plus CDT versus anticoagulation for treatment of acute proximal ilio-femoral DVT in the lower limb. PEVI presented better efficacy of thrombus removal and achieved a relatively high restored venous patency. Thus, PEVI showed an excellent long-term result with less PE and lower incidence of PTS, especially moderate-to-severe PTS. From the viewpoint of safety, bleeding events were slightly more after PEVI than after anticoagulation alone, but the difference did not reach the statistical significance. However, PEVI did not reduce recurrent venous thromboembolism relative to anticoagulation.
PMT permits simultaneous thrombolytic infusion followed by thrombus extraction and has emerged as an advantageous option for treatment of acute DVT. Two comparative studies reported that PMT and CDT had similar complete and partial thrombus removal rates except that PMT had the advantage of greater reduction in the severity of PTS when compared with CDT (26,27). Another 2 comparative studies also indicated that PMT plus CDT for the treatment of iliofemoral DVT provided comparable complete clot lysis, similar PTS incidence, and an acceptable safety profile relative to CDT, but required significantly shorter treatment duration and lower lytic doses (28,29). The treatment efficacy of CDT, PMT, and CDT plus PMT for proximal DVT has been shown to be similar, although PMT seems to be a potentially faster, less invasive, and safe modality. Therefore, PEVI are explained as CDT, PMT, or PMT plus CDT, which are separately utilized in the enrolled RCTs. Two meta-analyses were carried out to compare CDT with anticoagulation for treatment of proximal DVT. A meta-analysis of 3 RCTs and 3 non-randomized studies reported that CDT improved venous patency, prevented venous obstruction and PTS, increased the risk of major bleeding, and did not affect recurrent DVT (30). A meta-analysis of 4 RCTs involving 1,005 patients indicated that CDT decreased PTS rate and improved iliofemoral vein patency compared to anticoagulation (31). However, the number of included RCTs was small, and observational studies were also enrolled; more high-quality meta-analysis needs to be performed. The fourth update of a Cochrane Review first published in 2004 included 19 RCTs of thrombolysis (systemic, loco-regional, and CDT strategies) versus anticoagulation, and indicated that thrombolysis slightly decreased PTS incidence (50% vs. 53%), but increased bleeding complication (6.7% vs. 2.2%) in comparison with the standard anticoagulation (32).
PTS evolves from persistent venous hypertension resulting from venous obstruction and/or insufficiency caused by inflammatory destruction of valves in the acute phase of DVT. Early removal of thrombus by PEVI restores venous patency, protects valve function, relieves venous hypertension, and reduces the occurrence of PTS (33). The higher the level of venous thrombus, the greater the risk of PTS, and the more obvious the curative benefits of PEVI will be. Patients with DVT involving the iliac vein and/or common femoral vein are at significantly higher risk of PTS. Venous segments involved in thrombosis (iliofemoral, femoral, or femoropopliteal) may be a key factor leading to differential response to PEVI. Two enrolled RCTs for the patients with proximal iliofemoral DVT have indicated that PEVI plus anticoagulation reduce the occurrence of PTS more efficiently than anticoagulation alone (22,23). An included RCT for DVT involving the femoral, common femoral, or iliac veins reported that PEVI did not influence the occurrence of PTS, but reduced the proportion of moderate-to-severe PTS (21). In an unenrolled RCT, among patients who had DVT in the femoral-popliteal vein not common femoral or iliac veins, there were no differences in PTS and moderate-to-severe PTS between PEVI plus anticoagulation and anticoagulation alone (16).
There are conflicting guideline recommendations for endovascular thrombolysis. The American Heart Association (AHA) recommends that CDT is reasonable as first-line treatment of patients with proximal DVT to prevent PTS in patients at low risk of bleeding complication (34), yet the American College of Chest Physicians (ACCP) guideline suggests anticoagulation therapy along over CDT in acute proximal DVT because of concern for its bleeding risk (35). PEVI including PMT and/or CDT might require the use of anti-fibrinolytic agents to achieve thrombolysis. This in turn can increase the bleeding risk. Our meta-analysis indicated that bleeding events were slightly higher in the PEVI group (2.6%) than in the anticoagulation group (0.8%), but the difference was not statistically significant. A clinical bleeding event was classified as major if it was associated with a fall in the hemoglobin level of at least 2.0 g/dL, a need for transfusion of more than 2 units of red blood cells, or a critical involvement of intracranial, retroperitoneal, and gastrointestinal regions (15). Less severe clinically bleeding was defined as minor (15). Data from a US nationwide observational study of 90,618 patients hospitalized for DVT showed the rates of blood transfusion (CDT 11% vs. anticoagulation 6.5%) and intracranial hemorrhage (CDT 0.9% vs. anticoagulation 0.3%) (36). A clinically significant bleeding rate of 11% is mostly involved with the access site, without any deaths, gastrointestinal bleeding, or intracranial hemorrhages (36). Early thrombus removal by PEVI leads to a marked reduction in the PTS events along with a significant inhibition of moderate-to-severe PTS. It would be reasonable to exert the therapy of PEVI to those patients who are associated with a low bleeding risk and a high risk for PTS, such as patients with iliofemoral DVT.
This meta-analysis has several strengths including the strict inclusion criteria, all data derived from high-quality RCT studies, and the comprehensive evaluation of efficacy and safety outcomes between PEVI and anticoagulation. However, our study had some noteworthy limitations. First, all of the included studies were of high quality, and only 6 RCTs were available, thus, publication bias and sensitivity analysis could not be performed due to the small number of studies. Second, we did not conduct subgroup analyses according to many important factors due to the limited data, such as follow-up duration, venous embolization segment, diverse endovascular techniques, and symptom duration. Third, 2 enrolled RCTs (24,25) had relatively small populations of less than 50 patients. Five enrolled RCTs focused on 2 (24), 3 (21,23,25), 4 (20), and not all of the efficacy and safety endpoints, respectively. Fourth, the moderate heterogeneity might originate from outcome measurement methods, diverse thrombectomy devices, and different thrombolytic drugs. Well-designed stratified RCTs are required to evaluate the efficacy and safety of PEVI on ilio-femoral, femoral, and femo-popliteal DVT in the acute and subacute stages.
Among patients with acute proximal LE DVT, PEVI obtained the better venous patency rate, effectively reduced the risk of PTS development, diminished the PE incidence, and did not significantly increase bleeding risk compared with conventional anticoagulation alone. However, PEVI did not result in less recurrent thromboembolism than anticoagulation alone.
Acknowledgments
Funding: This research was supported by the National Natural Sciences Foundation of China (No. 81770277), the Natural Science Foundation of Hubei Province of China (No. 2015CFB457), the Key Laboratory of Biological Targeted Therapy of Hubei Province (No. 2021swbx020), and the Science Foundation of Wuhan Union Hospital (No. 2021xhyn109).
Footnote
Reporting Checklist: The authors have completed the PRISMA reporting checklist. Available at https://atm.amegroups.com/article/view/10.21037/atm-22-4334/rc
Conflicts of Interest: Both authors have completed the ICMJE uniform disclosure form (available at https://atm.amegroups.com/article/view/10.21037/atm-22-4334/coif). The authors have no conflicts of interest to declare.
Ethical Statement: The authors are accountable for all aspects of the work in ensuring that questions related to the accuracy or integrity of any part of the work are appropriately investigated and resolved.
Open Access Statement: This is an Open Access article distributed in accordance with the Creative Commons Attribution-NonCommercial-NoDerivs 4.0 International License (CC BY-NC-ND 4.0), which permits the non-commercial replication and distribution of the article with the strict proviso that no changes or edits are made and the original work is properly cited (including links to both the formal publication through the relevant DOI and the license). See: https://creativecommons.org/licenses/by-nc-nd/4.0/.
References
- Khan F, Tritschler T, Kahn SR, et al. Venous thromboembolism. Lancet 2021;398:64-77. [Crossref] [PubMed]
- Turetz M, Sideris AT, Friedman OA, et al. Epidemiology, Pathophysiology, and Natural History of Pulmonary Embolism. Semin Intervent Radiol 2018;35:92-8. [Crossref] [PubMed]
- Visonà A, Quere I, Mazzolai L, et al. Post-thrombotic syndrome. Vasa 2021;50:331-40. [Crossref] [PubMed]
- Kahn SR. The post-thrombotic syndrome. Hematology Am Soc Hematol Educ Program 2016;2016:413-8. [Crossref] [PubMed]
- Galanaud JP, Monreal M, Kahn SR. Epidemiology of the post-thrombotic syndrome. Thromb Res 2018;164:100-9. [Crossref] [PubMed]
- Campbell IA, Bentley DP, Prescott RJ, et al. Anticoagulation for three versus six months in patients with deep vein thrombosis or pulmonary embolism, or both: randomised trial. BMJ 2007;334:674. [Crossref] [PubMed]
- Mewissen MW, Seabrook GR, Meissner MH, et al. Catheter-directed thrombolysis for lower extremity deep venous thrombosis: report of a national multicenter registry. Radiology 1999;211:39-49. [Crossref] [PubMed]
- Huang T, Ding W, Chen Z, et al. Comparison of Pharmacomechanical Catheter-Directed Thrombolysis versus Catheter-Directed Thrombolysis for the Treatment of Acute Iliofemoral Deep Vein Thrombosis: Measures of Long-Term Clinical Outcome and Quality of Life. Ann Vasc Surg 2021;76:436-42. [Crossref] [PubMed]
- Tian Y, Huang Z, Luo K, et al. A Retrospective Comparison of Catheter-Directed Thrombolysis versus Pharmacomechanical Thrombolysis for Treatment of Acute Lower Extremity Deep Venous Thrombosis. Ann Vasc Surg 2021;74:306-14. [Crossref] [PubMed]
- Jiang C, Zhao Y, Wang X, et al. Midterm outcome of pharmacomechanical catheter-directed thrombolysis combined with stenting for treatment of iliac vein compression syndrome with acute iliofemoral deep venous thrombosis. J Vasc Surg Venous Lymphat Disord 2020;8:24-30. [Crossref] [PubMed]
- Budak AB, Gunertem OE, Ozisik K, et al. Pharmacomechanical catheter-directed thrombolysis for acute iliofemoral deep vein thrombosis in a large study population. J Vasc Surg Venous Lymphat Disord 2022;10:818-25. [Crossref] [PubMed]
- Ezelsoy M, Turunc G, Bayram M. Early Outcomes of Pharmacomechanical Thrombectomy in Acute Deep Vein Thrombosis Patients. Heart Surg Forum 2015;18:E222-5. [Crossref] [PubMed]
- Tsai CJ, Lee CY. Comparative outcomes of catheter-directed thrombolysis plus rivaroxaban vs rivaroxaban alone in patients with acute iliofemoral deep vein thrombosis. J Chin Med Assoc 2019;82:902-8. [Crossref] [PubMed]
- Enden T, Haig Y, Kløw NE, et al. Long-term outcome after additional catheter-directed thrombolysis versus standard treatment for acute iliofemoral deep vein thrombosis (the CaVenT study): a andomized controlled trial. Lancet 2012;379:31-8. [Crossref] [PubMed]
- Comerota AJ, Kearon C, Gu CS, et al. Endovascular Thrombus Removal for Acute Iliofemoral Deep Vein Thrombosis. Circulation 2019;139:1162-73. [Crossref] [PubMed]
- Kearon C, Gu CS, Julian JA, et al. Pharmacomechanical Catheter-Directed Thrombolysis in Acute Femoral-Popliteal Deep Vein Thrombosis: Analysis from a Stratified Randomized Trial. Thromb Haemost 2019;119:633-44. [Crossref] [PubMed]
- AbuRahma AF, Perkins SE, Wulu JT, et al. Iliofemoral deep vein thrombosis: conventional therapy versus lysis and percutaneous transluminal angioplasty and stenting. Ann Surg 2001;233:752-60. [Crossref] [PubMed]
- Lichtenberg M, Stahlhoff WF, Özkapi A, et al. Safety, procedural success and outcome of the Aspirex®S endovascular thrombectomy system in the treatment of iliofemoral deep vein thrombosis - data from the Arnsberg Aspirex registry. Vasa 2019;48:341-6. [Crossref] [PubMed]
- Stijnen T, Hamza TH, Ozdemir P. Random effects meta-analysis of event outcome in the framework of the generalized linear mixed model with applications in sparse data. Stat Med 2010;29:3046-67. [Crossref] [PubMed]
- Notten P, Ten Cate-Hoek AJ, Arnoldussen CWKP, et al. Ultrasound-accelerated catheter-directed thrombolysis versus anticoagulation for the prevention of post-thrombotic syndrome (CAVA): a single-blind, multicentre, randomised trial. Lancet Haematol 2020;7:e40-9. [Crossref] [PubMed]
- Vedantham S, Goldhaber SZ, Julian JA, et al. Pharmacomechanical Catheter-Directed Thrombolysis for Deep-Vein Thrombosis. N Engl J Med 2017;377:2240-52. [Crossref] [PubMed]
- Haig Y, Enden T, Grøtta O, et al. Post-thrombotic syndrome after catheter-directed thrombolysis for deep vein thrombosis (CaVenT): 5-year follow-up results of an open-label, randomised controlled trial. Lancet Haematol 2016;3:e64-71. [Crossref] [PubMed]
- Sharifi M, Mehdipour M, Bay C, et al. Endovenous therapy for deep venous thrombosis: the TORPEDO trial. Catheter Cardiovasc Interv 2010;76:316-25. [Crossref] [PubMed]
- Cakir V, Gulcu A, Akay E, et al. Use of percutaneous aspiration thrombectomy vs. anticoagulation therapy to treat acute iliofemoral venous thrombosis: 1-year follow-up results of a randomised, clinical trial. Cardiovasc Intervent Radiol 2014;37:969-76. [Crossref] [PubMed]
- Elsharawy M, Elzayat E. Early results of thrombolysis vs anticoagulation in iliofemoral venous thrombosis. A randomised clinical trial. Eur J Vasc Endovasc Surg 2002;24:209-14. [Crossref] [PubMed]
- Lin PH, Zhou W, Dardik A, et al. Catheter-direct thrombolysis versus pharmacomechanical thrombectomy for treatment of symptomatic lower extremity deep venous thrombosis. Am J Surg 2006;192:782-8. [Crossref] [PubMed]
- Kuo TT, Huang CY, Hsu CP, et al. Catheter-directed thrombolysis and pharmacomechanical thrombectomy improve midterm outcome in acute iliofemoral deep vein thrombosis. J Chin Med Assoc 2017;80:72-9. [Crossref] [PubMed]
- Kim HS, Patra A, Paxton BE, et al. Catheter-directed thrombolysis with percutaneous rheolytic thrombectomy versus thrombolysis alone in upper and lower extremity deep vein thrombosis. Cardiovasc Intervent Radiol 2006;29:1003-7. [Crossref] [PubMed]
- Pouncey AL, Gwozdz AM, Johnson OW, et al. AngioJet Pharmacomechanical Thrombectomy and Catheter Directed Thrombolysis vs. Catheter Directed Thrombolysis Alone for the Treatment of Iliofemoral Deep Vein Thrombosis: A Single Centre Retrospective Cohort Study. Eur J Vasc Endovasc Surg 2020;60:578-85. [Crossref] [PubMed]
- Du GC, Zhang MC, Zhao JC. Catheter-directed thrombolysis plus anticoagulation versus anticoagulation alone in the treatment of proximal deep vein thrombosis - a meta-analysis. Vasa 2015;44:195-202. [Crossref] [PubMed]
- Mastoris I, Kokkinidis DG, Bikakis I, et al. Catheter-directed thrombolysis vs. anticoagulation for the prevention and treatment of post-thrombotic syndrome in deep vein thrombosis: An updated systematic review and meta-analysis of randomized trials. Phlebology 2019;34:675-82. [Crossref] [PubMed]
- Broderick C, Watson L, Armon MP. Thrombolytic strategies versus standard anticoagulation for acute deep vein thrombosis of the lower limb. Cochrane Database Syst Rev 2021;1:CD002783. [PubMed]
- Ni Q, Long J, Guo X, et al. Clinical efficacy of one-stage thrombus removal via contralateral femoral and ipsilateral tibial venous access for pharmacomechanical thrombectomy in entire-limb acute deep vein thrombosis. J Vasc Surg Venous Lymphat Disord 2021;9:1128-35. [Crossref] [PubMed]
- Jaff MR, McMurtry MS, Archer SL, et al. Management of massive and submassive pulmonary embolism, iliofemoral deep vein thrombosis, and chronic thromboembolic pulmonary hypertension: a scientific statement from the American Heart Association. Circulation 2011;123:1788-830. [Crossref] [PubMed]
- Kearon C, Akl EA, Ornelas J, et al. Antithrombotic Therapy for VTE Disease: CHEST Guideline and Expert Panel Report. Chest 2016;149:315-52. [Crossref] [PubMed]
- Bashir R, Zack CJ, Zhao H, et al. Comparative outcomes of catheter-directed thrombolysis plus anticoagulation vs. anticoagulation alone to treat lower-extremity proximal deep vein thrombosis. JAMA Intern Med 2014;174:1494-501. [Crossref] [PubMed]
(English Language Editor: J. Jones)

