Analysis of the factors influencing teamwork among oncology nurses based on multigroup structural equation model
Introduction
Oncology patients have complex conditions, frequent complications, high mortality, and substantial negative psychological problems. Due to the particularity of cancer patients, cancer nursing involves high intensity, high risk, and high load compared with other nursing specialty areas. Effective nursing teamwork can reduce the mortality of patients, promote effective communication among nurses, patients and their families, and improve patient satisfaction (1). Relevant research shows that social identity is the influencing factor of group cohesion (2). Social identity refers to the relevant variables that individuals identify with their own groups through social classification, from internal group preferences and external group prejudices, and then affect the formation of groups, that is, the cohesion within groups. Professional identity originates from social identity theory. A positive professional identity promotes nursing teamwork. There is a strong negative correlation between nursing teamwork and missed nursing care (3); however, the relationship between professional identity, missed nursing care, and nursing teamwork is not clear.
Enhanced recovery after surgery (ERAS) is a medical evidence-based model of multidisciplinary team cooperation that combines surgical methods, pain control, nutritional support, and postoperative care. This model reduces the occurrence of postoperative stress responses and complications, accelerates the postoperative rehabilitation of patients, and shortens the length of hospitalization on the basis of a perioperative optimization scheme (4). As the main hospital staff involved in ERAS, nurses play an important role in its implementation. With the rapid development of ERAS in recent years, studies investigating whether it can improve nursing teamwork and whether the factors influencing nursing teamwork have changed against this backdrop are needed. This study constructed a model of nursing teamwork in the oncology department and investigated the impact of professional identity and missed nursing care on nursing teamwork and whether the degree of nurses’ participation in ERAS was a regulatory variable in order to provide a basis for improving nursing teamwork skills within the context of domestic ERAS.
Nursing researcher Kalisch (5) defines teamwork as 2 or more interdependent individuals with clear role assignments who perform special tasks, make decisions, and coordinate with each other to achieve common goals or results. Theoretical models, including the team cooperation model, cognitive motivation model, team strategies, and tool model, consider how work performance can be improved. The team cooperation model proposed by Salas et al. (6). has been proven to be suitable for nursing teamwork. The model includes 5 main components (team leadership, team orientation, mutual supervision, mutual support, and adaptation) and 3 coordination mechanisms (shared mental model, closed-loop communication, and mutual trust). In recent years, the development of clinical high-quality nursing services has increased the need for teamwork among nurses. Researchers have also proposed countermeasures, including on-the-job training, team skills training, simulation, team building activities, role play and so on, to support team cooperation among nurses (7,8). Based on the above findings, this study raised the following questions based on Donabedian’s lack of care theory:
- What is the impact of professional identity and missed nursing care in the oncology department on nursing teamwork?
- Does the degree of nurses’ participation in ERAS have a moderating effect on nursing teamwork?
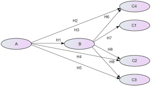
Donabedian’s theoretical model of nursing deficiency is based on “structure-process-result” and includes 3 dimensions (9): (I) antecedent variables affecting nursing practice in the nursing environment, including nursing staff’s personal characteristics (nurses’ cognition, values, etc.), material resources, labor resources, etc.; (II) process variables of missed nursing care (such as nursing evaluation, nursing plan, nursing intervention, etc.); and (III) outcome variables, including nurses’ internal cognition and values (team norms, beliefs, habits, etc.) and patient outcomes (falls, infections, stress injuries, etc.) This study mainly focused on the personal characteristics of nurses in the oncology department, not the allocation of materials and labor resources. The model was constructed with nurses’ professional identity as the independent variable, missing nursing care as the regulating variable, and nursing teamwork as the outcome variable (Figure 1). A: professional identity, B: missed nursing care, C1: team mental model, C2: trust and support, C3: team leadership, C4: team orientation. We present the following article in accordance with the MDAR reporting checklist (available at https://atm.amegroups.com/article/view/10.21037/atm-22-4217/rc).
Methods
Sample and setting
The subjects of this study came from 34 surgical wards in Henan Cancer Hospital carrying out ERAS. The inclusion criteria were registered nurses who had worked in the ward for ≥1 year and provided informed consent to participate in this study. The exclusion criteria were nurses who were not in the ward during the investigation (on vacation, business trip, etc.) As per the requirements of structural equation modeling (SEM) analysis on sample size (10), the loss of follow-up rate was calculated as 10%, and the estimated sample size was at least 522. The dividing standard was 60% of nurses’ time spent participating in ERAS. Nurses with 60% or more of their time participating in ERAS were defined as the high-ERAS group, and nurses with less than 60% made up the low-ERAS group (11).
Study instruments
General information questionnaire
The general information questionnaire included gender, age, marital status, working years, professional title, average monthly income, number of patients in charge, overtime hours per day, participation in EARS, etc.
The occupational identity scale
We adopted the occupational identity scale (12), which contains 5 dimensions and 30 items, including occupational cognitive evaluation (9 items), occupational social support (6 items), occupational social skills (6 items), career frustration coping (6 items), and career self-reflection (3 items). The total score using the 5-point Likert scoring method was 150. The higher the score, the higher the overall level of nurses’ professional identity. Cronbach’s α of the coefficient was 0.938, which could be used to measure the level of nurses’ professional identity in China.
Missed nursing care
The self-assessment scale of nursing deficiency in the oncology department (13) was adopted. The scale includes 33 items in 4 dimensions: nursing evaluation, nursing plan, basic nursing, and nursing intervention. The 5-point Likert scale was employed (total score of 33–165), and the higher the score, the less the nursing deficiency. The coefficient of Cronbach’s α was 0.948, the test-retest reliability was 0.833, and the content validity index was 0.904, with good reliability and validity.
The nursing teamwork survey
We used the Chinese nursing teamwork scale (14), which includes 32 items across 4 dimensions: team leadership, trust and support, team mental model, and team orientation. The content validity index was 0.912, the test-retest reliability was 0.92, and Cronbach’s α coefficient was 0.94. As per the 5-point Likert scoring method, the higher the score was, the higher the degree of nursing teamwork.
Survey methods
After consent from the hospital ethics committee and the nursing department was obtained, the surveys were distributed in the form of a questionnaire. Respondents were given unlimited time to complete the questionnaire. Participants were promised that the questionnaires would be completed anonymously and only used for research purposes. A total of 587 questionnaires were collected, including incomplete and invalid questionnaires. Questionnaires were deemed invalid if the answers were obviously unvarying, for example, the same option was selected for all items, etc. Finally, there were 583 valid questionnaires, and the effective recovery rate was 99%. The study was conducted in accordance with the Declaration of Helsinki (as revised in 2013). The study was approved by Ethics Committee of Henan Cancer Hospital (No. 2021-KY-0235-001) and informed consent was taken from all the participants.
Statistical analysis
The characteristics of structural equation models (SEM)
SEM is a confirmatory model, which is mainly used to verify the scientificity of the basic theoretical model structure. It allows measurement errors in both independent variables and dependent variables, and can deal with multiple endogenous and exogenous variables at the same time. It solves the problem that traditional statistical analysis methods can only deal with the relationship between a single variable and the measurement index, but can not accurately and directly measure the causal relationship and influence path between multiple variables. SEM model is suitable for statistical analysis of large samples, and the sample size will affect the stability of the results.
General data analysis
Epidata 3.0 software was used to input the data. SPSS 25.0 was used for the descriptive analysis of general data. Measurement data conforming to normal distribution were described, while frequency and percentage (%) were used for the description of data nonconforming to normal distribution. The chi-square test was used for count data, and the continuity correction chi-square test was used when 1≤ T <5.
Reliability and validity test of scale
According to the rules proposed by SEM scholars (10) regarding observed variables, 4 observed variables were sufficient for constructing an effective concept, and in accordance with the principle of deletion proposed by Bentler et al. (15), factor loading less than 0.45 was deleted. If model validity still failed to reach the standard, the measurement error modification index (MI) was used as the deletion principle to test the reliability and validity of the scale.
Fit test of the model
In accordance with Donabedian’s (9) missed nursing care theory, Amos 24.0 was used to establish a structural equation hypothesis model (Figure 1) for the initial construction of the relationship between professional identity, missed nursing care, and nursing teamwork, and the model fit and path coefficients of each variable were analyzed. Since the sample size of this study was more than 200, the model’s goodness-of-fit was calculated by the bootstrap method.
Analysis of multigroup structural equation model
Multigroup analysis can be used to test whether there are differences in factor structure and path parameters between groups; that is, to evaluate whether the theoretical model proposed by the researcher is consistent or whether the parameters are invariant across different sample populations. Multigroup structural equation models have been used to study moderating effect in the fields of economics and education. The level of involvement of nurses directly affects the implementation of ERAS. Implementation of ERAS reduces stress and burnout among nurses. In this study, a multigroup structural equation model was used to analyze whether nurses’ participation in ERAS had a moderating effect on nursing teamwork. The test level was two-sided, and P<0.05 was considered statistically significant.
Results
General information
There were 251 (43%) people in the high-ERAS group and 332 (57%) people in the low-ERAS group. There was no significant difference between the 2 groups (P>0.05) (Table 1).
Table 1
| Variables | Category | High-ERAS group (n=251) | Low-ERAS group (n=332) | Statistics | P value |
|---|---|---|---|---|---|
| Sex | Female | 245 | 330 | 2.185* | 0.139 |
| Male | 6 | 2 | |||
| Age (years) | <25 | 13 | 36 | 0.330** | 0.742 |
| 25–34 | 173 | 216 | |||
| 35–44 | 58 | 71 | |||
| 45–54 | 7 | 9 | |||
| Marital status | Married | 182 | 249 | 0.460* | 0.498 |
| Single | 69 | 83 | |||
| Years of work | ≤2 | 17 | 37 | −1.531** | 0.126 |
| 3–5 | 32 | 36 | |||
| 6–10 | 101 | 145 | |||
| ≥10 | 101 | 114 | |||
| Technical title | Senior nurse and below | 90 | 139 | −1.667* | 0.095 |
| Supervisor nurse | 154 | 188 | |||
| Associate professor of nursing | 7 | 5 | |||
| Average monthly income (yuan) | <5,000 | 6 | 26 | −1.765** | 0.078 |
| 5,000–10,000 | 89 | 120 | |||
| 10,000–15,000 | 140 | 165 | |||
| >15,000 | 16 | 21 | |||
| Overtime every day (h) | 0–0.5 | 72 | 113 | 5.837** | 0.120 |
| 0.6–1 | 105 | 144 | |||
| 1–2 | 58 | 65 | |||
| >2 | 16 | 10 | |||
| Number of participants in charge | ≤6 | 7 | 33 | −0.906** | 0.365 |
| 7–8 | 49 | 60 | |||
| 9–12 | 124 | 139 | |||
| >12 | 71 | 100 |
*, χ2 value; **, t value. ERAS, enhanced recovery after surgery.
Scores for nursing teamwork
In this study, the total score for nurses’ teamwork was 126.86±15.62, and the average score of each dimension was ranked as team leadership (4.46±0.64), team mental model (4.43±0.58), trust and support (4.39±0.64), and team orientation (2.82±0.93). The teamwork scores of nurses in different groups are shown in Table 2.
Table 2
| Project | Low-ERAS group (n=332), mean ± SD | High-ERAS group (n=251), mean ± SD | T value | P value |
|---|---|---|---|---|
| Nursing teamwork | 125.25±16.36 | 128.99±14.33 | 2.879 | 0.004 |
| Team leadership | 4.37±0.69 | 4.58±0.56 | −4.047 | 0.000 |
| Team mental model | 4.34±0.62 | 4.54±0.50 | −4.234 | 0.000 |
| Trust and support | 4.31±0.67 | 4.51±0.59 | −3.79 | 0.000 |
| Team orientation | 2.86±0.91 | 2.77±0.96 | 1.207 | 0.228 |
ERAS, enhanced recovery after surgery.
Reliability and validity test of the scale
In this study, the professional identity scale retained 1 dimension and 7 items, the missed nursing care scale retained 1 dimension and 4 items, and the nursing teamwork scale retained 3 dimensions and 10 items. Reliability and validity analysis of each scale and dimension after deleting items is shown in Table 3. The combination reliability (CR) value of each dimension was >0.7, and the average variance extract (AVE) was >0.5. The aggregation validity of the model was good. The absolute correlation of the latent value of each variable was less than the square root of Pearson’s ideal correlation.
Table 3
| Scales and dimensions | Professional identity | Missed nursing care |
Nursing teamwork | Team leadership | Trust and support | Team mental model |
|---|---|---|---|---|---|---|
| Items | 7 | 4 | 10 | 3 | 4 | 3 |
| Cronbach’s α coefficient | 0.94 | 0.938 | 0.938 | 0.845 | 0.913 | 0.768 |
| KMO | 0.946 | 0.857 | 0.93 | 0.704 | 0.844 | 0.707 |
| CVIR (%) | 74.31% | 84.80% | 79.45% | 76.55% | 79.85% | 70.41% |
| AVE | 0.943 | 0.94 | – | 0.556 | 0.658 | 0.739 |
| CR | 0.702 | 0.796 | – | 0.79 | 0.851 | 0.739 |
KMO, Kaiser-Meyer-Olkin; CVIR, cumulative variance interpretation rate; CR, combination reliability; AVE, average variance extract.
Model suitability analysis
Chi square [degrees of freedom (DF) =182.00] =319.17, chi2/DF =1.75<2, root mean square error of approximation (RMSEA) =0.04<0.08. The other 7 indexes were all >0.9 [goodness-of-fit index (GFI) =0.97, adjusted goodness-of-fit (AGFI) =0.96, normed fit index (NFI) =0.97, non normed fit index (NNFI; Tucker Lewis index, TLI) =0.98, incremental fit index (IFI) =0.99, relative fit index (RFI) =0.97, comparative fit index (CFI) =0.99]. The model fit values were all within the normal range (Table 4). The load of standardization factors was greater than 0.70 and less than 0.95, and the measurement residuals were greater than 0.50. The explanation rates of professional identity and missed nursing care on the dimensions of team leadership, trust and support, and team mental model were more than 30%. The adaptability and interpretation of the model were good (Figure 2).
Table 4
| Statistical test index | Inspection result | Adapter standard | Model fit judgment |
|---|---|---|---|
| Chi-square | 319.17 | P<0.05 | Yes |
| Chi2/DF | 1.75 | <2 | Yes |
| GFI | 0.97 | >0.9 | Yes |
| AGFI | 0.96 | >0.9 | Yes |
| NFI | 0.97 | >0.9 | Yes |
| TLI | 0.98 | >0.9 | Yes |
| IFI | 0.99 | >0.9 | Yes |
| RFI | 0.97 | >0.9 | Yes |
| CFI | 0.99 | >0.9 | Yes |
| RMSEA | 0.04 | <0.08 | Yes |
| CN | 583 | >200 | Yes |
DF, degrees of freedom; GFI, goodness-of-fit index; AGFI, adjusted goodness-of-fit; NFI, normed fit index; TLI, Tucker Lewis index; IFI, incremental fit index; RFI, relative fit index; CFI, comparative fit index; RMSEA, root mean square error of approximation; CN, critical number of samples.
Hypothesis testing of the model
The path coefficient of the structural equation reflects the causal relationship between variables, and the larger the coefficient is, the more significant the influence is. This study tested the overall adaptation degree of the model (Figure 1). In addition to H2, the H6 standard regression coefficient was not significant, while the assumption of the other 7 hypothetical standard regression coefficients were statistically significant and positive, indicating that the H1, H3, H4, H5, H7, H8, and H9 paths were set up. Professional identity and lack of care for team orientation had no effect (Table 5). The direct effect, indirect effect, and total effect of professional identity, missed nursing care, and nursing teamwork are shown in Table 6. The results showed that the relationship between professional identity and team leadership, trust and support, and team mental model was partially mediated by missed nursing care in the oncology department, and the direct effect was greater than the indirect effect.
Table 5
| Theoretical assumption | Path | Estimate | CR | P | Conclusion |
|---|---|---|---|---|---|
| H1 | Professional identification → missed nursing care | 0.542 | 6.953 | <0.001 | Support |
| H2 | Professional identification → team orientation | 0.007 | 0.096 | 0.924 | Reject |
| H3 | Professional identification → team mental model | 0.327 | 11.546 | <0.001 | Support |
| H4 | Professional identification → trust and support | 0.386 | 11.539 | <0.001 | Support |
| H5 | Professional identification → team leadership | 0.45 | 11.485 | <0.001 | Support |
| H6 | Missed nursing care → team orientation | 0.001 | 0.097 | 0.923 | Reject |
| H7 | Missed nursing care → team mental model | 0.057 | 4.248 | <0.001 | Support |
| H8 | Missed nursing care → trust and support | 0.063 | 4.058 | <0.001 | Support |
| H9 | Missed nursing care → team leadership | 0.055 | 2.856 | <0.05 | Support |
CR, critical ratio.
Table 6
| Path | Direct effect | Indirect effect | Total effect |
|---|---|---|---|
| Professional identification → missed nursing care (H1) | 0.542 | – | 0.542 |
| Professional identification → team mental model (H3) | 0.325 | 0.031 | 0.356 |
| Professional identification → trust and support (H4) | 0.384 | 0.034 | 0.418 |
| Professional identification → team leadership (H5) | 0.448 | 0.03 | 0.478 |
| Missed nursing care → team mental model (H7) | 0.058 | – | 0.058 |
| Missed nursing care → trust and support (H8) | 0.063 | – | 0.063 |
| Missed nursing care → team leadership (H9) | 0.55 | – | 0.55 |
Multigroup SEM analysis
Before applying the multigroup structural equation model to analyze the differences in nursing teamwork in the high-ERAS and low-ERAS groups, this study first tested the goodness-of-fit of the unconstrained model in the nursing teamwork model between the 2 groups. The 2 groups of nurses were then tested in the nursing teamwork model. All factor (measurement weights) limits were equal, all structural path coefficient (structural weights) limits were equal, and all Squared Multiple Correlation (SMC) (structural weights) limits were equal. The goodness-of-fit of the model had equal constraints (Table 7). Each model index chi2/DF <3, GFI, AGFI, NFI, TLI, and CFI >0.9, and RMSEA <0.08, indicating that each SEM of different groups had good goodness-of-fit when limiting factor load, structural path, and SMC.
Table 7
| Model | Chi2 | DF | Chi2/DF | GFI | AGFI | NFI | TLI | CFI | RMSEA |
|---|---|---|---|---|---|---|---|---|---|
| Model 1 | 599.54 | 364 | 1.650 | 0.945 | 0.926 | 0.945 | 0.975 | 0.978 | 0.033 |
| Model 2 | 620.63 | 380 | 1.630 | 0.944 | 0.929 | 0.944 | 0.970 | 0.977 | 0.033 |
| Model 3 | 628.13 | 387 | 1.621 | 0.943 | 0.930 | 0.943 | 0.975 | 0.977 | 0.033 |
| Model 4 | 635.16 | 391 | 1.624 | 0.943 | 0.930 | 0.943 | 0.976 | 0.977 | 0.033 |
Model 1 = unconstrained, Model 2 = measurement weights, Model 3 = structural weights, Model 4 = structural variances. DF, degrees of freedom; GFI, goodness-of-fit index; AGFI, adjusted goodness-of-fit; NFI, normed fit index; TLI, Tucker Lewis index; CFI, comparative fit index; RMSEA, root mean square error of approximation.
Figure 3 and Figure 4 list the SEM analysis results of professional identity, missed nursing care, and nursing teamwork of the 2 groups of unrestricted models constructed based on the validation model (Figure 2). The analysis showed that the interpretation rates of professional identity and missed nursing care in the 2 groups on the dimensions of team leadership, trust and support, and team mental model were greater than 30%, and the independent variable interpretation rate was better. The estimated values of the path coefficients of various models in different groups are shown in Table 8.
Table 8
| Model | Group | H1 | H3 | H4 | H5 | H7 | H8 | H9 |
|---|---|---|---|---|---|---|---|---|
| Model 1 | Low-ERAS group | 0.304*** | 0.494*** | 0.473*** | 0.527*** | 0.169** | 0.176*** | 0.078 |
| High-ERAS group | 0.283*** | 0.606*** | 0.570*** | 0.504*** | 0.231*** | 0.162** | 0.187** | |
| Model 2 | Low-ERAS group | 0.305*** | 0.495*** | 0.473*** | 0.526*** | 0.169** | 0.176*** | 0.077 |
| High-ERAS group | 0.284*** | 0.610*** | 0.569*** | 0.508*** | 0.231** | 0.163** | 0.190** | |
| Model 3 | Low-ERAS group | 0.277*** | 0.531*** | 0.522*** | 0.545*** | 0.188*** | 0.177*** | 0.113** |
| High-ERAS group | 0.327*** | 0.551*** | 0.480*** | 0.467*** | 0.165*** | 0.138*** | 0.082** | |
| Model 4 | Low-ERAS group | 0.284*** | 0.528*** | 0.503*** | 0.511*** | 0.184*** | 0.164*** | 0.118** |
| High-ERAS group | 0.316*** | 0.569*** | 0.544*** | 0.554*** | 0.178*** | 0.160*** | 0.114** |
Model 1 = unconstrained, Model 2 = measurement weights, model 3 = structural weights, model 4 = structural variances. ***, nonstandardization P<0.01; **, nonstandardization P<0.05. ERAS, enhanced recovery after surgery.
Difference analysis of different groups
The test results of the identity hypothesis of each model in different groups were as follows: model 1 vs. model 2 Δχ2=14.456, DF =16, P=0.565, indicating that the model was suitable for the 2 groups. Model 2 vs. model 3 Δχ2=20.152, DF =7, P=0.005, indicating that there was a significant difference in the structural path coefficients of the 2 groups of structural equation models (Table 9). There were statistically significant differences in H4 (professional identity → trust and support) (CR =2.072), H5 (professional identity → team leadership) (CR =2.569), and H7 (missed nursing care → team mental model) (CR =2.135) in the impact path of professional identity and missed nursing care on team cooperation between the high-ERAS group and the low-ERAS group. H1 (professional identity → missed nursing care), H3 (professional identity → team mental model), H8 (missed nursing care→ trust and support), and H9 (missed nursing care→ team leadership) paths had no statistical significance (CR <1.96). The results indicated that the degree of participation in ERAS had a moderating effect on the paths of professional identity → trust and support, professional identity → team leadership, and missed nursing care → team mental model but no effect on the paths of professional identity → nursing deficit, professional identity → team mental model, missed nursing care → trust and support, and missed nursing care → team leadership.
Table 9
| Model | CMIN | DF | Δχ2 | ΔDF | P |
|---|---|---|---|---|---|
| Model 1 | 1777.818 | 364 | |||
| Model 2 | 1792.275 | 380 | 14.456 | 16 | 0.565 |
| Model 3 | 1812.426 | 387 | 20.152 | 7 | 0.005 |
| Model 4 | 1843.302 | 391 | 30.875 | 4 | 0.000 |
Model 1 = unconstrained, Model 2 = measurement weights, model 3 = structural weights, model 4 = structural variances. CMIN, Chi-square value; DF, degrees of freedom.
Discussion
At present, there are few studies on nursing teamwork in China, and nursing teamwork in this study is at a low level, which is consistent with relevant research results (16). Relevant studies show that the factors influencing nursing teamwork include the internal factors of the team, that is, the scale and stability of the team, the level of familiarity among team members, types and departments of hospitals, demographic factors, and shift arrangement of nurses (16,17). In this study, the total score for nursing teamwork was 126.86±15.62, which was lower than the survey score of Song et al. (18) on the nursing teamwork of various departments in class 3A hospitals in Wuhan, indicating that the level of nursing teamwork in the oncology department was lower than the average level of nurses in class 3A hospitals. The possible reason for this is that the mean values of team leadership (4.46±0.64), trust and support (4.39±0.64), and team mental model (4.43±0.58) in this study were greater than 4 points. The score for the team orientation dimension (2.82±0.93) was low, which reduced the overall level of nursing teamwork in the oncology department. The team orientation dimension measures the cohesion of team members; that is, team members prioritize team success over individual needs and achievements (5). The low score in this dimension indicated that the collectivism orientation was not strong, which may have been related to the fact that 561 nurses in this study had a bachelor’s degree or above, accounting for 96% of the total subjects. Relevant studies have shown that highly educated nurses prefer to work alone rather than on a team (19,20). Nurses with a bachelor’s degree or above have certain expectations for future career planning, but there is a gap between their actual clinical work and their own career planning, which reduces their enthusiasm and affects the degree of teamwork. Therefore, nursing managers and educators should cultivate the teamwork skills of highly educated nurses, hold activities conducive to nurses’ personal career development, and provide nurses with opportunities for continuous training, learning, and development, which is important for improving nursing teamwork (17).
The results of this study showed that professional identity could have a positive effect on nursing teamwork through missed nursing care and had the greatest effect on the dimension of team leadership. A study has shown that team conflict is an influencing factor of nursing teamwork (21). Team conflict includes relationship conflict, process conflict, and task conflict (22). Some scholars believe that nurses with a higher professional identity are more likely to perceive the trust and support of leaders. This perception can weaken relationship conflict within the team and increase information exchange to enhance teamwork (23,24). Process conflict refers to the cognitive differences among team members in the team task realization process. When nurses disagree on who is responsible for completing a specific responsibility, it leads to process conflict, resulting in communication barriers (6). Missed nursing care is a behavioral manifestation of process conflict and one of the important factors affecting patient safety (21). Professional identity can reduce process conflict, improve nurses’ clinical cooperation, and enhance nursing teamwork. Therefore, nursing educators should actively guide and pay attention to training nurses in career management and enhancing their professional identity, while nursing managers should improve the hierarchical training system to provide nurses with a platform for communication and learning. When dealing with collective opinions, managers should adhere to an open and integrated attitude to reduce team conflict, reduce nursing deficiencies, and promote nursing teamwork.
The implementation of ERAS can shorten the length of hospital stay, reduce complications and reduce hospitalization costs (11). For oncology nurses, it can not only reduce postoperative nursing projects, shift the focus of nurses’ work to health education, but also promote multidisciplinary communication, cultivate team members’ work responsibility, increase the depth and breadth of nurses’ knowledge, and improve their professional identity (25). The results of this study showed that the degree of teamwork among nurses with more than 60% of their time spent participating in ERAS was higher than that of nurses with less than 60%. Salas’ theory holds that nursing teamwork includes 5 core elements (team orientation, team leadership, mutual supervision, adaptation, and mutual support) and 3 coordination mechanisms (communication, shared mental model, and mutual trust) (6). Communication, shared mental model, and mutual trust are the power sources of nursing teamwork to support, coordinate, and integrate the 5 elements (6,26). Communication is the premise of trust and promotes sharing, sharing promotes trust, and trust promotes cooperation. The implementation of ERAS reduces the workload of nurses for each patient, changes the focus of nurses’ work from physical care to health education, and promotes communication between nurses and patients (27). Effective communication between nurses and patients can promote nurses’ personal self-reflection, enhance their insight into their own and professional identity, and improve nursing teamwork (27,28). In addition, relevant studies have shown that the higher the degree of nurses’ participation in ERAS, the lower the work pressure perceived by nurses (27). Lower work pressure can trigger a positive emotional response, resulting in a more positive evaluation of work situations and reducing missed nursing care, improving nurses’ job satisfaction, and promoting teamwork (29,30). The factors affecting nurses’ participation in ERAS include lagging concepts, lack of localized consensus and guidance, lack of communication and cooperation among multidisciplinary team members, and lack of laws, regulations, and management support (31). Therefore, hospital managers should strengthen ERAS knowledge training, encourage multidisciplinary team cooperation, formulate personalized clinical nursing path execution sheets about ERAS, train ERAS specialist nurses, improve nurses’ participation in ERAS, promote teamwork, and improve nursing quality.
Conclusions
The level of nursing teamwork in the oncology department needs to be improved. Nurses’ professional identity had a positive impact on nurses’ team leadership, trust and support, and team mental model through missed nursing care, and the degree of nurses’ participation in ERAS had a regulatory effect. Nursing managers should pay attention to the personal development of nurses, provide a platform for learning and communication, and improve nurses’ professional identity. In addition, it is important to strengthen knowledge training related to ERAS, improve the relevant rules and regulations, and improve the degree of nurses’ participation in ERAS. This study had some shortcomings, including that the survey objects were limited to Henan Cancer Hospital, and thus applicability of the research results is limited. In the future, large sample, multicenter studies should be carried out to improve the representativeness of the research results.
Acknowledgments
Funding: None.
Footnote
Reporting Checklist: The authors have completed the MDAR reporting checklist. Available at https://atm.amegroups.com/article/view/10.21037/atm-22-4217/rc
Data Sharing Statement: Available at https://atm.amegroups.com/article/view/10.21037/atm-22-4217/dss
Conflicts of Interest: All authors have completed the ICMJE uniform disclosure form (available at https://atm.amegroups.com/article/view/10.21037/atm-22-4217/coif). The authors have no conflicts of interest to declare.
Ethical Statement: The authors are accountable for all aspects of the work in ensuring that questions related to the accuracy or integrity of any part of the work are appropriately investigated and resolved. The study was conducted in accordance with the Declaration of Helsinki (as revised in 2013). The study was approved by Ethics Committee of Henan Cancer Hospital (No. 2021-KY-0235-001) and informed consent was taken from all the participants.
Open Access Statement: This is an Open Access article distributed in accordance with the Creative Commons Attribution-NonCommercial-NoDerivs 4.0 International License (CC BY-NC-ND 4.0), which permits the non-commercial replication and distribution of the article with the strict proviso that no changes or edits are made and the original work is properly cited (including links to both the formal publication through the relevant DOI and the license). See: https://creativecommons.org/licenses/by-nc-nd/4.0/.
References
- Aldawood F, Kazzaz Y, AlShehri A, et al. Enhancing teamwork communication and patient safety responsiveness in a paediatric intensive care unit using the daily safety huddle tool. BMJ Open Qual 2020;9:e000753. [Crossref] [PubMed]
- Wang Z, Liu ZJ, Meng X, et al. How the goal of team cooperation promotes team shared leadership: the mediating role of constructive conflict and team identity. Human Resources Development in China 2020;37:16-9.
- Kalisch BJ, Lee KH. The impact of teamwork on missed nursing care. Nurs Outlook 2010;58:233-41. [Crossref] [PubMed]
- Debono B, Wainwright TW, Wang MY, et al. Consensus statement for perioperative care in lumbar spinal fusion: Enhanced Recovery After Surgery (ERAS®) Society recommendations. Spine J 2021;21:729-52. [Crossref] [PubMed]
- Kalisch BJ, Weaver SJ, Salas E. What does nursing teamwork look like? A qualitative study. J Nurs Care Qual 2009;24:298-307. [Crossref] [PubMed]
- Salas E, Sims DE, Burke CS, et al. Is there a “Big Five” in Teamwork? Small Group Research 2005;36:555-9. [Crossref]
- Stoller JK, Rose M, Lee R, et al. Teambuilding and leadership training in an internal medicine residency training program. J Gen Intern Med 2004;19:692-7. [Crossref] [PubMed]
- Zhang C, Yin W, Yang L, et al. Analysis on the current situation and influencing factors of nurses’ team cooperation in emergency department. Journal of Nursing 2016;31:66-9.
- Donabedian A. The quality of care. How can it be assessed? JAMA 1988;260:1743-8. [Crossref] [PubMed]
- Rappaport LM, Amstadter AB, Neale MC. Model Fit Estimation for Multilevel Structural Equation Models. Struct Equ Modeling 2020;27:318-29. [Crossref] [PubMed]
- Liu Y, Xu HF, Zhang X, et al. Disease knowledge, medical experience, health-related quality of life and health-care costs among patients with advanced colorectal cancer in China: protocol for a nationwide multicentre survey. BMJ Open 2022;12:e054403. [Crossref] [PubMed]
- Landis T, Godfrey N, Barbosa-Leiker C, et al. National Study of Nursing Faculty and Administrators' Perceptions of Professional Identity in Nursing. Nurse Educ 2022;47:13-8. [Crossref] [PubMed]
- Gao W. Development and preliminary application of nursing missing information feedback scale in the oncology department. Shanxi Medical University 2018;25:35-43.
- Kalisch BJ, Lee H, Salas E. The development and testing of the nursing teamwork survey. Nurs Res 2010;59:42-50. [Crossref] [PubMed]
- Bentler PM, Satorra A. Testing model nesting and equivalence. Psychol Methods 2010;15:111-23. [Crossref] [PubMed]
- Kaiser JA, Westers JB. Nursing teamwork in a health system: A multisite study. J Nurs Manag 2018;26:555-62. [Crossref] [PubMed]
- Rosengarten L. Teamwork in nursing: essential elements for practice. Nurs Manag (Harrow) 2019;26:36-43. [Crossref] [PubMed]
- Song C, Wang G, Wu H, et al. Investigation and Study on nursing team cooperation in class III and class A hospitals in Wuhan. Nursing Research 2014;28:405-8.
- Goh PQL, Ser TF, Cooper S, et al. Nursing teamwork in general ward settings: A mixed-methods exploratory study among enrolled and registered nurses. J Clin Nurs 2020;29:3802-11. [Crossref] [PubMed]
- Bae SH, Farasat A, Nikolaev A, et al. Nursing teams: behind the charts. J Nurs Manag 2017;25:354-65. [Crossref] [PubMed]
- Labrague LJ, Al Hamdan Z, McEnroe-Petitte DM. An integrative review on conflict management styles among nursing professionals: implications for nursing management. J Nurs Manag 2018;26:902-17. [Crossref] [PubMed]
- Zhao K, Jia L, Cai Y, et al. Restraining the negative effects of team relationship conflict: a study of Chinese situation. Managing the World 2014;28:119-30.
- Janss R, Rispens S, Segers M, et al. What is happening under the surface? Power, conflict and the performance of medical teams. Med Educ 2012;46:838-49. [Crossref] [PubMed]
- Sinskey JL, Chang JM, Shibata GS, et al. Applying Conflict Management Strategies to the Pediatric Operating Room. Anesth Analg 2019;129:1109-17. [Crossref] [PubMed]
- Byrnes A, Young A, Mudge A, et al. EXploring practice gaps to improve PERIoperativE Nutrition CarE (EXPERIENCE Study): a qualitative analysis of barriers to implementation of evidence-based practice guidelines. Eur J Clin Nutr 2019;73:94-101. [Crossref] [PubMed]
- Kalisch BJ, Aebersold M, McLaughlin M, et al. An intervention to improve nursing teamwork using virtual simulation. West J Nurs Res 2015;37:164-79. [Crossref] [PubMed]
- Batchelor TJP, Ljungqvist O. A surgical perspective of ERAS guidelines in thoracic surgery. Curr Opin Anaesthesiol 2019;32:17-22. [Crossref] [PubMed]
- Clark PG. Narrative in interprofessional education and practice: implications for professional identity, provider-patient communication and teamwork. J Interprof Care 2014;28:34-9. [Crossref] [PubMed]
- Kalisch BJ, Xie B. Errors of Omission: Missed Nursing Care. West J Nurs Res 2014;36:875-90. [Crossref] [PubMed]
- Monroe C, Loresto F, Horton-Deutsch S, et al. The value of intentional self-care practices: The effects of mindfulness on improving job satisfaction, teamwork, and workplace environments. Arch Psychiatr Nurs 2021;35:189-94. [Crossref] [PubMed]
- Wainwright TW. The Quality Improvement Challenge-How Nurses and Allied Health Professionals Can Solve the Knowing-Doing Gap in Enhanced Recovery after Surgery (ERAS). Medicina (Kaunas) 2020;56:652. [Crossref] [PubMed]
(English Language Editor: A. Muylwyk)

